Next Article in Journal
Investigation of the Lean Stable Limit of a Barrier Discharge Igniter and of a Streamer-Type Corona Igniter at Different Engine Loads in a Single-Cylinder Research Engine
Previous Article in Journal
Characterization of Protected and Unprotected Ancient Glass after Acid Corrosion
 
 
Font Type:
Arial Georgia Verdana
Font Size:
Aa Aa Aa
Line Spacing:
Column Width:
Background:
Proceeding Paper

Entropy Production and Efficiency in Longitudinal Convecting–Radiating Fins †

DICATAM, Università degli Studi di Brescia, Via Valotti 9, 25133 Brescia, Italy
*
Author to whom correspondence should be addressed.
Presented at the First World Energies Forum, 14 September–5 October 2020; Available online: https://wef.sciforum.net/.
Proceedings 2020, 58(1), 13; https://doi.org/10.3390/WEF-06924
Published: 12 September 2020
(This article belongs to the Proceedings of The First World Energies Forum—Current and Future Energy Issues)

Abstract

:
The properties of the entropy production in convecting–radiating fins were analyzed. By taking advantage of the explicit expression for the distribution of heat along the fin, we investigated the possibility of assessing the efficiency of these devices through the amount of entropy produced in the heat transfer process. The analysis was performed both for purely convecting fins and for convecting–radiating fins. A comparison with standard definitions of efficiency is given.

1. Introduction

Longitudinal fins are widely used in applications to enhance heat dissipation from a given device or from a suitable surface. The main mechanisms of heat dissipation are conduction, convection, and radiation. While for the first two mechanisms, when making the appropriate simplification assumptions (e.g., thermal coefficients independent of temperature), the mathematical models of temperature distribution along the fin are linear, if radiation is added, the models become intrinsically nonlinear and their analysis very challenging. In this work, we investigate the role of entropy in assessing the efficiency of the fin. We introduce a novel indicator of the ability of a fin to dissipate heat, taking into account the rate of entropy produced by the fin in its steady state. The entropy rate considered here results from the contributions of convection and radiation. The evaluation of the efficiency of a fin with an arbitrary general profile takes advantage of the explicit analytical results for the distribution of the temperature in the convective–radiative fins obtained in [1], some of which are reported here for ease of reading.
The work is organized as follows: In Section 2, we introduce the main equations describing the evolution of the temperature along the fin and the corresponding boundary conditions. The rates of entropies produced by convection and radiation by the fin are also introduced. In Section 3, an entropy-based indicator for the effectiveness of the fin in dissipating heat is introduced and discussed. For definiteness, the application of the method to some relevant cases is illustrated. In Section 4, the formulae introduced are applied to the case of a purely convective fin; the efficiency of a rectangular fin is calculated and a comparison with the classical results from the literature is given. In Section 5, the case of a fin dissipating through convection and radiation is presented. Finally, in the conclusions, we discuss our results and their possible generalizations.

