Terpenic Compounds in Chilean Species of the Genus Blechnum (Pteridophyta: Blechnaceae) with Neuroprotective Potential †
Abstract
:1. Introduction
2. Methods
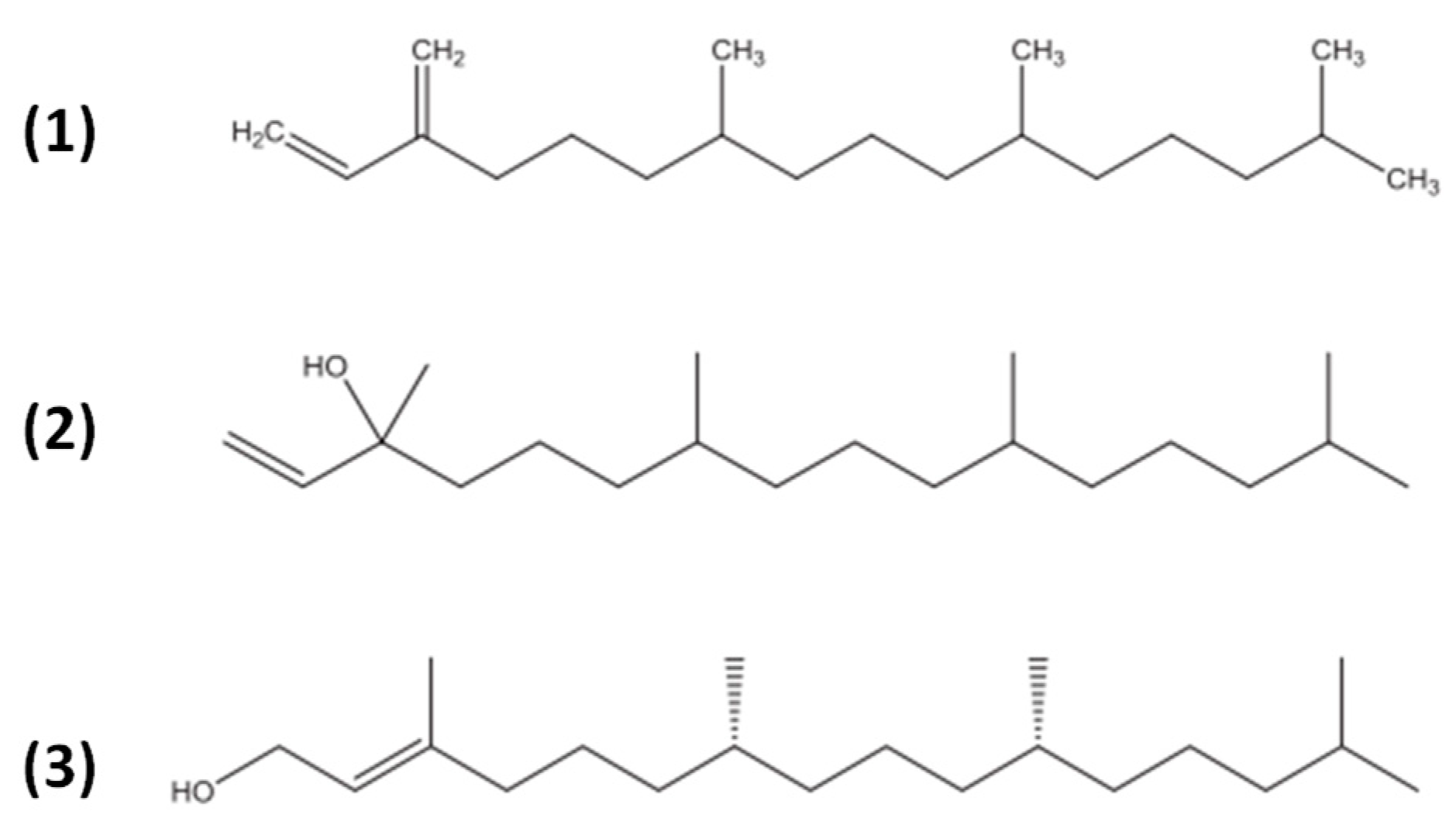
3. Results and Discussion
4. Conclusions
Author Contributions
Funding
Acknowledgments
Conflicts of Interest
References
- Cao, H.; Chai, T.T.; Wang, X.; Morais-Braga, M.F.B.; Yang, J.H.; Wong, F.C.; Wang, R.; Yao, H.; Cao, J.; Burlando, B.; et al. Phytochemicals from fern species: Potential for medicine applications. Phytochem. Rev. 2017, 16, 379–440. [Google Scholar] [CrossRef] [PubMed]
- Wang, G.; Tang, W.; Bidigare, R.R. Terpenoids as therapeutic drugs and pharmaceutical agents. In Natural Products; Zhang, L., Demain, A.L., Eds.; Human Press: Totowa, NJ, USA, 2005; pp. 197–227. [Google Scholar]
- Andrade, J.M.D.M.; Maurmann, N.; Pranke, P.; Turatti, I.C.C.; Lopes, N.P.; Henriques, A.T. Identification of compounds from non-polar fractions of Blechnum spp. and a multitarget approach involving enzymatic modulation and oxidative stress. J. Pharm. Pharmacol. 2016, 69, 89–98. [Google Scholar] [CrossRef] [PubMed]
- Hincapié, C.; Monsalve, Z.; Parada, K.; Lamilla, C.; Alarcón, J.; Céspedes, C.; Seigler, D. Insect growth regulatory activity of Blechnum chilense. Nat. Prod. Commun. 2011, 6, 1085–1088. [Google Scholar] [PubMed]
- Zapata, N.; Ceballos, R.; Céspedes, C.; Alarcón, J.; Leyton, A. Insecticidal activity and growth regulatory of Blechnum chilense (Blechnaceae) and Condalia microphylla Cav. (Rhamnaceae) extracts, on larvae of Galleria mellonella (L.) (Lepidoptera: Pyralidae). Bol. Latinoam. Caribe Plantas Med. Aromát. 2016, 15, 77–87. [Google Scholar]
- Hincapié, C.; Monsalve, Z.; Parada, K.; Lamilla, C.; Alarcón, J.; Céspedes, C. Mite growth regulatory activity of Blechnum chilense (Kaulf.) Mett. Planta Medica 2011, 77, SL54. [Google Scholar] [CrossRef]
- Alarcón, J. Chemical and biological study of Chilean ferns: Genus Adiantum, Blechnum and Cheilantes. Bol. Latinoam. Caribe Plantas Med. Aromát. 2009, 8, 548. [Google Scholar]
