A Neural Network Application for a Lithium-Ion Battery Pack State-of-Charge Estimator with Enhanced Accuracy †
Abstract
:1. Introduction
2. Theoretical Framework
2.1. State of Charge
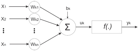
2.2. Artificial Neural Network
2.3. Performance Metrics
2.4. Methodology
3. Design of the Artificial Neural Network
3.1. Data Acquisition and Data Pre-Processing
3.2. Network Topology
- Time of charge/discharge;
- Current;
- Voltage.
- The output parameter is:
- Capacity (SOC).
3.3. Network Training
4. Design of the Artificial Neural Network
5. Conclusions
Author Contributions
Funding
Acknowledgments
References
- Ribeiro, P.F.; Johnson, B.K.; Crow, M.L.; Arsoy, A.; Liu, Y. Energy storage systems for advanced power applications. Proc. IEEE 2001, 89, 1744–1756. [Google Scholar] [CrossRef]
- Costa, V.; De Souza, A.C.Z.; Ribeiro, P.F. Economic Analysis of Energy Storage Systems in the Context of Time-of-Use Rate in Brazil. In Proceedings of the 2019 IEEE Power & Energy Society General Meeting (PESGM), Atlanta, GA, USA, pp. 1–5, 4–8 August 2019. [Google Scholar] [CrossRef]
- Akhil, A.A.; Huff, G.; Currier, A.B.; Kaun, B.C.; Rastler, D.M.; Chen, S.B.; Cotter, A.L.; Bradshaw, D.T.; Gauntlett, W.D. DOE/EPRI Electricity Storage Handbook in Collaboration with NRECA; Sandia National Laboratories: Livermore, CA, USA, 2015. Available online: https://prod-ng.sandia.gov/techlib-noauth/access-control.cgi/2015/151002.pdf (accessed on 5 May 2020).
- Zaghib, K.; Mauger, A.; Julien, C.M. Rechargeable lithium batteries for energy storage in smart grids. In Rechargeable Lithium Batteries, 1st ed.; Franco, A., Ed.; Woodhead Publishing: Cambridge, UK, 2015; pp. 319–351. ISBN 9781782420903. [Google Scholar]
- Zhang, W.-J. A review of the electrochemical performance of alloy anodes for lithium-ion batteries. J. Power Sources 2011, 196, 13–24. [Google Scholar] [CrossRef]
- Tong, S.; Lacap, J.H.; Park, J.W. Battery state of charge estimation using a load-classifying neural network. J. Energy Storage 2016, 7, 236–243. [Google Scholar] [CrossRef]
- He, W.; Williard, N.; Chen, C.; Pecht, M. State of charge estimation for Li-ion batteries using neural network modeling and unscented Kalman filter-based error cancellation. Int. J. Electr. Power Energy Syst. 2014, 62, 783–791. [Google Scholar] [CrossRef]
- Charkhgard, M.; Farrokhi, M. State-of-Charge Estimation for Lithium-Ion Batteries Using Neural Networks and EKF. IEEE Trans. Ind. Electron. 2010, 57, 4178–4187. [Google Scholar] [CrossRef]
- Ismail, M.; Dlyma, R.; Elrakaybi, A.; Ahmed, R.; Habibi, S. Battery state of charge estimation using an Artificial Neural Network. In Proceedings of the 2017 IEEE Transportation Electrification Conference and Expo (ITEC), Chicago, IL, USA, 22–24 June 2017. [Google Scholar]
- Ali, M.U.; Zafar, A.; Nengroo, S.H.; Hussain, S.; Alvi, M.J.; Kim, H.-J. Towards a Smarter Battery Management System for Electric Vehicle Applications: A Critical Review of Lithium-Ion Battery State of Charge Estimation. Energies 2019, 12, 446. [Google Scholar] [CrossRef]
- CALCE Battery Group. 2017. Available online: https://web.calce.umd.edu/batteries/data.htm#INR18650-test (accessed on 26 October 2019).