2. The Entropy Production Due to Heat Exchange

We consider a longitudinal fin of arbitrary profile attached to a base at a temperature T b . The fin length is L, whereas the fin thickness at a distance x from the base is 2 f 0 ( x ) 0 . The half thickness at the base is f b = f 0 ( x = 0 ) , whereas at the fin tip, located at x = , the half thickness is denoted by f t = f 0 ( ) (see Figure 1). We assume that the Fourier law of heat conduction holds inside the fin and that the temperature varies only along the x direction. The variation of the internal energy is assumed to be equal to the energy gains (or losses) by conduction, radiation, and convection.
If ρ is the density of the homogeneous material, c its specific heat, κ the thermal conductivity, h the convective heat transfer coefficient, and σ the Stefan–Boltzmann constant, the evolution of temperature T ( x , t ) is governed by the following equation:
ρ c f 0 ( x ) T t = κ x f 0 ( x ) T x 2 h 1 + 2 f 0 L ( T T 0 ) 2 σ ϵ 1 + 2 f 0 L ( T 4 T 1 4 ) ,
where T 0 is the temperature of the fluid adjacent to the fin, T 1 represents the temperature of the effective radiation environment (i.e., the radiant energy absorbed by the fin per unit of time and surface is ϵ σ T 1 4 ), and ϵ is the emissivity of the fin.
If the fin thickness is small compared to its length, then the term f 0 / L can be ignored, and we obtain
ρ c f 0 ( x ) T t = κ x f 0 ( x ) T x 2 h ( T T 0 ) 2 σ ϵ ( T 4 T 1 4 ) .
In the following, we assume the fin to be, in general, non-gray with T 1 4 = k T 0 4 , where k is the ratio between the absorptivity and the emissivity of the fin [2]. For a gray fin, one has to set k = 1 [2].
Equation (2) must be supplied with the initial and boundary conditions; we assume the boundary conditions to be given by [1]:
f 0 ( x ) d T d x x = 0 η 0 ( T T b ) x = 0 ξ 0 ( T 4 k T b 4 ) x = 0 = 0 ,
and
f 0 ( x ) d T d x x = + η 1 ( T T 0 ) x = + ξ 1 ( T 4 k T 0 4 ) x = = 0 ,
where η i and ξ i , i = 0 , 1 , are positive constants proportional to the Biot and radiation–conduction numbers of the ends of the fin. The initial condition is given by T t = 0 = T ( x , 0 ) = T i n ( x ) .
We are interested in the entropy production due to heat exchange, so we assume that the main contribution to the entropy production comes from convection and radiation. The entropy produced by the friction of the fluid on the fin has been considered elsewhere (see, e.g., [3]). For a process starting from a temperature distribution at t = 0 given by T i n ( x ) up to the temperature T ( x , t ) at some time t > 0 , the contribution at x to the entropy production due to the convection is given by 2 h ( L + 2 f 0 ) ln T / T i n .
Hence, for the entire fin, we obtain
s ˙ h T i n T = 0 2 h ( L + 2 f 0 ) ln T T i n d x .
The contribution to the entropy production due to the radiation can be explicitly calculated under suitable assumptions. For completeness, we report the main formulae in the next lines; for more details, the reader can see, for example, [4,5,6,7,8,9,10]. We assume that the surface of the fin is diffuse gray [2], i.e., it absorbs a fixed fraction of incident radiation for any direction and at any frequency, and emits a fixed fraction of the blackbody radiation. For a blackbody radiation, the mean occupation number for the photon gas is given by
< n > = 1 e h ν K B T 1 ,
where h is the Planck constant and K B the Boltzmann constant. The density of states per unit volume and per unit solid angle is given by
ρ ( ν ) = g ν 2 c 3 ,
where c is the speed of light and g is the degeneracy factor, which takes into account the two possible polarizations of the photons: It is equal to 2 for unpolarized photons (like in our case) and equal to 1 for polarized photons. The contribution to the entropy for each given frequency ν can be written as
s ( v ) = K B ( 1 + < n > ) ln ( 1 + < n > ) < n > ln ( < n > ) .
Equation (8), together with (6) and (7), gives, for the total entropy of the blackbody radiation,
S = 8 π V K B 4 T 3 h 3 c 3 0 x 2 1 + 1 e x 1 ln 1 + 1 e x 1 1 e x 1 ln 1 e x 1 d x .
In this case, the integral can be evaluated explicitly; indeed, with an integration by parts, we get
0 x 2 1 + 1 e x 1 ln 1 + 1 e x 1 1 e x 1 ln 1 e x 1 d x = 1 3 0 x 4 e x ( e x 1 ) 2 d x .
The integral on the right can be evaluated thanks to the following identity (see, e.g., [11]):
I α ( y ) 0 x α e x y 1 d x = α ! k = 1 e k y k α + 1 .
For simplicity, we can assume α R + and y R . By taking the derivative of I 4 ( y ) with respect to y and evaluating it to 0, we get
0 x 4 e x ( e x 1 ) 2 d x = 4 ! k = 1 1 k 4 = 4 15 π 4 ,
giving
S = 32 π V K B 4 T 3 π 5 45 h 3 c 3 = 16 σ 3 c V T 3 .
This result, limited to the blackbody radiation when the number of photons is in equilibrium, is well known (see, e.g., [4]). Due to the interaction of the radiation with matter, the number of photons is no longer conserved and the mean occupation number is reduced, for example, by the processes of absorption, emission, and reflection (see, e.g., [5]). As a consequence, the spectral energy irradiance is reduced, too. This reduction is accounted for by the emissivity ϵ of the material, so we can write
< n ϵ > = ϵ e h ν K B T 1 .
By repeating all the steps linking Equation (6) for < n > to Equation (13) for S for the blackbody radiation, we get, in the case of a diffuse gray material with emissivity ϵ ,
S ϵ = 16 σ 3 c I ( ϵ ) V T 3 ,
where I ( ϵ ) is a dimensionless integral giving the dependence of the radiation entropy by emissivity, explicitly given by
I ( ϵ ) = 0 x 2 1 + ϵ e x 1 ln 1 + ϵ e x 1 ϵ e x 1 ln ϵ e x 1 d x .
The entropy rate for unit surface d s ˙ is obtained from (15) as [6,7]:
d s ˙ = 16 σ 3 I ( ϵ ) T 3 .
From (5) and (17), it follows that the total contribution to the entropy production (in W/ K) of the fin by convection and radiation can be written as
s ˙ T i n T = s ˙ h T i n T + s ˙ σ T i n T = 0 2 ( L + 2 f 0 ) h ln T T i n + 16 σ 3 I ( ϵ ) ( T 3 T i n 3 ) d x ,
and, using the same approximation as in Equation (2), it follows that
s ˙ T i n T = 2 L 0 h ln T T i n + 16 σ 3 I ( ϵ ) ( T 3 T i n 3 ) d x .
For further convenience, it is appropriate to introduce dimensionless variables. In particular, let z = x / and τ = κ t / ρ c 2 denote the dimensionless coordinates. Moreover, we define θ = T / T b , θ i n = T i n / T b , α = 2 h 2 / ( f b κ ) , β = 2 σ ϵ 2 T b 3 / ( f b κ ) , and f ( z ) = f 0 ( z ) / f b . Equation (2) becomes
f ( z ) θ τ = z f ( z ) θ z α ( θ θ 0 ) β ( θ 4 k θ 0 4 ) ,
with initial conditions θ ( z , τ ) | τ = 0 = θ ( z , 0 ) = θ i n ( z ) and boundary conditions
f ( z ) d θ d z z = 0 B i 0 ( θ 1 ) z = 0 N 0 ( θ 4 k ) z = 0 = 0 , f ( z ) d θ d z z = 1 + B i 1 ( θ θ 0 ) z = 1 + N 1 ( θ 4 k θ 0 4 ) z = 1 = 0 ,
where the Biot numbers B i j = η j / f b , j = 0 , 1 , and the radiation–conduction numbers N j = ξ j / f b , j = 0 , 1 , were introduced.

