A Molecular Docking of New 9β-Halogenated Prostaglandin Analogues †
Abstract
:References
- Tănase, C.; Cocu, F.; Drăghici, C.; Căproiu, M.T.; Maganu, M. New β-halogenated prostaglandine analogues with an ester group at C-6 of the α-side chain. Rev. Chim. (Bucharest) 2016, 67, 468–475. [Google Scholar]
- Tănase, C.; Cocu, F.; Drăghici, C.; Căproiu, M.T.; Maganu, M. 9β-Halogenatedprostaglandin Compounds and Procedures for Their Preparation. Patent Request RO 129720 A2, 2013. [Google Scholar]
- Konishi, Y.; Kawamura, M. Novel 5-hetero-6-oxo-PGE Derivatives. EP 0386901 A1, 1990. [Google Scholar]
- Lipinski, C.A. Lead- and drug-like compounds: the rule-of-five revolution. Drug Discov. Today Technol. 2004, 1, 337–341. [Google Scholar] [CrossRef] [PubMed]





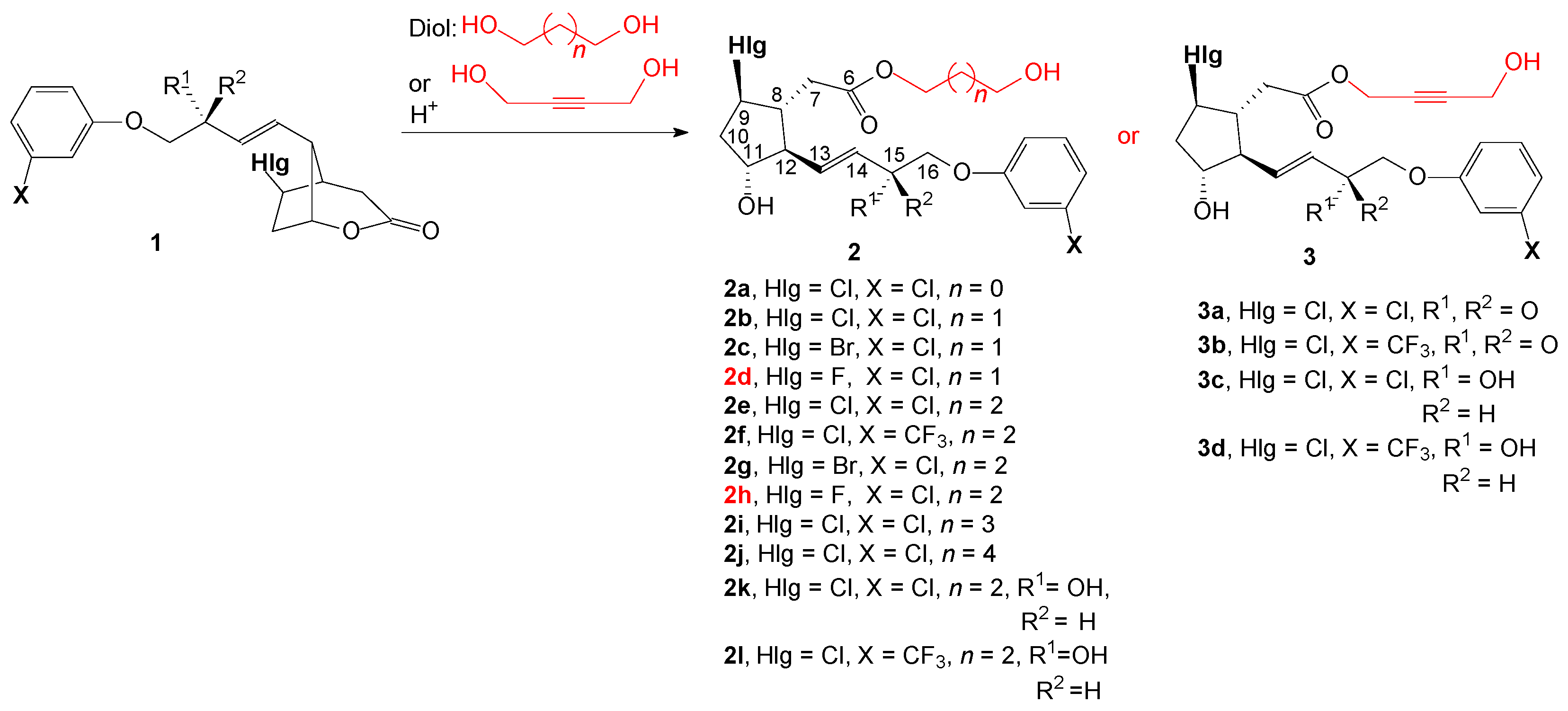
| Ligand | Score | RMSD * | Atoms No. | Weight | Flexible Bonds | Lipinski Violation | HD ** | HA *** | Log P |
|---|---|---|---|---|---|---|---|---|---|
| Omeprazole (co-crystallized) | −58.11 | 0.06 | 41 | 328.41 | 5 | 0 | 0 | 5 | 3.28 |
| Nocloprost | −71.25 | 1.32 | 64 | 400.98 | 12 | 1 | 3 | 4 | 5.38 |
| 2a | −66.93 | 1.02 | 49 | 417.28 | 10 | 0 | 2 | 6 | 2.35 |
| 2b | −73.00 | 0.83 | 52 | 431.31 | 11 | 0 | 2 | 6 | 2.71 |
| 2c | −70.67 | 1.18 | 52 | 475.76 | 11 | 0 | 2 | 6 | 2.88 |
| 2d | −74.92 | 0.78 | 52 | 414.85 | 11 | 0 | 2 | 6 | 2.46 |
| 2e | −74.67 | 0.83 | 55 | 445,33 | 12 | 0 | 2 | 6 | 3.06 |
| 2f | −74.92 | 0.43 | 58 | 478.89 | 13 | 0 | 2 | 6 | 3.32 |
| 2g | −67.73 | 1.67 | 55 | 489.78 | 12 | 0 | 2 | 6 | 3.23 |
