Exploring Inflammatory Status in Febrile Seizures Associated with Urinary Tract Infections: A Two-Step Cluster Approach †
Abstract
:1. Introduction
2. Materials and Methods
3. Results
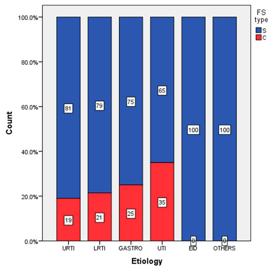
3.1. General Description
3.2. Laboratory Data and Two-Step Cluster Analysis Results
4. Discussion and Conclusions
Author Contributions
Institutional Review Board Statement
Informed Consent Statement
Data Availability Statement
Acknowledgments
Conflicts of Interest
References
- International League against Epilepsy. Guidelines for epidemiologic studies on epilepsy, Commission on Epidemiology and prognosis. Epilepsia 1993, 34, 592–596. [Google Scholar] [CrossRef]
- Carman, K.B.; Calik, M.; Karal, Y.; Isikay, S.; Kocak, O.; Ozcelik, A.; Yazar, A.S.; Nuhoglu, C.; Sag, C.; Kilic, O.; et al. Viral etiological causes of febrile seizures for respiratory pathogens (EFES Study). Hum. Vaccines Immunother. 2018, 15, 496–502. [Google Scholar] [CrossRef]
- Costea, R.; Maniu, I.; Dragomir, A.; Banciu, D.D.; Neamtu, B.M. Cluster Analysis a Profiling Tool in Children With Febrile Seizures. In Proceedings of the 2019 E-Health and Bioengineering Conference (EHB), Iasi, Romania, 21–23 November 2019; pp. 1–4. [Google Scholar] [CrossRef]
- Maniu, I.; Costea, R.; Neamtu, B.M. Cut-off Values for Biomarkers. A Review of Statistical Methods and an Application Study on the Association Between UTI and CRP in Febrile Seizure. In Proceedings of the 8th IEEE International Conference on E-Health and Bioengineering (EHB 2020), Iasi, Romania, 29–30 October 2020. [Google Scholar]
- Costea, R.M.; Maniu, I.; Dobrota, L.; Neamtu, B. Stress Hyperglycemia as Predictive Factor of Recurrence in Children with Febrile Seizures. Brain Sci. 2020, 10, 131. [Google Scholar] [CrossRef] [PubMed]
- Abedi, A.; Ashrafi, M.; Moghtaderi, M. Prevalence of Urinary Tract Infection among Children with Febrile Convulsion. Int. J. Nephrol. Kidney Fail. 2017, 3, 16966. [Google Scholar] [CrossRef]
- Kazeminezhad, B.; Taghinejad, H.; Borji, M.; Seymohammadi, R. Evaluation of the Prevalence of Urinary Tract Infection in Children with Febrile Seizure. J. Compr. Pediatr. 2018, 9. [Google Scholar] [CrossRef]
- Shaikh, N.; Morone, N.E.; Bost, J.E.; Farrell, M.H. Prevalence of Urinary Tract Infection in Childhood. Pediatr. Infect. Dis. J. 2008, 27, 302–308. [Google Scholar] [CrossRef] [PubMed]
- Chon, C.H.; Lai, F.C.; Shortliffe, L.M.D. Pediatric Urinary Tract Infections. Pediatr. Clin. N. Am. 2001, 48, 1441–1459. [Google Scholar] [CrossRef]
- Grigore, N.; Pirvut, V.; Totan, M.; Bratu, D.; Mitariu, S.I.C.; Mitariu, M.C.; Chicea, R.; Sava, M.; Hasegan, A. The Evaluation of Biochemical and Microbiological Parameters in the Diagnosis of Emphysematous Pyelonephritis. Rev. Chim. 2017, 68, 1285–1288. [Google Scholar] [CrossRef]
- Hasegan, A.; Totan, M.; Antonescu, E.; Bumbu, A.G.; Pantis, C.; Furau, C.; Urducea, C.B.; Grigore, N. Prevalence of Urinary Tract Infections in Children and Changes in Sensitivity to Antibiotics of E. coli Strains. Rev. Chim. 2019, 70, 3788–3792. [Google Scholar] [CrossRef]
- Srinivas, P.; Gopu, S.; Krishna, V.; Kumar, M. A Study of Prevalence of Urinary Tract Infection among Children with Febrile Seizures in a Tertiary Care Hospital. IOSR J. Dent. Med. Sci. 2017, 16, 46–48. [Google Scholar] [CrossRef]
- Bryan, C.S.; Reynolds, K.L. Community-Acquired Bacteremic Urinary Tract Infection: Epidemiology and Outcome. J. Urol. 1984, 132, 490–493. [Google Scholar] [CrossRef]

| All 197 | non-UTI 177 (89.8%) | UTI 20 (10.2%) | p | ||
|---|---|---|---|---|---|
| Gender | M | 100 (50.76) | 88 (49.72) | 12 (60.00) | 0.383 |
| F | 97 (49.24) | 89 (50.28) | 8 (40.00) | ||
| Age | <6 | 5 (2.54) | 5 (2.82) | 0 (0.00) | 0.294 |
