Highly Sensitive Surface Acoustic Wave Magnetic Field Sensor Using Multilayered TbCo2/FeCo Thin Film †
Abstract
:1. Introduction
2. Device Fabrication
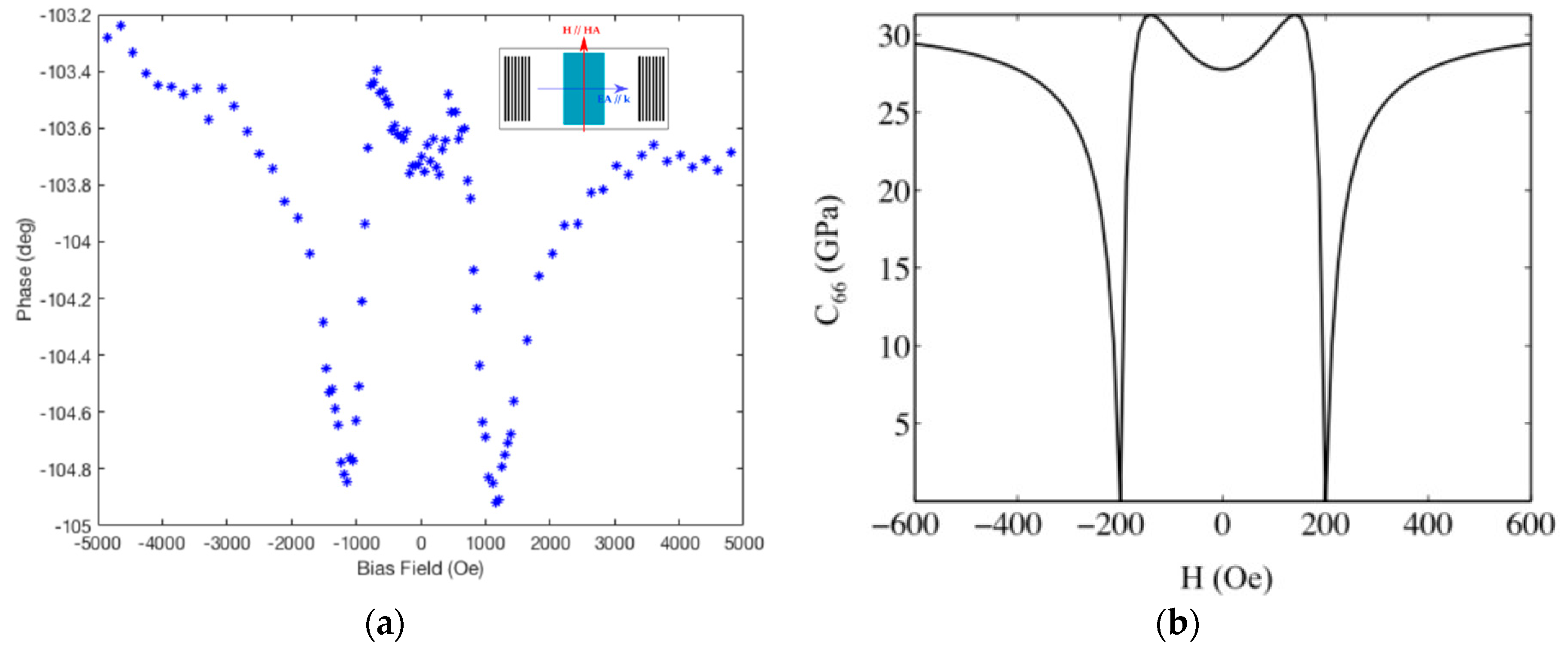
3. Characterization
4. Conclusions
Author Contributions
Acknowledgments
Conflicts of Interest
References
- Zabel, S.; Reermann, J.; Fichtner, S.; Kirchhof, C.; Quandt, E.; Wagner, B.; Schmidt, G.; Faupel, F. Multimode delta-E effect magnetic field sensors with adapted electrodes. Appl. Phys. Lett. 2016, 108, 222401. [Google Scholar] [CrossRef]
- Kittmann, A.; Durdaut, P.; Zabel, S.; Reermann, J.; Schmalz, J.; Spetzler, B.; Meyners, D.; Sun, N.X.; McCord, J.; Gerken, M.; et al. Wide Band Low Noise Love Wave Magnetic Field Sensor System. Sci. Rep. 2018, 8, 278. [Google Scholar] [CrossRef] [PubMed]
- Tiercelin, N.; Talbi, A.; Preobrazhensky, V.; Pernod, P.; Mortet, V.; Haenen, K.; Soltani, A. Magnetoelectric effect near spin reorientation transition in giant magnetostrictive-aluminum nitride thin film structure. Appl. Phys. Lett. 2008, 93, 162902. [Google Scholar] [CrossRef]
- Zhou, H.; Talbi, A.; Tiercelin, N.; Matar, O.B. Multilayer magnetostrictive structure based surface acoustic wave devices Appl. Phys. Lett. 2014, 104, 114101. [Google Scholar]
- Matar, O.B.; Gasmi, N.; Zhou, H.; Goueygou, M.; Talbi, A. Legendre and Laguerre polynomial approach for modeling of wave propagation in layered magneto-electro-elastic media. J. Acoust. Soc. Am. 2013, 133, 1415–1424. [Google Scholar] [CrossRef] [PubMed]
- Zhou, H.; Talbi, A.; Tiercelin, N.; Matar, O.B. Theoretical and Experimental Study of Multilayer Piezo-magnetic Structure based Surface Acoustic Wave Devices for High Sensitivity Magnetic Sensor. In Proceedings of the 2013 Joint UFFC, EFTF and PFM Symposium, Prague, Czech Republic, 21–25 July 2013. [Google Scholar]




Publisher’s Note: MDPI stays neutral with regard to jurisdictional claims in published maps and institutional affiliations. |
© 2018 by the authors. Licensee MDPI, Basel, Switzerland. This article is an open access article distributed under the terms and conditions of the Creative Commons Attribution (CC BY) license (https://creativecommons.org/licenses/by/4.0/).
Share and Cite
Mazzamurro, A.; Talbi, A.; Dusch, Y.; Elmazria, O.; Pernod, P.; Matar, O.B.; Tiercelin, N. Highly Sensitive Surface Acoustic Wave Magnetic Field Sensor Using Multilayered TbCo2/FeCo Thin Film. Proceedings 2018, 2, 902. https://doi.org/10.3390/proceedings2130902
Mazzamurro A, Talbi A, Dusch Y, Elmazria O, Pernod P, Matar OB, Tiercelin N. Highly Sensitive Surface Acoustic Wave Magnetic Field Sensor Using Multilayered TbCo2/FeCo Thin Film. Proceedings. 2018; 2(13):902. https://doi.org/10.3390/proceedings2130902
Chicago/Turabian StyleMazzamurro, Aurelien, Abdelkrim Talbi, Yannick Dusch, Omar Elmazria, Philippe Pernod, Olivier Bou Matar, and Nicolas Tiercelin. 2018. "Highly Sensitive Surface Acoustic Wave Magnetic Field Sensor Using Multilayered TbCo2/FeCo Thin Film" Proceedings 2, no. 13: 902. https://doi.org/10.3390/proceedings2130902
APA StyleMazzamurro, A., Talbi, A., Dusch, Y., Elmazria, O., Pernod, P., Matar, O. B., & Tiercelin, N. (2018). Highly Sensitive Surface Acoustic Wave Magnetic Field Sensor Using Multilayered TbCo2/FeCo Thin Film. Proceedings, 2(13), 902. https://doi.org/10.3390/proceedings2130902

