A New Experimental Test for the Characterisation of Masonry Shear Parameters †
Abstract
:1. Introduction
2. Materials and Methods
2.1. Test Set-Up Design
2.2. First Trial Test
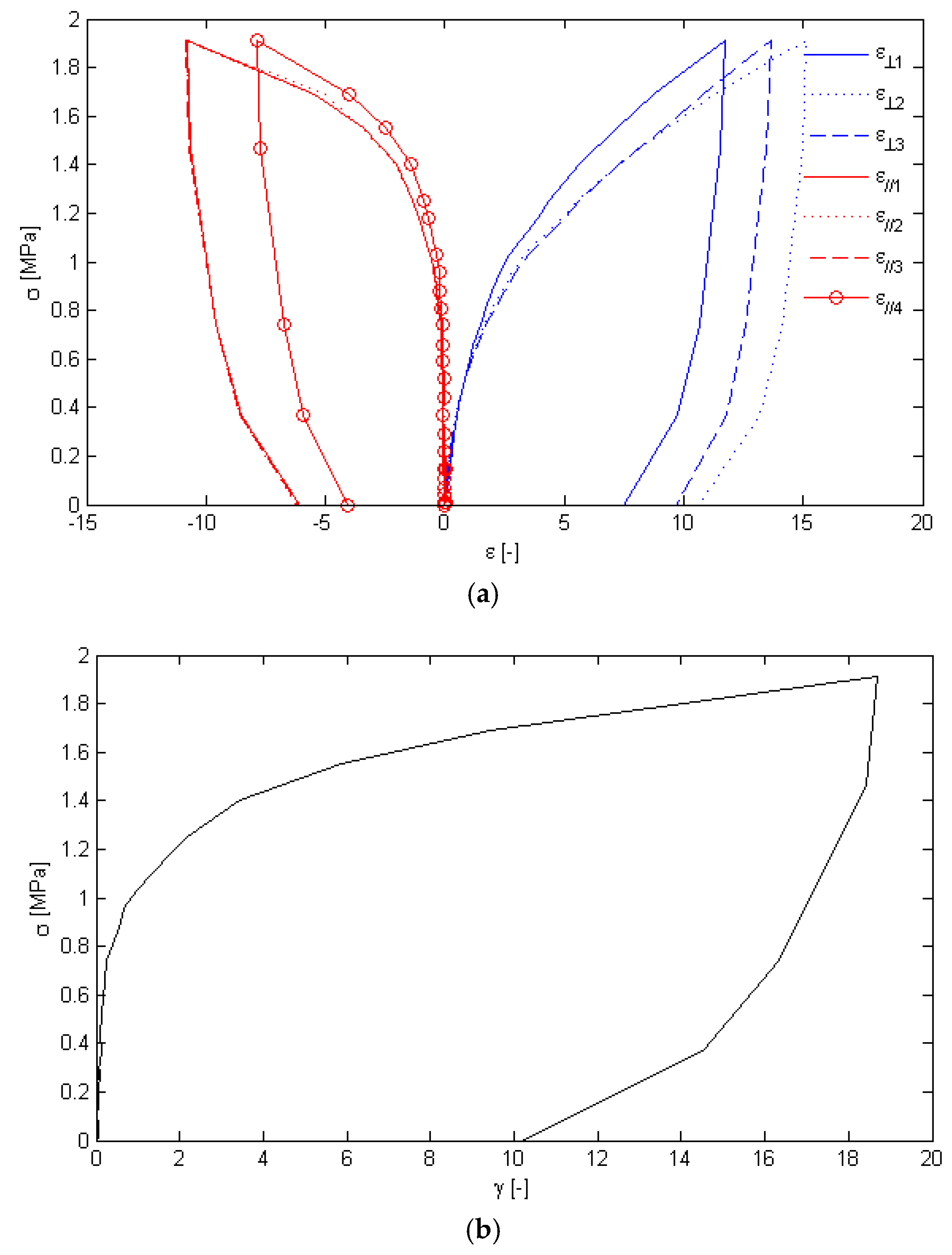
3. Results
4. Conclusions
- A special frame was designed and built to guide the creation of the slots and the placement of measuring instruments. Moreover, a special data acquisition system to log real-time data has been developed, and monitoring of the specimen using acoustic emission technique and digital image correlation is planned.
