Acoustic Bragg Peak Localization in Proton Therapy Treatment: Simulation Studies †
Abstract
:1. Introduction
2. Monte Carlo Simulation
3. Thermoacoustic Model
4. FEM Simulation
5. Localization Method
6. Results
6.1. Energy Deposition

6.2. Thermoacoustic Signal
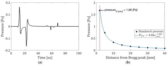
6.3. Acoustic Propagation
6.4. Acoustic Localization
7. Conclusions
Author Contributions
Conflicts of Interest
References
- De Ruysscher, D.; Lodge, M.M.; Jones, B.; Brada, M.; Munro, A.; Jefferson, T.; Pijls-Johannesma, M. Charged particles in radiotherapy: A 5-year update of a systematic review. Radiother. Oncol. 2012, 103, 5–7. [Google Scholar] [CrossRef] [PubMed]
- Database, C.M. International Agency for Research on Cancer. Available online: http://www-dep.iarc.fr/WHOdb/WHOdb.htm (accessed on 18 February 2019).
- Kraan, A.C.; Battistoni, G.; Belcari, N.; Camarlinghi, N.; Ciocca, M.; Ferrari, A.; Ferretti, S.; Mairani, A.; Molinelli, S.; Pullia, M.; Sala, P. Online monitoring for proton therapy: A real-time procedure using a planar PET system. Nucl. Instrum. Methods Phys. Res. 2015, 786, 120–126. [Google Scholar] [CrossRef]
- Aso, T.; Kimura, A.; Kameoka, S.; Murakami, K.; Sasaki, T.; Yamashita, T. GEANT4 based simulation framework for particle therapy system. In Proceedings of the IEEE Nuclear Science Symposium Conference Record, Honolulu, HI, USA, 26 October–3 November 2007. [Google Scholar]
- Sulak, L.; Armstrong, T.; Baranger, H.; Bregman, M.; Levi, M.; Mael, D.; Strait, J.; Bowen, T.; Pifer, A.E.; Polakos, P.A.; et al. Experimental studies of the acoustic signature of proton beams traversing fluid media. Nucl. Instrum. Methods Phys. Res. 1979, 161, 203–217. [Google Scholar] [CrossRef]
- A. M. U. Guide. Available online: https://doc.comsol.com/5.4/doc/com.comsol.help.aco/AcousticsModuleUsersGuide.pdf (accessed on 2 October 2019).
- Otero, J.; Felis, I.; Ardid, M.; Herrero, A. Acoustic localization of bragg peak proton beams for hadrontherapy monitoring. Sensors 2019, 19, 1971. [Google Scholar] [CrossRef] [PubMed]
- Otero, J.; Ardid, M.; Felis, I.; Herrero, A. Acoustic location of Bragg peak for hadrontherapy monitoring. In Proceedings of the 5th International Electronic Conference on Sensors and Applications, ecsa-5.sciforum.net, 15–30 November 2018. [Google Scholar]
- Barber, T.; Brockway, J.; Higgins, L. The density of tissues in and about the head. Acta Neurol. Scand. 1970, 46, 85–92. [Google Scholar] [CrossRef] [PubMed]
- Sauer, T. Resolución de Ecuaciones; Análisis numérico; Pearson: London, UK, 2013; pp. 24–71. [Google Scholar]
- Askaryan, G.A. Hydrodynamic radiation from the tracks of ionizing particles in stable liquids. Sov. J. At. Energy 1957, 3, 921–923. [Google Scholar] [CrossRef]



| Sensor [mm] | Source Position [mm] | Reconstructed Position [mm] | ||||||
|---|---|---|---|---|---|---|---|---|
| 1 | 2 | 3 | 4 | 5 | 6 | |||
| X | −111.7 | −11.1 | −10.9 | −10.1 | −10.1 | −100.0 | −70.00 | −69.20 |
| Y | 1.1 | 13.8 | 29.8 | 1.0 | 15.6 | 33.5 | 20.00 | 20.81 |
| Z | 172.2 | 172.1 | 171.5 | 174.0 | 174.1 | 173.4 | 171.90 | 173.30 |
Publisher’s Note: MDPI stays neutral with regard to jurisdictional claims in published maps and institutional affiliations. |
© 2019 by the authors. Licensee MDPI, Basel, Switzerland. This article is an open access article distributed under the terms and conditions of the Creative Commons Attribution (CC BY) license (https://creativecommons.org/licenses/by/4.0/).
Share and Cite
Otero, J.; Felis, I.; Ardid, M.; Herrero, A.; Merchán, J.A. Acoustic Bragg Peak Localization in Proton Therapy Treatment: Simulation Studies. Proceedings 2020, 42, 71. https://doi.org/10.3390/ecsa-6-06533
Otero J, Felis I, Ardid M, Herrero A, Merchán JA. Acoustic Bragg Peak Localization in Proton Therapy Treatment: Simulation Studies. Proceedings. 2020; 42(1):71. https://doi.org/10.3390/ecsa-6-06533
Chicago/Turabian StyleOtero, Jorge, Ivan Felis, Miguel Ardid, Alicia Herrero, and José A. Merchán. 2020. "Acoustic Bragg Peak Localization in Proton Therapy Treatment: Simulation Studies" Proceedings 42, no. 1: 71. https://doi.org/10.3390/ecsa-6-06533
APA StyleOtero, J., Felis, I., Ardid, M., Herrero, A., & Merchán, J. A. (2020). Acoustic Bragg Peak Localization in Proton Therapy Treatment: Simulation Studies. Proceedings, 42(1), 71. https://doi.org/10.3390/ecsa-6-06533

