Next Article in Journal
Preface: Proceedings of the 8th International Conference ISMO’19—Innovations-Sustainability-Modernity-Openness
Previous Article in Journal
Greenery Planning for Improvement of Urban Air Quality—A Review
 
 
Font Type:
Arial Georgia Verdana
Font Size:
Aa Aa Aa
Line Spacing:
Column Width:
Background:
Proceeding Paper

Two-Qubits in a Large-S Environment  †

by
Eliana Fiorelli
1,2,
Alessandro Cuccoli
3,4 and
Paola Verrucchi
3,4,5,*
1
School of Physics and Astronomy, University of Nottingham, Nottingham NG7 2RD, UK
2
Centre for the Mathematics and Theoretical Physics of Quantum Non-equilibrium Systems, University of Nottingham, Nottingham NG7 2RD, UK
3
Dipartimento di Fisica e Astronomia, Università di Firenze, I-50019 Sesto Fiorentino (FI), Italy
4
INFN, Sezione di Firenze, I-50019 Sesto Fiorentino (FI), Italy
5
ISC-CNR, at Dipartimento di Fisica, Università di Firenze, I-50019 Sesto Fiorentino (FI), Italy
*
Author to whom correspondence should be addressed.
Presented at the 11th Italian Quantum Information Science conference (IQIS2018), Catania, Italy, 17–20 September 2018.
Proceedings 2019, 12(1), 10; https://doi.org/10.3390/proceedings2019012010
Published: 13 June 2019
(This article belongs to the Proceedings of 11th Italian Quantum Information Science conference (IQIS2018))

Abstract

:
We analytically express the loss of entanglement between the components of a quantum device due to the generation of quantum correlations with its environment, and show that such loss diminishes when the latter is macroscopic and displays a semi-classical behaviour. We model the problem as a device made of a couple of qubits with a magnetic environment: this choice allows us to implement the above condition of semi-classical macroscopicity in terms of a large-S condition, according to the well known equivalence between classical and S limit. A possible strategy for protecting internal entanglement exploiting the mechanism of domain-formation typical of critical dynamics is also suggested.

1. Introduction

One of the most relevant issues in the design of quantum devices is to understand how their internal quantum components interface with the external macroscopic apparatus that allows us to control, and ultimately make use of, these extraordinary tools. In fact, we know that entanglement between components (hereafter dubbed “internal entanglement”) is key to the effective functioning of quantum devices. On the other hand, the above interface is expected to imply the dynamical generation of entanglement between the device and its environment (hereafter dubbed “external entanglement”), be it a control system, a measuring apparatus, or just a noisy surrounding. Therefore, understanding how internal and external entanglement depend on each other, and whether it is possible to protect the former by reducing the latter, is important. In this work we consider a quantum device D and the apparatus M that works as interface with the user. Although M might in principle include other physical systems, such as a thermal bath, in this work we will not take this possibility into account. In fact, in order to obtain an analytical description of how entanglement internal to D is affected by the presence of M, we further restrict ourselves to the case when D is a qubit-pair and M can be described in terms of two quantum objects with spin much larger than 1 / 2 (so as to make them different from the qubits by definition).

