Mechanical Line Fit Model to Monitor the Position of KM3NeT Optical Modules from the Acoustic and Compass/Accelerometer Sensor System Data †
Abstract
1. Introduction
2. Methods
2.1. Acoustic Positioning System (APS)
2.2. Attitude and Heading Reference System (AHRS)
2.3. Mechanical Model (MM)
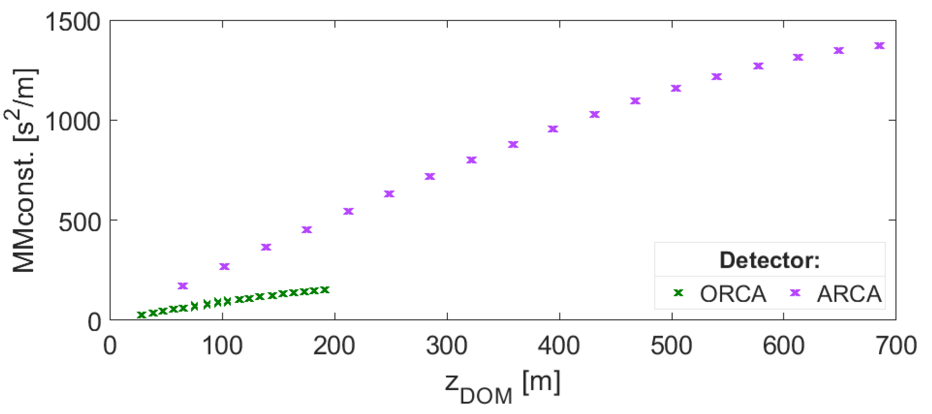
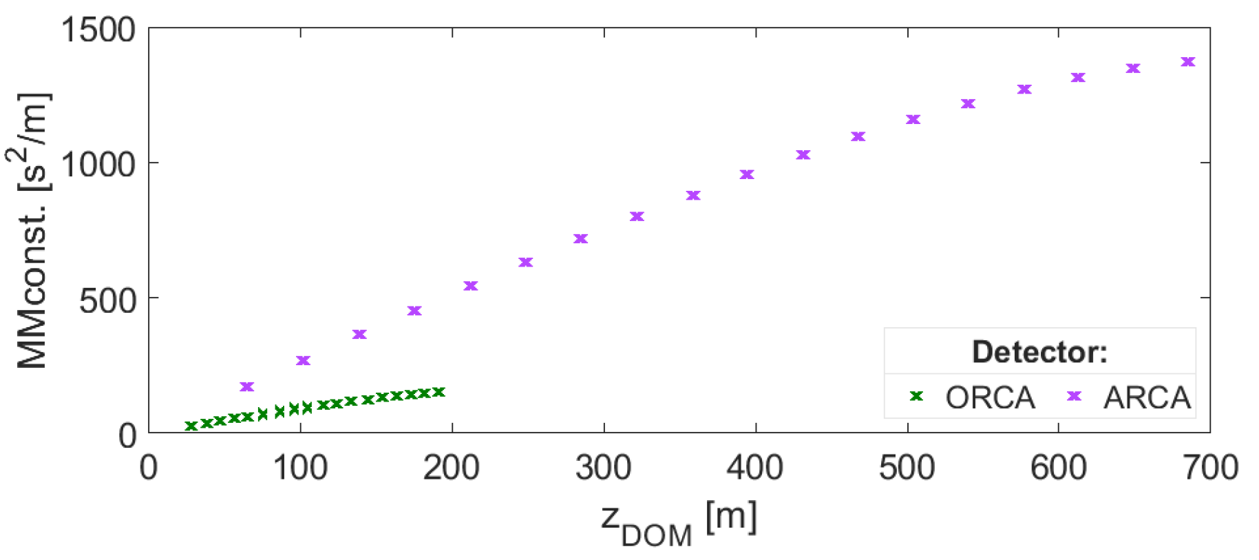
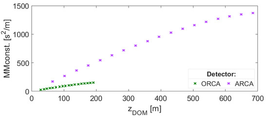
Mechanical Properties of KM3NeT to Calculate the Mechanical Constants
3. Mechanical Line Fit Model
4. Results and Conclusions
Funding
Conflicts of Interest
References
- Adrian-Martinez, S.; Ageron, M.; Aharonian, F.; Aiello, S.; Albert, A.; Ameli, F.; Anassontzis, E.; Andre, M.; Androulakis, G.; Anghinolfi, M.; et al. Letter of intent for KM3NeT 2.0. J. Phys. G Nucl. Part Phys. 2016, 43, 084001. [Google Scholar] [CrossRef]
- Ageron, M.; Aguilar, J.A.; Al Samarai, I.; Albert, A.; Ameli, F.; André, M.; Anghinolfi, M.; Anton, G.; Anvar, S.; Ardid, M.; et al. ANTARES: The first undersea neutrino telescope. Nucl. Instrum. Methods A Accel. Spectrom. Detect. Assoc. Equip. 2011, 656, 11–38. [Google Scholar] [CrossRef]
- Ardid, M. ANTARES: An underwater network of sensors for neutrino astronomy and Deep-Sea Research. Ad Hoc Sens. Wirel. Netw. 2009, 8, 21–34. [Google Scholar]
- Viola, S.; Ardid, M.; Bertin, V.; Lahmann, R.; Pellegrino, C.; Riccobene, G.; Saldaña, M.; Sapienza, P.; Simeone, F. Acoustic Positioning System for KM3NeT. In Proceedings of the 34th International Cosmic Ray Conference, The Hague, The Netherlands, 30 July–6 August 2015. [Google Scholar] [CrossRef]
- Viola, S. KM3NeT Acoustic Positioning and Detection System. EPJ Web Conf. 2019, 216, 02006. [Google Scholar] [CrossRef][Green Version]
- Riccobene, G. The Positioning System for KM3NeT. EPJ Web Conf. 2019, 207, 07005. [Google Scholar] [CrossRef][Green Version]
- Adrián-Martínez, S.; Ageron, M.; Aguilar, J.A.; Al Samarai, I.; Albert, A.; André, M.; Anghinolfi, M.; Anton, G.; Anvar, S.; Ardid, M.; et al. The Positioning System of the ANTARES Neutrino Telescope. JINST 2012, 7, T08002. [Google Scholar] [CrossRef]