| 2h | −73.63 | 0.92 | 55 | 428.88 | 12 | 0 | 2 | 6 | 2.82 |
| 2i | −72.29 | 1.60 | 58 | 459.36 | 13 | 0 | 2 | 6 | 3.42 |
| 2j | −71.13 | 1.36 | 61 | 473.39 | 14 | 0 | 2 | 8 | 3.78 |
| 2k | −75.03 | 0.76 | 57 | 447.35 | 12 | 0 | 3 | 6 | 2.72 |
| 2l | −77.57 | 1.25 | 60 | 480.90 | 13 | 0 | 3 | 6 | 2.97 |
| 3a | −75.09 | 1.42 | 51 | 441.30 | 11 | 0 | 2 | 6 | 2.41 |
| 3b | −82.27 | 0.63 | 54 | 474.85 | 12 | 0 | 2 | 6 | 2.66 |
| 3c | −77.47 | 0.41 | 53 | 443.32 | 11 | 0 | 3 | 6 | 2.06 |
| 3d | −84.91 | 1.28 | 56 | 476.87 | 12 | 0 | 3 | 6 | 2.32 |
© 2019 by the authors. Licensee MDPI, Basel, Switzerland. This article is an open access article distributed under the terms and conditions of the Creative Commons Attribution (CC BY) license (http://creativecommons.org/licenses/by/4.0/).
Share and Cite
Tanase, C.I.; Pintilie, L.; Mihai, E. A Molecular Docking of New 9β-Halogenated Prostaglandin Analogues. Proceedings 2019, 41, 21. https://doi.org/10.3390/ecsoc-23-06504
Tanase CI, Pintilie L, Mihai E. A Molecular Docking of New 9β-Halogenated Prostaglandin Analogues. Proceedings. 2019; 41(1):21. https://doi.org/10.3390/ecsoc-23-06504
Chicago/Turabian StyleTanase, Constantin I., Lucia Pintilie, and Elena Mihai. 2019. "A Molecular Docking of New 9β-Halogenated Prostaglandin Analogues" Proceedings 41, no. 1: 21. https://doi.org/10.3390/ecsoc-23-06504
APA StyleTanase, C. I., Pintilie, L., & Mihai, E. (2019). A Molecular Docking of New 9β-Halogenated Prostaglandin Analogues. Proceedings, 41(1), 21. https://doi.org/10.3390/ecsoc-23-06504