2. The Model and Its Entanglement Properties

We study an isolated system Ψ = D + M , with D = Q 1 + Q 2 and M = A + B , where Q 1 , 2 are qubits, i.e., quantum systems whose Hilbert spaces are two-dimensional, while A , B are such that dim H A , B = 2 S A , B + 1 , with 2 S A , B integer numbers much larger than unity. Overall it is dim H D = 4 , dim H M = ( 2 S A + 1 ) ( 2 S B + 1 ) , and dim H Ψ = 4 ( 2 S A + 1 ) ( 2 S B + 1 ) . In what follows the qubits will be described by the Pauli operators σ ^ i such that σ ^ i λ , σ ^ j μ = i 2 ϵ λ μ ν σ ^ i ν δ i j , with λ ( μ , ν ) = x , y , z , and i ( j ) = 1 , 2 . As for A and B, they will be represented in terms of spin operators S ^ * such that S ^ * λ , S ^ # μ = i ϵ λ μ ν S ^ * ν δ * # , with | S ^ * | 2 = S * ( S * + 1 ) , and * ( # ) = A , B . The total system Ψ is assumed isolated, and hence in a pure state | Ψ at all time. The device is prepared in a state featuring some internal entanglement, meaning that Q 1 and Q 2 are entangled. On the other hand, we take S A and S B independent from each other, and separately coupled with D, i.e., with Q 1 and Q 2 , via an interaction upon which we do not make assumptions.
In this setting, the state | Ψ at whatever time after the interaction starts can be written as
| Ψ = d = 1 4 α = 1 2 S A + 1 β = 1 2 S B + 1 g d α l d β d α β ,
where { d } H D , { α } H A and { β } H B are orthonormal bases for the Hilbert spaces of D, A, and B, respectively. The complex coefficients { g d α } and { l d β } satisfy d α β | g d α l d β | 2 = 1 , due to the normalization of | Ψ . The form (1) ensures that the state of M is separable [1], meaning that there is no entanglement between S 1 and S 2 . For the sake of a lighter notation and without loss of generality, we set S A = S B = S .
Aim of the following analysis is to understand how the internal entanglement depends on the spin-values S, particularly when the condition of large-S is enforced on both A and B. To this respect, we remind that a spin-S system exhibits a classical-like behaviour when S [2], which implies the vanishing of any sort of quantum correlations, including entanglement, with other systems; we hence expect M to disentangle from D when S increases. In order to check whether this process can effectively protect the internal entanglement we proceed as follows.
We first conjecture that the coefficients entering the state (1) have the following form in the large-S limit
g d α l d β = 1 N ( S ) c d ( 1 + x d α ( S ) ) ( 1 + y d β ( S ) ) ,
where x d α ( S ) and y d β ( S ) are decreasing functions of S, d , α , β , such that
lim S x d α ( S ) = lim S y d β ( S ) = 0 , d , α , β ,
while N ( S ) is the normalization factor that goes to 1 in the large-S limit. Moreover, in order to make our analytical results more readable, we restrict ourselves to the case when the qubit pair is confined to the two-dimensional Hilbert subspace generated by two of the four states { | d } , namely | d = 3 = | 00 and | d = 4 = | 11 (we choose the indexes 3 and 4 to avoid confusion with the qubit labels, 1 and 2).
We can now determine the explicit expression for the concurrence C Q 1 Q 2 relative to the state ρ D = Tr M | Ψ Ψ | , which is a proper measure [3] of the internal entanglement, i.e., the one between Q 1 and Q 2 . Notice that the concurrence can be here used to study the internal entanglement because D is made of a qubit-pair, i.e., the only system for which the concurrence relative to a mixed state is defined.
Referring to the state (1), using the form (2) with d = 3 , 4 only, and understanding the S dependence, we finally find
C Q 1 Q 2 = max 0 , 2 | c 3 c 4 | N 2 α ( 1 + x 3 α ) ( 1 + x 4 α * ) β ( 1 + y 3 β ) ( 1 + y 4 β * ) .
Another useful entanglement measure that we take into consideration is the one-tangle τ Q , which quantifies the entanglement between a qubit and whatever else determines its state ρ Q , according to τ Q = 4 det ρ Q [4]. In our setting, we use it to evaluate how much entanglement one of the two qubits of D shares with the system made of M and the other qubit. Its explicit form reads
τ Q 1 = 4 | c 3 c 4 | 2 N 4 α | 1 + x 3 α | 2 α | 1 + x 4 α | 2 β | 1 + y 3 β | 2 β | 1 + y 4 β | 2 = τ Q 2 ,
where the last equation follows from the symmetry of the setting w.r.t. to the swap Q 1 Q 2 . It is important to notice that while the concurrence C Q 1 Q 2 quantifies just the useful internal entanglement that allows the device D to function efficiently, the one tangle τ Q 1 incorporates some useless external entanglement, and comparing the twos can help quantifying the detrimental effect of M upon the qubit-pair entanglement, as further commented upon in the concluding section.
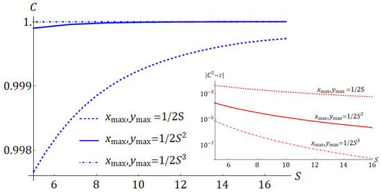
In order to evaluate C Q 1 Q 2 and τ Q 1 from Equations (4) and (5) one has to choose the coefficients { x d α } , and { y d β } . In order to keep our analysis as general as possible, for each value of S, we have repeated the calculation of both quantities for 200 times, each time using a different set of coefficients, { x 3 α , x 4 α , y 3 β , y 4 β } randomly generated according to x i α ( 0 , x max ] and y i , β ( 0 , y max ] , i = 3 , 4 , α , β . The average of the 200 values thus obtained for C Q 1 Q 2 , and τ Q 1 , is then taken as the, respective, proposed result. In fact, reminding the S-dependence that we have understood in the above coefficients, we have further enforced the condition (3) by taking x max = 1 2 S n , with n = 1 , 2 , 3 , and the same for y max . As for c 3 and c 4 we have put them both equal to 1 / 2 .
In Figure 1 we show C Q 1 Q 2 as a function of S, and n = 1 , 2 , 3 . We see that, even in the worse case, n = 1 , the internal entanglement increases with S. In order to check whether a larger internal entanglement can be actually due to a reduction of the external one, in the inset of Figure 1 we show the difference | C Q 1 Q 2 2 τ Q 1 | , that provides an estimate of the internal-entanglement squandering due to the onset of quantum correlations between D and M. It is clearly seen, both for n = 1 and 2, that a large value of S prevents the above onset, resulting in an effective protection of internal entanglement.