3. The Role of Entropy in Assessing Efficiency of the Steady State

A common indicator of the capability of a fin to dissipate heat is given by the efficiency [2,12,13]. To define this efficiency, it was necessary to introduce a reference state given by the fin at constant temperature equal to the base temperature T b ( θ = 1 ). Accordingly, the efficiency η of the fin is defined as the ratio of the actual heat transfer to the ideal heat transfer for a fin of infinite thermal conductivity in the reference state. It can be shown that, for the steady state solution of Equation (20), the efficiency can be calculated as [1]:
η = B i 1 ( θ 0 θ ( 1 ) ) + B i 0 ( 1 θ ( 0 ) ) + N 1 ( k θ 0 4 θ ( 1 ) 4 ) + N 0 ( k θ ( 0 ) 4 ) α ( 1 θ 0 ) + β ( 1 k θ 0 4 ) .
In order to make a comparison with the efficiency as above defined, the calculation of the entropy production s ˙ is performed by taking the same reference state. Hence, s ˙ is given by
s ˙ : = s ˙ T T b = s ˙ T i n T b s ˙ T i n T ,
and, applying (19), it follows that
s ˙ = 2 L 0 16 σ 3 I ( ϵ ) ( T b 3 T 3 ) h ln T T b d x .
In order to get clearer formulae, we introduce the reference entropy production due to convection, s ˙ 0 , h , and the reference entropy production due to radiation, s ˙ 0 , σ , as follows:
s ˙ 0 , h = 2 L h , s ˙ 0 , σ = 2 L 16 σ 3 I ( ϵ ) T b 3 ,
so that the expression of the total entropy production is reduced to
s ˙ = 0 1 s ˙ 0 , σ ( 1 θ 3 ) s ˙ 0 , h ln θ d z .
Notice that the entropy rate s ˙ 0 , σ corresponds to the entropy produced by a fin at θ = 0 (i.e., T = 0 ), whereas the entropy rate s ˙ 0 , h corresponds to the entropy produced by a fin at θ = exp ( 1 ) 0.368 (i.e., T 0.368 T b ).
As pointed out in [1], a large class of steady-state solutions of Equation (20) with the boundary conditions (21) are such that the dimensionless temperature θ ( z ) is bounded from below by the (dimensionless) fluid temperature, θ 0 = T 0 / T b , and from above by the (dimensionless) base temperature, θ b = T b / T b = 1 , i.e., θ ( θ 0 , 1 ) .
We are now able to define an entropy-based indicator for the effectiveness of the fin to dissipate heat by convection and radiation. This can be done by defining
η s = 1 0 1 s ˙ 0 , σ ( 1 θ 3 ) s ˙ 0 , h ln θ d z s ˙ 0 , σ ( 1 θ 0 3 ) s ˙ 0 , h ln θ 0 .
If θ ( z ) = θ 0 , then η s = 0 , whereas η s = 1 when θ ( z ) = θ b = 1 . We notice that the ratio of the reference entropies s ˙ 0 , σ and s ˙ 0 , h is related to the ratio of the dimensionless convective and radiative coefficients α and β (see the definitions before Equation (20)) through the formula
s ˙ 0 , σ s ˙ 0 , h = 16 3 I ( ϵ ) ϵ β α ,
so Equation (27) can also be written in the following form:
η s = 1 0 1 16 3 I ( ϵ ) ϵ β ( 1 θ 3 ) α ln θ d z 16 3 I ( ϵ ) ϵ β ( 1 θ 0 3 ) α ln θ 0 .
In the next section, we will investigate the reliability of this definition by analyzing the purely convective case and making a comparison with the classical definition of efficiency in (22).