- Wu, T.-H.; Moo, C.-S. State-of-Charge Estimation with State-of-Health Calibration for Lithium-Ion Batteries. Energies 2017, 10, 987. [Google Scholar] [CrossRef]
- Pizarro-Carmona, V.; Cortes-Carmona, M.; Palma-Behnke, R.; Calderón-Muñoz, W.R.; Orchard, M.; Estévez, P.A. An Optimized Impedance Model for the Estimation of the State-of-Charge of a Li-Ion Cell: The Case of a LiFePO4 (ANR26650). Energies 2019, 12, 681. [Google Scholar] [CrossRef]
- Cheng, A.; Wang, Y.; Cheng, Z.L.; Cheng, X.S.; Dei, F. State of charge estimation for batteries using recurrent neural networks. In Proceedings of the Chinese Automation Congress (CAC), Xi’an, China, 30 November 2018; pp. 390–395. [Google Scholar] [CrossRef]
- Qiu, G.-Q.; Zhao, W.-M.; Xiong, G.-Y. Estimation of power battery SOC based on PSO-Elman neural network. In Proceedings of the Chinese Automation Congress (CAC), Xi’an, China, 30 November 2018; pp. 91–96. [Google Scholar] [CrossRef]
- Capizzi, G.; Bonanno, F.; Napoli, C. Hybrid neural networks architectures for SOC and voltage prediction of new generation batteries storage. In Proceedings of the International Conference on Clean Electrical Power (ICCEP), Ischia, Italy, 14–16 June 2011; pp. 341–344. [Google Scholar] [CrossRef]
- Pop, V.; Bergveld, H.J.; Notten, P.H.L.; Regtien, P.P.L. State-of-the-art of battery state-of-charge determination. Meas. Sci. Technol. 2005, 16, R93–R110. [Google Scholar] [CrossRef]
- Monteiro, L.F.R.; Monteiro, J.R.; Ferreira, L.H.C.; De Souza, A.C.Z.; Lopes, B.I.L. Determination of Renewable Generation Operation with the Aid of the ANN. In Proceedings of the 2018 13th IEEE International Conference on Industry Applications (INDUSCON), 12 November 2018; pp. 375–380. [Google Scholar]
- Wu, J.; Zhang, C.; Chen, Z. An online method for lithium-ion battery remaining useful life estimation using importance sampling and neural networks. Appl. Energy 2016, 173, 134–140. [Google Scholar] [CrossRef]
- Miriam, E.J.; Sekar, S.; Ambalavanan, S. Artificial Neural Network technique for predicting the lifetime and performance of lead-acid battery. Int. J. (ESTIJ) 2013, 3, 393–401. [Google Scholar]
- Haykin, S. Neural Networks and Machine Learning, 3rd ed.; Pearson Education: London, UK, 2008. [Google Scholar]








| Database | Total of Samples |
|---|---|
| Training | 61,971 |
| Validation | 30,985 |
| Test | 30,985 |
| Characteristics | ANN |
|---|---|
| Training Function | Levenberg–Marquardt |
| Adapting Learning Function | Gradient Descent |
| Performance Function | MSE |
| Number of layers | 3 |
| Number of neurons in layer 1 | 18 |
| Number of neurons in layer 2 | 10 |
| Transfer function of layer 1, 2 and output layer | Hyperbolic Tangent Sigmoid |
Publisher’s Note: MDPI stays neutral with regard to jurisdictional claims in published maps and institutional affiliations. |
© 2020 by the authors. Licensee MDPI, Basel, Switzerland. This article is an open access article distributed under the terms and conditions of the Creative Commons Attribution (CC BY) license (https://creativecommons.org/licenses/by/4.0/).
Share and Cite
Almeida, G.C.S.; Souza, A.C.Z.d.; Ribeiro, P.F. A Neural Network Application for a Lithium-Ion Battery Pack State-of-Charge Estimator with Enhanced Accuracy. Proceedings 2020, 58, 33. https://doi.org/10.3390/WEF-06915
Almeida GCS, Souza ACZd, Ribeiro PF. A Neural Network Application for a Lithium-Ion Battery Pack State-of-Charge Estimator with Enhanced Accuracy. Proceedings. 2020; 58(1):33. https://doi.org/10.3390/WEF-06915
Chicago/Turabian StyleAlmeida, Gabriel C. S., A. C. Zambroni de Souza, and Paulo F. Ribeiro. 2020. "A Neural Network Application for a Lithium-Ion Battery Pack State-of-Charge Estimator with Enhanced Accuracy" Proceedings 58, no. 1: 33. https://doi.org/10.3390/WEF-06915
APA StyleAlmeida, G. C. S., Souza, A. C. Z. d., & Ribeiro, P. F. (2020). A Neural Network Application for a Lithium-Ion Battery Pack State-of-Charge Estimator with Enhanced Accuracy. Proceedings, 58(1), 33. https://doi.org/10.3390/WEF-06915
