The Importance of Moisture Content to the Emissivity of Ceramic Bricks †
Abstract
:1. Introduction
2. Methodology
2.1. Procedure
2.2. Materials and Equipment
3. Results
3.1. Step i): Infrared Thermography Versus Emissometer
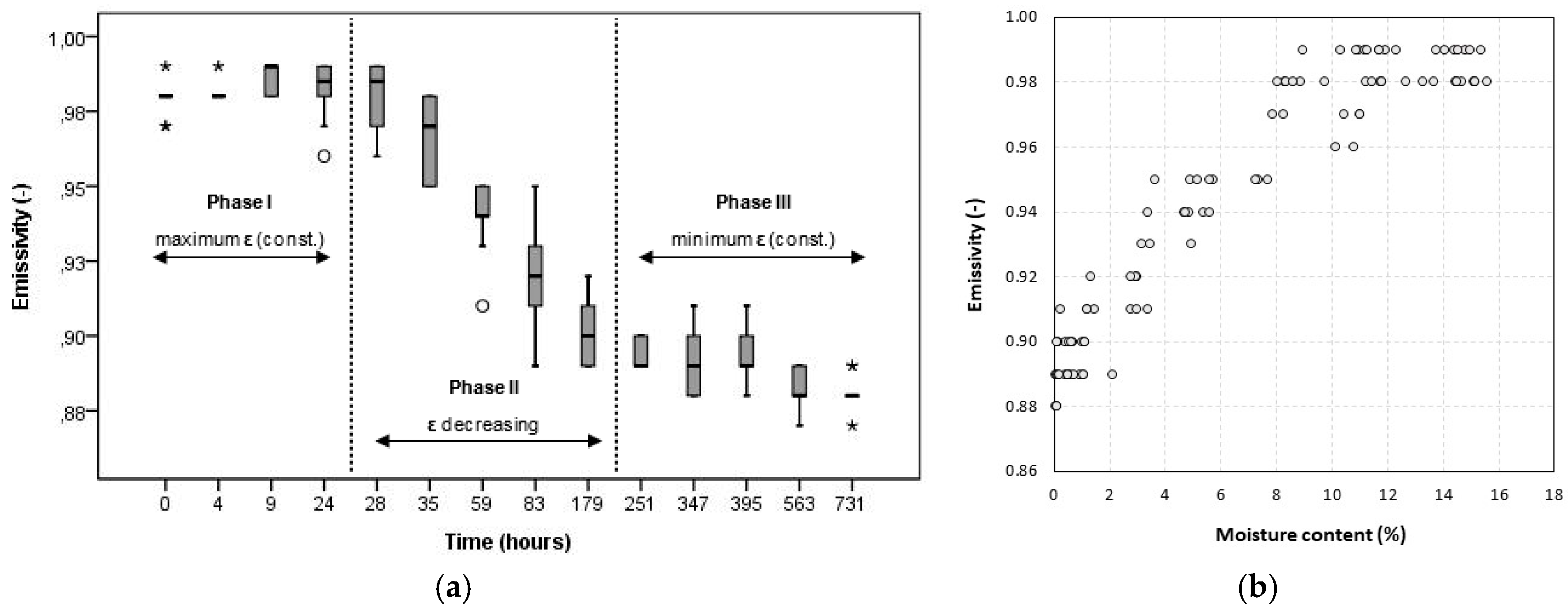
3.2. Step ii): Emissivity Versus Moisture
4. Conclusions
- The average emissivity measured by the emissometer and infrared thermography were similar (0.88 and 0.87, respectively) and in line with the values found in the literature;
- The emissometer returned more stable measurements while infrared thermography presented larger variability;
- Moisture affected the emissivity values, even for low values of moisture content;
- The average emissivity varied between 0.99 (wet specimen) and 0.88 (dry specimen). Three phases were identified during the drying process.
Author Contributions
Acknowledgments
Conflicts of Interest
References
- Balaras, C.A.; Argiriou, A.A. Infrared thermography for building diagnostics. Energy Build. 2002, 34, 171–183. [Google Scholar] [CrossRef]
- Asdrubali, F.; Baldinelli, G.; Bianchi, F. A quantitative methodology to evaluate thermal bridges in buildings. Appl. Energy 2012, 97, 365–373. [Google Scholar] [CrossRef]
- Ocaña, S.; Guerrero, I.; Requena, I. Thermographic survey of two rural buildings in Spain. Energy Build. 2004, 36, 515–523. [Google Scholar] [CrossRef]
- Lerma, C.; Barreira, E.; Almeida, R.M.S.F. A discussion concerning active infrared thermography in the evaluation of buildings air infiltration. Energy Build. 2018, 168, 56–66. [Google Scholar] [CrossRef]
- Avdelidis, N.P.; Moropoulou, A. Emissivity considerations in building thermography. Energy Build. 2003, 35, 663–667. [Google Scholar] [CrossRef]
- ASTM E1933-14; Standard Test Methods for Measuring and Compensating for Emissivity Using Infrared Imaging Radiometers. ASTM International: West Conshohocken, PA, USA, 2018.
- ASTM C1371-04a; Standard Test Method for Determination of Emittance of Materials Near Room Temperature Using Portable Emissometers. ASTM International: West Conshohocken, PA, USA, 2004.
- Barreira, E.; Bauer, E.; Mustelier, N.; Freitas, V.P. Measurement of materials emissivity—Influence of the procedure. In Proceedings of the Advanced Infrared Technology and Applications (AITA 2015), Pisa, Italy, 29 September–2 October 2015. [Google Scholar]
- Hart, J.M. A Practical Guide to Infrared Thermography for Building Surveys; BRE: Watford, UK, 1991. [Google Scholar]



| ρ | λ | c |
|---|---|---|
| (kg·m−3) | (W·m−1·K−1) | (J·kg−1·K−1) |
| 1800 | 0.69 | 920 |
Publisher’s Note: MDPI stays neutral with regard to jurisdictional claims in published maps and institutional affiliations. |
© 2019 by the authors. Licensee MDPI, Basel, Switzerland. This article is an open access article distributed under the terms and conditions of the Creative Commons Attribution (CC BY) license (https://creativecommons.org/licenses/by/4.0/).
Share and Cite
Barreira, E.; Almeida, R.M.S.F.; Simões, M.L.; Anhas, F. The Importance of Moisture Content to the Emissivity of Ceramic Bricks. Proceedings 2019, 27, 4. https://doi.org/10.3390/proceedings2019027004
Barreira E, Almeida RMSF, Simões ML, Anhas F. The Importance of Moisture Content to the Emissivity of Ceramic Bricks. Proceedings. 2019; 27(1):4. https://doi.org/10.3390/proceedings2019027004
Chicago/Turabian StyleBarreira, Eva, Ricardo M.S.F. Almeida, Maria Lurdes Simões, and Francisca Anhas. 2019. "The Importance of Moisture Content to the Emissivity of Ceramic Bricks" Proceedings 27, no. 1: 4. https://doi.org/10.3390/proceedings2019027004
APA StyleBarreira, E., Almeida, R. M. S. F., Simões, M. L., & Anhas, F. (2019). The Importance of Moisture Content to the Emissivity of Ceramic Bricks. Proceedings, 27(1), 4. https://doi.org/10.3390/proceedings2019027004