4. Analysis of the Pure Convective Case

In this section, we take into account a fin dissipating heat solely through the convective mechanism. In this case, Formula (27) reduces to
η s = 1 1 ln ( θ 0 ) 0 1 ln ( θ ) d z .
The simplest case is that of a rectangular longitudinal profile, meaning that f ( z ) = 1 for the dimensionless profile. The steady-state temperature θ ( z ) , solution of the Equation (20) with the boundary conditions (21), has been given in [1] as
θ ( z ) = θ 0 + ( 1 θ 0 ) B i 0 m cosh ( m ( 1 z ) ) + B i 1 sinh ( m ( 1 z ) ) m ( B i 0 + B i 1 ) cosh ( m ) + ( m 2 + B i 0 B i 1 ) sinh ( m ) .
From the previous formula, it is possible to get the temperature distribution along a fin with an insulated tip and a base at T = T b . When N 0 and N 1 are both zero, the boundary condition corresponding to an insulated tip is obtained from (21) by taking B i 1 = 0 , whereas the boundary condition corresponding to a base at T = T b is obtained by taking the limit B i 0 . If this is the case, Equation (31) reduces to
θ ( z ) = θ 0 + ( 1 θ 0 ) cosh ( m ( 1 z ) ) cosh ( m ) .
By Equation (30), the corresponding value of entropic efficiency is
η s = 1 ln ( θ 0 ) 0 1 ln 1 + a cosh ( m y ) d y ,
where a = 1 θ 0 cosh ( m ) θ 0 . It is interesting to look at what happens when θ 0 is close to 1. In the limit θ 0 1 , it is possible to show that
η s = tanh ( m ) m + 1 8 sinh ( 2 m ) 2 m 2 m ( 1 + cosh ( 2 m ) ) ( 1 θ 0 ) + O ( ( 1 θ 0 ) 2 ) .
For a temperature profile given by (32), the classical efficiency (22) (i.e., the ratio of the actual heat transfer to the ideal heat transfer for a fin of infinite thermal conductivity) is then given by [1,12]
η = tanh ( m ) m ,
so Formula (34) can be rewritten as
η s = η + 1 8 sinh ( 2 m ) 2 m 2 m ( 1 + cosh ( 2 m ) ) ( 1 θ 0 ) + O ( ( 1 θ 0 ) 2 ) .
From this example, it is apparent that (30) can be seen as an extension of the classical definition of the efficiency based on the quantity of heat dissipated by the fin. In Figure 2, we plot the Formula (33) as a function of θ 0 and m. For comparison, Gardner’s result (35) is also reported.
Further support for the above point of view is given by looking at the efficiency corresponding to the more general profile temperature (31) in the same limit θ 0 1 . Now, from formulae (31) and (33), we get
η s = B i 0 B i 1 ( cosh ( m ) 1 ) + m sinh ( m ) m m ( B i 0 + B i 1 ) cosh ( m ) + ( m 2 + B i 0 B i 1 ) sinh ( m ) + O ( 1 θ 0 ) .
Again, the first term of this expansion is exactly the efficiency obtained by applying the classical definition of efficiency (22) (see [1], where the classical expressions of efficiency for other different profiles have been given).
In the next section, we will look at the more general convective–radiative case.