- Ardid, M.; Bou-Cabo, M.; Diego-Tortosa, D.; Martínez-Mora, J.A.; Poirè, C. Underwater Acoustic Positioning System for the Monitoring of KM3NeT Optical Modules. In Proceedings of the INTER·NOISE19, Madrid, Spain, 16–19 June 2019. [Google Scholar]


| Detector | Property | Elements | ||
|---|---|---|---|---|
| ARCA | 52.86 | 659.10 | 482.66 | |
| 125.57 | 0 | 1030.05 | ||
| ORCA | 52.86 | 283.92 | 482.66 | |
| 125.57 | 0 | 1226.25 |
Publisher’s Note: MDPI stays neutral with regard to jurisdictional claims in published maps and institutional affiliations. |
© 2019 by the author. Licensee MDPI, Basel, Switzerland. This article is an open access article distributed under the terms and conditions of the Creative Commons Attribution (CC BY) license (https://creativecommons.org/licenses/by/4.0/).
Share and Cite
Tortosa, D.D., on behalf of the KM3NeT Collaboration. Mechanical Line Fit Model to Monitor the Position of KM3NeT Optical Modules from the Acoustic and Compass/Accelerometer Sensor System Data. Proceedings 2020, 42, 33. https://doi.org/10.3390/ecsa-6-06583
Tortosa DD on behalf of the KM3NeT Collaboration. Mechanical Line Fit Model to Monitor the Position of KM3NeT Optical Modules from the Acoustic and Compass/Accelerometer Sensor System Data. Proceedings. 2020; 42(1):33. https://doi.org/10.3390/ecsa-6-06583
Chicago/Turabian StyleTortosa, Dídac D. on behalf of the KM3NeT Collaboration. 2020. "Mechanical Line Fit Model to Monitor the Position of KM3NeT Optical Modules from the Acoustic and Compass/Accelerometer Sensor System Data" Proceedings 42, no. 1: 33. https://doi.org/10.3390/ecsa-6-06583
APA StyleTortosa, D. D., on behalf of the KM3NeT Collaboration. (2020). Mechanical Line Fit Model to Monitor the Position of KM3NeT Optical Modules from the Acoustic and Compass/Accelerometer Sensor System Data. Proceedings, 42(1), 33. https://doi.org/10.3390/ecsa-6-06583
