MEMS Non-Absorbing Electromagnetic Power Sensor Employing the Effect of Radiation Pressure †
Abstract
1. Introduction
2. Sensor Design and Characterization
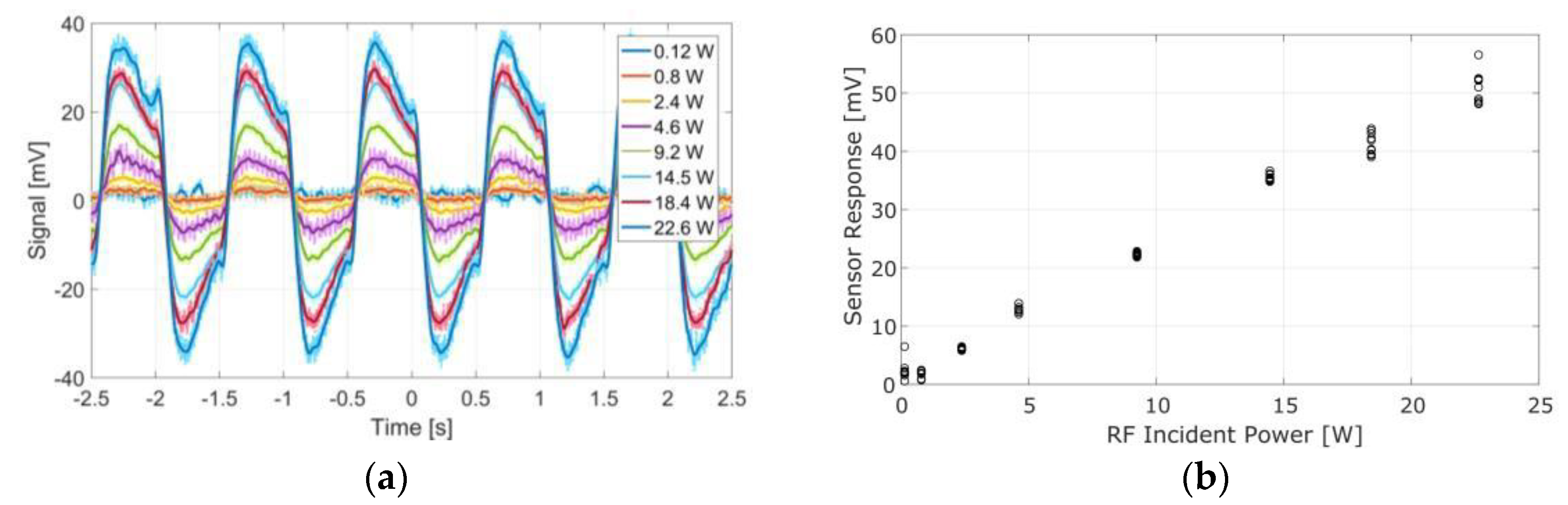
3. Microwave Power Experiment
4. Conclusions
References
- Williams, P.A.; Hadler, J.A.; Cromer, C.; West, J.; Li, X.; Lehman, J.H. Flowing-water optical power meter for primary-standard, multi-kilowatt laser power measurements. Metrologia 2018, 55, 427–436. [Google Scholar] [CrossRef]
- Spidell, M.; Hadler, J.A.; Stephens, M.; Williams, P.; Lehman, J.H. Geometric contributions to chopper wheel optical attenuation and uncertainty. Metrologia 2017, 54, L19–L25. [Google Scholar] [CrossRef][Green Version]
- Williams, P.; Hadler, J.A.; Maring, F.C.; Lee, R.; Rogers, K.A.; Simonds, B.J.; Spidell, M.T.; Feldman, A.D.; Lehman, J.H. Portable, high-accuracy, non-absorbing laser power measurement at kilowatt levels by means of radiation pressure. Opt. Express 2017, 25, 4382–4392. [Google Scholar] [CrossRef] [PubMed]
- Nichols, E.F.; Hull, G.F. A7 preliminary communication on the pressure of heat and light radiation. Phys. Rev. Ser. I 1901, 13, 307–320. [Google Scholar]
- Lebedev, P.N. Experimental examination of light pressure. Ann. Phys. 1901, 6, 1–26. [Google Scholar]
- Cullen, A.L. Absolute power measurement at microwave frequencies. Proc. IEEE 1952, 92, 100–111. [Google Scholar]
- Ma, D.; Garrett, J.L.; Munday, J.N. Quantitative measurement of radiation pressure on microcantilever in ambient environmnent. Appl. Phys. Lett. 2015, 106, 091107. [Google Scholar] [CrossRef]
- Agatsuma, K.; Friedrich, D.; Ballmer, S.; DeSalvo, G.; Sakata, S. Nishida, E. Kawamura, S. Precise measurement of laser power using an optomechanical system. Opt. Express 2014, 22, 2013–2030. [Google Scholar] [CrossRef] [PubMed]
- Ryger, I.; Artusio-Glimpse, A.B.; Williams, P.; Tomlin, N.; Stephens, M.; Rogers, K.; Spidell, M.; Lehman, J. , Micromachined force scale for optical power measurement by radiation pressure sensing. IEEE Sens. J. 2018, 18, 7941–7948. [Google Scholar] [CrossRef]
- Peña-Arellano, F.E.; Speake, C.C. Mirror tilt immunity interferometry with a cat’s eye retroreflector. Appl. Opt. 2011, 50, 981–991. [Google Scholar] [CrossRef] [PubMed]



Publisher’s Note: MDPI stays neutral with regard to jurisdictional claims in published maps and institutional affiliations. |
© 2018 by the authors. Licensee MDPI, Basel, Switzerland. This article is an open access article distributed under the terms and conditions of the Creative Commons Attribution (CC BY) license (https://creativecommons.org/licenses/by/4.0/).
Share and Cite
Ryger, I.; Artusio-Glimpse, A.; Williams, P.; Shaw, G.; Simons, M.; Holloway, C.; Lehman, J. MEMS Non-Absorbing Electromagnetic Power Sensor Employing the Effect of Radiation Pressure. Proceedings 2018, 2, 767. https://doi.org/10.3390/proceedings2130767
Ryger I, Artusio-Glimpse A, Williams P, Shaw G, Simons M, Holloway C, Lehman J. MEMS Non-Absorbing Electromagnetic Power Sensor Employing the Effect of Radiation Pressure. Proceedings. 2018; 2(13):767. https://doi.org/10.3390/proceedings2130767
Chicago/Turabian StyleRyger, Ivan, Alexandra Artusio-Glimpse, Paul Williams, Gordon Shaw, Matthew Simons, Christopher Holloway, and John Lehman. 2018. "MEMS Non-Absorbing Electromagnetic Power Sensor Employing the Effect of Radiation Pressure" Proceedings 2, no. 13: 767. https://doi.org/10.3390/proceedings2130767
APA StyleRyger, I., Artusio-Glimpse, A., Williams, P., Shaw, G., Simons, M., Holloway, C., & Lehman, J. (2018). MEMS Non-Absorbing Electromagnetic Power Sensor Employing the Effect of Radiation Pressure. Proceedings, 2(13), 767. https://doi.org/10.3390/proceedings2130767