5. Entropic Efficiency in the Convecting–Radiating Fin

The case of a fin dissipating both by convection and radiation is more challenging, since the differential equation describing the steady-state temperature along the fin is nonlinear, and the general solution of the differential equation cannot be written explicitly. In [1], the authors were able, thanks to a change of variables, to write down (in terms of an auxiliary function y ( z ) ) a family of explicit solutions to Equation (20) in the steady case with the boundary conditions (21). For the sake of completeness, we report the main formulae and restrict the discussion to gray fins (i.e., we set k = 1 in Equations (20) and (21)).
If the change of variables
θ ( z ) = θ 0 + w y ( z ) 2 , w R ,
is inserted into the steady version of Equation (20), and if the further constraint f ( z ) d y d z = 1 is assumed, then the resulting differential equation can be integrated to give the following implicit formula for y ( z ) [1]:
A y + E 1 arctan y b 1 + E 2 arctan y + a 2 b 2 + arctan y a 2 b 2 + F 2 ln ( y + a 2 ) 2 + b 2 2 ( y a 2 ) 2 + b 2 2 = β w 3 2 ( z + c ) ,
where the values of A, E 1 , E 2 , and F 2 are given by:
E 1 = 1 b 1 3 a 2 2 + ( b 1 b 2 ) 2 a 2 2 + ( b 1 + b 2 ) 2 , E 2 = 1 4 ( a 2 2 3 b 2 2 ) ( a 2 2 + b 1 2 b 2 2 ) 2 b 2 2 ( 3 a 2 2 b 2 2 ) a 2 2 + ( b 1 b 2 ) 2 a 2 2 + ( b 1 + b 2 ) 2 a 2 2 + b 2 2 3 b 2 , A = 1 b 1 2 ( a 2 2 + b 2 2 ) 2 , F 2 = 1 8 ( b 2 2 3 a 2 2 ) ( a 2 2 + b 1 2 b 2 2 ) + 2 a 2 2 ( 3 b 2 2 a 2 2 ) a 2 2 + ( b 1 b 2 ) 2 a 2 2 + ( b 1 + b 2 ) 2 a 2 2 + b 2 2 3 a 2 .