- Further numerical analyses are being executed in order to have a better comprehension of the sample behaviour and correlate in situ results with shear strength and modulus.
Author Contributions
Funding
Acknowledgments
Conflicts of Interest
References
- Atkinson, R.H.; Amadei, B.P.; Saeb, S.; Sture, S. Response of masonry bed joins in direct shear. J. Struct. Eng. 1989, 115, 2276–2296. [Google Scholar] [CrossRef]
- ASTM International. E519/E519M-15 Standard Test Method for Diagonal Tension (Shear) in Masonry Assemblages; ASTM International: West Conshohocken, PA, USA, 2015. [Google Scholar]
- Turnsek, V.; Sheppard, P.F. The shear and flexural resistance of masonry walls. In Proceedings of the Research conference on Earthquake Engineering, Skopje, Macedonia, 8–13 September 1980; pp. 517–573. [Google Scholar]
- Brignola, A.; Frumento, S.; Lagomarsino, S.; Podesta, S. Identification of shear parameters of masonry panels through the in-situ diagonal compression test. Int. J. Arch. Herit. 2008, 3, 52–73. [Google Scholar] [CrossRef]
- Foppoli, D.; Pulcini, A. A New Method to Test Masonry Shear Characteristics Thought Flat Jack (FJ-SCT Method). In Proceedings of the 19th World Conference on Non Destructive Testing, Munich, Germany, 13–17 June 2016. [Google Scholar]
- Caliò, I. La prova di scorrimento con martinetto piatto. In Proceedings of the XIV ANIDIS (Italian Nacional Association of Earthquake Engineering); Italian Nacional Association of Earthquake Engineering: Matera, Italy, 2011; p. 157. [Google Scholar]
- Jurina, L. La caratterizzazione meccanica delle murature parte seconda: Martinetti piatti. In Proceedings of the International Conference CIAS, Nicosia, Cipro; 2007; pp. 133–150. Available online: https://re.public.polimi.it/handle/11311/247406?mode=full.23 (accessed on 26 July 2018).
- Gambirasio, L.; Roberti, G.M.; Rizzi, E. Numerical simulations of flat-jack test set-ups for the local shear characterisation of masonry panels. Int. J. Mason. Res. Innov. 2016, 1, 306–329. [Google Scholar] [CrossRef]
- RILEM TC 177-MDT. Masonry durability and on site testing D.5. In situ stress-strain behavior test based on the flat-jack. Mater. Struct. 2004, 37, 497–501. [Google Scholar]
- ASTM International. C1197-14a Standard Test Method for In Situ Measurement of Masonry Deformability Properties Using the Flat jack Method; ASTM International: West Conshohocken, PA, USA, 2014. [Google Scholar]




Publisher’s Note: MDPI stays neutral with regard to jurisdictional claims in published maps and institutional affiliations. |
© 2018 by the authors. Licensee MDPI, Basel, Switzerland. This article is an open access article distributed under the terms and conditions of the Creative Commons Attribution (CC BY) license (https://creativecommons.org/licenses/by/4.0/).
Share and Cite
Viale, N.; Ventura, G. A New Experimental Test for the Characterisation of Masonry Shear Parameters. Proceedings 2018, 2, 464. https://doi.org/10.3390/ICEM18-05369
Viale N, Ventura G. A New Experimental Test for the Characterisation of Masonry Shear Parameters. Proceedings. 2018; 2(8):464. https://doi.org/10.3390/ICEM18-05369
Chicago/Turabian StyleViale, Nicola, and Giulio Ventura. 2018. "A New Experimental Test for the Characterisation of Masonry Shear Parameters" Proceedings 2, no. 8: 464. https://doi.org/10.3390/ICEM18-05369
APA StyleViale, N., & Ventura, G. (2018). A New Experimental Test for the Characterisation of Masonry Shear Parameters. Proceedings, 2(8), 464. https://doi.org/10.3390/ICEM18-05369