- Thiem, B.; Kikowska, M.; Malinski, M.; Kruszka, D.; Napierala, M.; Florek, E. Ecdysteroids: Production in plant in vitro cultures. Phytochem. Rev. 2017, 16, 603–622. [Google Scholar] [CrossRef] [PubMed]
- Van Der Schyf, C.J.; Geldenhuys, W.J. Monoamine oxidase and their inhibitors multimodal drugs and their future for Alzheimer’s and Parkinson’s disease. Int. Rev. Neurobiol. 2011, 100, 107–125. [Google Scholar] [PubMed]
- Andrade, J.M.D.M.; Biegelmeyer, R.; Dresh, R.R.; Maurmann, N.; Pranke, P.; Henriques, A. In vitro antioxidant and enzymatic approaches to evaluate neuroprotector potential of Blechnum extracts without cytotoxicity to human stem cells. Pharmacogn. Mag. 2016, 12, 171–177. [Google Scholar] [CrossRef] [PubMed]


Publisher’s Note: MDPI stays neutral with regard to jurisdictional claims in published maps and institutional affiliations. |
© 2020 by the authors. Licensee MDPI, Basel, Switzerland. This article is an open access article distributed under the terms and conditions of the Creative Commons Attribution (CC BY) license (https://creativecommons.org/licenses/by/4.0/).
Share and Cite
Flores-González, M.; Torres-Benítez, A.; Simirgiotis, M. Terpenic Compounds in Chilean Species of the Genus Blechnum (Pteridophyta: Blechnaceae) with Neuroprotective Potential. Proceedings 2021, 71, 2. https://doi.org/10.3390/IECBS-08535
Flores-González M, Torres-Benítez A, Simirgiotis M. Terpenic Compounds in Chilean Species of the Genus Blechnum (Pteridophyta: Blechnaceae) with Neuroprotective Potential. Proceedings. 2021; 71(1):2. https://doi.org/10.3390/IECBS-08535
Chicago/Turabian StyleFlores-González, Mathias, Alfredo Torres-Benítez, and Mario Simirgiotis. 2021. "Terpenic Compounds in Chilean Species of the Genus Blechnum (Pteridophyta: Blechnaceae) with Neuroprotective Potential" Proceedings 71, no. 1: 2. https://doi.org/10.3390/IECBS-08535
APA StyleFlores-González, M., Torres-Benítez, A., & Simirgiotis, M. (2021). Terpenic Compounds in Chilean Species of the Genus Blechnum (Pteridophyta: Blechnaceae) with Neuroprotective Potential. Proceedings, 71(1), 2. https://doi.org/10.3390/IECBS-08535