In these expressions, the coefficients b 1 , a 2 , and b 2 are explicit functions of the dimensionless fluid temperature θ 0 , the ratio α / β , and the parameter w appearing in (38). More explicitly, one has:
b 1 = 2 θ 0 + b w , a 2 2 = b 2 θ 0 + 2 2 θ 0 2 + b 2 4 w , b 2 2 = 2 θ 0 b + 2 2 θ 0 2 + b 2 4 w ,
where the value of b is fixed by the unique real solution of the following cubic equation:
α β = b ( b 2 + 2 b θ 0 + 2 θ 0 2 ) .
At this point, it remains to fix the values of the constant c, appearing in (39), and w, appearing in (38). They can be fixed by exploiting the boundary condition at z = 0 . Indeed, it is possible to show (see [1]) that the first of the two boundary conditions (21) can be written as the following polynomial equation for y ( 0 ) = y | z = 0 :
B i 0 ( w y ( 0 ) 2 ( 1 θ 0 ) ) + N 0 ( w y ( 0 ) 2 + θ 0 ) 4 1 2 w y ( 0 ) = 0 .
Furthermore, for fixed values of the parameters B i 0 , N 0 , θ 0 , and w, this equation always possesses one real negative solution (see [1]), for which we use y . The initial condition for y is then y ( 0 ) = y .
For consistency with the assumed constraints f ( z ) d y d z = 1 and f ( 0 ) = 1 , it is possible to show that the value of w must be fixed by the following equation:
f ( 0 ) = 1 = 2 β y 2 w y 2 + 2 θ 0 + b w y 2 + θ 0 b 2 2 + θ 0 ( θ 0 + b ) + 3 4 b 2 ,
whereas the value of c is fixed by Equation (39) evaluated at y = y and z = 0 . Consequently, the values of y as a function of z are implicitly determined by Equation (39) for any choice of the parameters β , a, and b (i.e., of the parameters θ 0 , α , and β of the steady version of the differential Equation (20)). Through Equation (38), these functions give the corresponding values of the dimensionless temperature in the steady state θ ( z ) .