| 6–12 | 29 (14.72) | 24 (13.56) | 5 (25.00) | ||
| 13–24 | 89 (45.18) | 81 (45.76) | 8 (40.00) | ||
| 25–36 | 43 (21.83) | 41 (23.16) | 2 (10.00) | ||
| >36 | 31 (15.74) | 26 (14.69) | 5 (25.00) | ||
| M ± SD | 23.23 ± 12.43 | 23.14 ± 12.01 | 24 ± 16.10 | ||
| Temperature | <38 | 26 (13.20) | 20 (11.30) | 6 (30.00) | 0.106 |
| 38–39 | 56 (28.43) | 49 (27.68) | 7 (35.00) | ||
| 39–40 | 84 (42.64) | 78 (44.07) | 6 (30.00) | ||
| 40–41 | 26 (13.20) | 25 (14.12) | 1 (5.00) | ||
| >41 | 5 (2.54) | 5 (2.82) | 0 (0.00) | ||
| FS episode Type | S | 156 (79.19) | 143 (80.79) | 13 (65.00) | 0.099 |
| C | 41 (20.81) | 34 (19.21) | 7 (35.00) | ||
| Seizure duration | <1 | 29 (14.72) | 25 (14.12) | 4 (20.00) | 0.843 |
| 1–4.9 | 93 (47.21) | 84 (47.46) | 9 (45.00) | ||
| 5–14.9 | 60 (30.46) | 55 (31.07) | 5 (25.00) | ||
| ≥15 | 15 (7.61) | 13 (7.34) | 2 (10.00) | ||
| Recurrence/24 h | Yes | 18 (9.14) | 15 (8.47) | 3 (15.00) | 0.337 |
| Cluster 1 | Cluster 2 | Cluster 3 | Cluster 4 | p | ||
|---|---|---|---|---|---|---|
| Gender | M | 44 (51.6) | 26 (47.27) | 6 (42.86) | 8 (57.14) | 0.855 |
| F | 42 (48.84) | 29 (52.73) | 8 (57.14) | 6 (42.86) | ||
| Age | <6 | 1 (1.16) | 3 (5.45) | 1 (7.14) | 0 (0.00) | 0.378 |
| 6–12 | 11 (12.79) | 7 (12.73) | 2 (14.29) | 4 (28.57) | ||
| 13–24 | 42 (48.84) | 22 (40.00) | 4 (28.57) | 5 (35.71) | ||
| 25–36 | 17 (19.77) | 16 (29.09) | 2 (14.29) | 2 (14.29) | ||
| >36 | 15 (17.44) | 7 (12.73) | 5 (35.71) | 3 (21.43) | ||
| Temperature | <38 | 8 (9.30) | 8 (14.55) | 4 (28.57) | 2 (14.29) | 0.421 |
| 38–39 | 28 (32.56) | 12 (21.82) | 3 (21.43) | 6 (42.86) | ||
| 39–40 | 38 (44.19) | 25 (45.45) | 4 (28.57) | 5 (35.71) | ||
| 40–41 | 12 (13.95) | 8 (14.55) | 3 (21.43) | 1 (7.14) | ||
| >41 | 0 (0.00) | 2 (3.64) | 0 (0.00) | 0 (0.00) | ||
| FS type | S | 70 (81.40) | 48 (87.27) | 9 (64.29) | 9 (64.29) | 0.096 |
| C | 16 (18.60) | 7 (12.73) | 5 (35.71) | 5 (35.71) | ||
| Seizure duration | <1 | 10 (11.63) | 9 (16.36) | 3 (21.43) | 3 (21.43) | 0.423 |
| 1–4.9 | 45 (52.33) | 22 (40.00) | 6 (42.86) | 6 (42.86) | ||
| 5–14.9 | 26 (30.23) | 20 (36.36) | 2 (14.29) | 3 (21.43) | ||
| ≥15 | 5 (5.81) | 4 (7.27) | 3 (21.43) | 2 (14.29) | ||
| Recurrence/24 h | no | 80 (93.02) | 50 (90.91) | 12 (85.71) | 12 (85.71) | 0.706 |
| yes | 6 (6.98) | 5 (9.09) | 2 (14.29) | 2 (14.29) |
Publisher’s Note: MDPI stays neutral with regard to jurisdictional claims in published maps and institutional affiliations. |
© 2020 by the authors. Licensee MDPI, Basel, Switzerland. This article is an open access article distributed under the terms and conditions of the Creative Commons Attribution (CC BY) license (https://creativecommons.org/licenses/by/4.0/).
Share and Cite
Maniu, I.; Costea, R.M.; Dobrota, L.; Bacila, C.; Neamtu, B.M. Exploring Inflammatory Status in Febrile Seizures Associated with Urinary Tract Infections: A Two-Step Cluster Approach. Proceedings 2021, 71, 3. https://doi.org/10.3390/IECBS-08108
Maniu I, Costea RM, Dobrota L, Bacila C, Neamtu BM. Exploring Inflammatory Status in Febrile Seizures Associated with Urinary Tract Infections: A Two-Step Cluster Approach. Proceedings. 2021; 71(1):3. https://doi.org/10.3390/IECBS-08108
Chicago/Turabian StyleManiu, Ionela, Raluca Maria Costea, Luminita Dobrota, Ciprian Bacila, and Bogdan Mihai Neamtu. 2021. "Exploring Inflammatory Status in Febrile Seizures Associated with Urinary Tract Infections: A Two-Step Cluster Approach" Proceedings 71, no. 1: 3. https://doi.org/10.3390/IECBS-08108
APA StyleManiu, I., Costea, R. M., Dobrota, L., Bacila, C., & Neamtu, B. M. (2021). Exploring Inflammatory Status in Febrile Seizures Associated with Urinary Tract Infections: A Two-Step Cluster Approach. Proceedings, 71(1), 3. https://doi.org/10.3390/IECBS-08108