Now, we will apply the methodology reported above to describe the dependence of the entropic efficiency (29) on the dimensionless convection and radiation coefficients α and β as well as on the emissivity ϵ .
For simplicity, we analyze the case of a fin with a base at T = T b , i.e., θ ( 0 ) = 1 , corresponding to B i 0 and/or N 0 . In this case, the value of w can also be written as
w = 1 2 α ( 1 θ 0 ) + β ( 1 θ 0 4 ) .
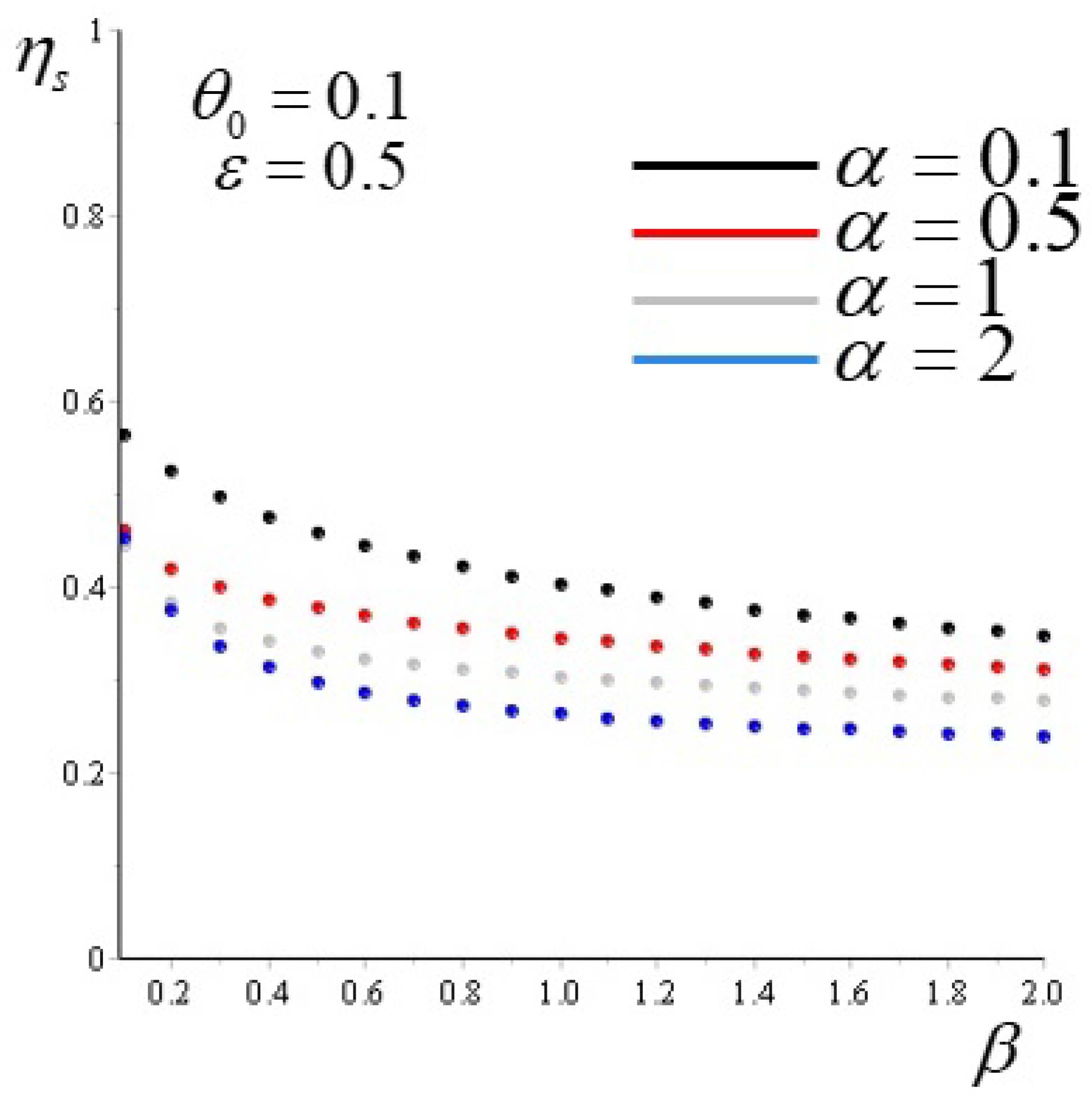
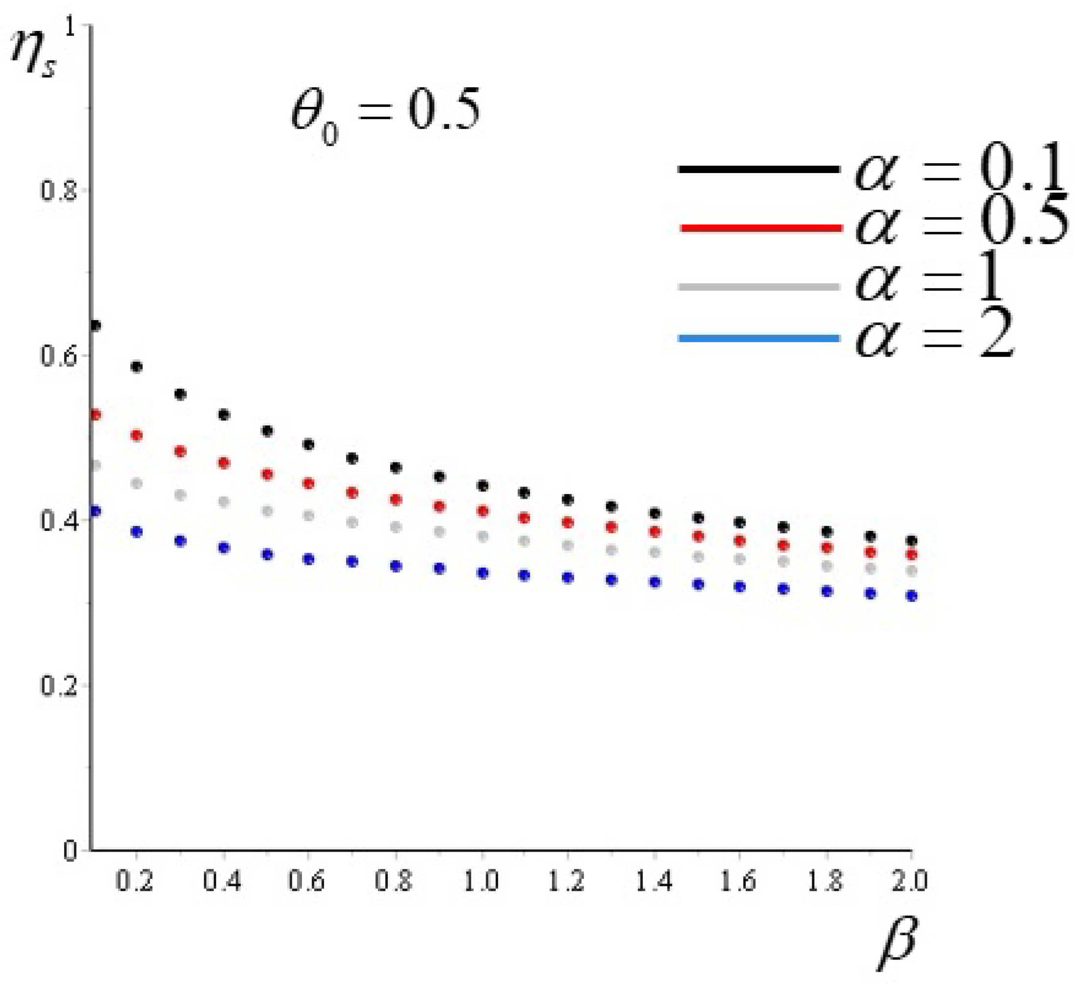
To fix the ideas, we can assume the emissivity ϵ to be equal to 0.5. The corresponding value of the integral I ( ϵ ) (16) is given by I ( ϵ ) 5.097 . We first choose two different values of θ 0 : θ 0 = 0.1 and θ 0 = 0.5 . For each of these choices, we consider four different values of α , namely α = { 0.1 , 0.5 , 1 , 2 } , and twenty different values of β , from β = 0.1 to β = 2 . Then, according to Equations (38) and (39), we calculate the distribution of temperatures along the fin, corresponding to a given set of parameters. Finally, we obtain the amount of entropic efficiency of each state by means of Equation (29). The results are reported in Figure 3 and Figure 4: In all cases, the efficiency decreases with increasing β and decreases with increasing α . The resulting behavior of η s is in agreement with that of the classical efficiency (22) by performing similar variations of the parameters. For comparison, we report in Figure 5 the values of the efficiency calculated with Formula (22) (given in [1]) by using the same choices of the parameters as above.

6. Conclusions

We introduced a novel indicator giving the efficiency of the performances of longitudinal fins of arbitrary profile based on the amount of entropy produced by a fin in its steady state. The contributions to the entropy taken into account were those coming from convection and radiation. It has been shown that this definition gives values of efficiency that are compatible, in a first approximation, to those given by the classical definition of efficiency based on the analysis of the heat transfer by convection and radiation. In our opinion, our definition is, however, more flexible: The role of the fluid temperature is explicit, and this is particularly evident, for example, in Equation (36). In order to perform the analysis of both the convective and the full convective–radiative cases, we took advantage of the results appearing in [1], where explicit steady solutions of the relevant equations for the distribution of temperature along the fin were obtained. This work can be considered a starting point for a more in-depth analysis of the efficiency of fins with different profiles and with different mechanisms of heat dissipation. The methodology developed here is fairly general and, although it has been applied to a few simple cases here, it is worth taking into consideration and being applied to more complex cases.

Funding

The financial support of INFN, GNFM-INdAM, and University of Brescia is gratefully acknowledged

References

  1. Bochicchio, I.; Naso, M.G.; Vuk, E.; Zullo, F. Convecting-radiating fins: explicit solutions, efficiency and optimization. Appl. Math. Model. 2021, 89, 171–187. [Google Scholar] [CrossRef]
  2. Howell, J.R.; Mengüç, M.P.; Siegel, R. Thermal Radiation Heat Transfer, 6th ed.; CRC Press: Boca Raton, FL, USA, 2016. [Google Scholar]
  3. Xie, G.; Song, Y.; Asadi, M.; Lorenzini, G. Optimization of Pin-Fins for a Heat Exchanger by Entropy Generation Minimization and Constructal Law. J. Heat Transf. 2015, 137, 061901-1. [Google Scholar] [CrossRef]
  4. Schwabl, F. Statistical Mechanics; Springer: Berlin/Heidelberg, Germany, 2006; ISBN -13. [Google Scholar]
  5. del Rio, F.; de la Selva, S.M.T. Reversible and irreversible heat transfer by radiation. Eur. J. Phys. 2015, 36, 035001. [Google Scholar]
  6. Fuchs, H.U. The Dynamics of Heat: A Unified Approach to Thermodynamics and Heat Transfer; Springer: Berlin/Heidelberg, Germany, 2010; ISBN 978-1-4419-7603-1. [Google Scholar]
  7. Kabelac, S.; Conrad, R. Entropy Generation During the Interaction of Thermal Radiation with a Surface. Entropy 2012, 14, 717–735. [Google Scholar] [CrossRef]
  8. Landsberg, P.T.; Tonge, G. Thermodynamics of the conversion of diluted radiation. J. Phys. A Math. Gen. 1979, 12, 4. [Google Scholar] [CrossRef]
  9. Wright, S.E.; Scott, D.S.; Haddow, J.B.; Rosen, M.A. On the entropy of radiative heat transfer in engineering thermodynamics. Int. J. Eng. Sci. 2001, 39, 1691–1706. [Google Scholar] [CrossRef]
  10. Agudelo, A.; Cortes, C. Thermal radiation and the second law. Energy 2010, 35, 679–691. [Google Scholar] [CrossRef]
  11. Di Castro, C.; Raimondi, R. Statistical Mechanics and Applications in Condensed Matter; Cambridge University Press: Cambridge, UK, 2015; ISBN 978-1-107-03940-7. [Google Scholar]
  12. Gardner, K.A. Efficiency of Extended Surface. Trans. ASME 1945, 67, 621. [Google Scholar]
  13. Kraus, A.D.; Aziz, A.; Welty, J.R. Extended Surface Heat Transfer; Wiley: New York, NY, USA, 2002. [Google Scholar]
Figure 1. The longitudinal fin with a profile described by a suitable f 0 ( x ) with the coordinate system, the cross-sectional area, and the geometrical properties. The case shown corresponds to f t = f 0 ( ) = 0 .
Figure 1. The longitudinal fin with a profile described by a suitable f 0 ( x ) with the coordinate system, the cross-sectional area, and the geometrical properties. The case shown corresponds to f t = f 0 ( ) = 0 .
Proceedings 58 00013 g001
Figure 2. The plot of the efficiency η s (33) as a function of θ 0 and m (blue) and the classical Gardner’s Formula (35) (in red).
Figure 2. The plot of the efficiency η s (33) as a function of θ 0 and m (blue) and the classical Gardner’s Formula (35) (in red).
Proceedings 58 00013 g002
Figure 3. The plot of the efficiency η s as a function of β for θ 0 = 0.5 and four different values of α .
Figure 3. The plot of the efficiency η s as a function of β for θ 0 = 0.5 and four different values of α .
Proceedings 58 00013 g003
Figure 4. The plot of the efficiency η s as a function of β for θ 0 = 0.1 and four different values of α .
Figure 4. The plot of the efficiency η s as a function of β for θ 0 = 0.1 and four different values of α .
Proceedings 58 00013 g004
Figure 5. The plot of the classical efficiency η (from [1]) as a function of β for θ 0 = 0.1 and θ 0 = 0.5 and four different values of α .
Figure 5. The plot of the classical efficiency η (from [1]) as a function of β for θ 0 = 0.1 and θ 0 = 0.5 and four different values of α .
Proceedings 58 00013 g005
Publisher’s Note: MDPI stays neutral with regard to jurisdictional claims in published maps and institutional affiliations.

Share and Cite

MDPI and ACS Style

Giorgi, C.; Zullo, F. Entropy Production and Efficiency in Longitudinal Convecting–Radiating Fins. Proceedings 2020, 58, 13. https://doi.org/10.3390/WEF-06924

AMA Style

Giorgi C, Zullo F. Entropy Production and Efficiency in Longitudinal Convecting–Radiating Fins. Proceedings. 2020; 58(1):13. https://doi.org/10.3390/WEF-06924

Chicago/Turabian Style

Giorgi, Claudio, and Federico Zullo. 2020. "Entropy Production and Efficiency in Longitudinal Convecting–Radiating Fins" Proceedings 58, no. 1: 13. https://doi.org/10.3390/WEF-06924

APA Style

Giorgi, C., & Zullo, F. (2020). Entropy Production and Efficiency in Longitudinal Convecting–Radiating Fins. Proceedings, 58(1), 13. https://doi.org/10.3390/WEF-06924

Article Metrics

Back to TopTop