3. Discussion

In the above section we have introduced the idea that taking a large value of S might help protecting the internal entanglement, as it induces a classical-like behaviour for M, and hence a net reduction of its quantum correlations with D. However, this argument only works if one assumes that some constraint upon the entanglement between, say, Q 1 , and other quantum systems holds. In fact, one such constraint exists and usually goes under the name of “monogamy of entanglement”, analytically expressed by inequalities taking different forms depending on the specific case considered. In the case of N qubits in a pure state, it is expressed by
i = 2 N C Q 1 Q i 2 τ Q 1 R 1 ,
where τ Q 1 R is the one-tangle between Q 1 and the other N 1 qubits. Although the above expression does not fit our situation, as we are not dealing with N qubit, we can use it as follows (we still take S A = S B for the sake of simplicity).
In order for the physical objects that model M to be described as spin-S systems they must be made of a set of qubits { q i * } , with i = 1 , . . . N 2 S and * = A , B , coupled amongst themselves in a way such that the total spin of the set keeps the constant value S. In our setting, this translates Equation (6) into
C Q 1 Q 2 2 + i = 1 N C Q 1 q i A 2 + i = 1 N C Q 1 q i B 2 τ Q 1 1 .
Although we cannot limit the sums entering the above equation by using Equation (6) again, as this exclusively hold for qubits in a pure state while Q 1 + { q i A } is in a mixed one, yet we can understand that one possibility for Equation (7) to stay meaningful as S , i.e., N , is that both sums it contains do vanish. In fact, this can be analytically demonstrated by enforcing the condition (3) into Equations (4) and (5) via neglecting all powers of order 2 and higher in the coefficients { x d α } and { y d β } . This leads to
C Q 1 Q 2 2 4 ( 2 S + 1 ) 2 | c 3 c 4 | 2 N α , β 1 + 2 Re x ¯ 1 α + x ¯ 4 α + y ¯ 1 β + y ¯ 4 β τ Q 1 ,
which implies that Q 1 is entangled almost exclusively with Q 2 if S as M becomes macroscopic, consistently with the idea that large-S systems do not share quantum correlations [5].
This work confirms that a good strategy for protecting the internal entanglement of a quantum device D is that of making its control/reading apparatus M to feature a semi-classical behaviour, by this meaning that it still admits a quantum-mechanical description, so as to keep talking with the device, but with genuinely quantum properties, such as entanglement, already on the verge of depletion. In fact, in order to test this strategy, we are specifically considering the case when M is a many-body spin-system dynamically driven near a quantum critical point, where the mechanism of domain-formation might indeed induce a semi-classical behaviour as described above. Related work is in progress.

Acknowledgments

This work is done in the framework of the Convenzione operativa between the Institute for Complex Systems of the Italian National Research Council (CNR), and the Physics and Astronomy Department of the University of Florence. We acknowledge financial support from the University of Florence in the framework of the University Strategic Project Program 2015 (project BRS00215).

References

  1. Lewenstein, M.; Bruß, D.; Cirac, J.I.; Kraus, B.; Kuś, M.; Samsonowicz, J.; Sanpera, A.; Tarrach, R. Separability and distillability in composite quantum systems—A primer. J. Mod. Opt. 2000, 47, 2481–2499. [Google Scholar]
  2. Lieb, E.H. The classical limit of quantum spin systems. Commun. Math. Phys. 1973, 31, 327–340. [Google Scholar] [CrossRef]
  3. Wootters, W.K. Entanglement of formation of an arbitrary state of two qubits. Phys. Rev. Lett. 1998, 80, 2245–2248. [Google Scholar] [CrossRef]
  4. Coffman, V.; Kundu, J.; Wootters, W.K. Distributed entanglement. Phys. Rev. A 2000, 61, 052306. [Google Scholar] [CrossRef]
  5. Foti, C.; Cuccoli, A.; Verrucchi, P. Quantum dynamics of a macroscopic magnet operating as an environment of a mechanical oscillator. Phys. Rev. A 2016, 94, 062127. [Google Scholar] [CrossRef]
Figure 1. C Q 1 Q 2 as a function of S. In the inset | C Q 1 Q 2 2 τ Q 1 | as a function of S. Each line correspond to a specific choice of x m a x and y m a x (see text).
Figure 1. C Q 1 Q 2 as a function of S. In the inset | C Q 1 Q 2 2 τ Q 1 | as a function of S. Each line correspond to a specific choice of x m a x and y m a x (see text).
Proceedings 12 00010 g001
Publisher’s Note: MDPI stays neutral with regard to jurisdictional claims in published maps and institutional affiliations.

Share and Cite

MDPI and ACS Style

Fiorelli, E.; Cuccoli, A.; Verrucchi, P. Two-Qubits in a Large-S Environment . Proceedings 2019, 12, 10. https://doi.org/10.3390/proceedings2019012010

AMA Style

Fiorelli E, Cuccoli A, Verrucchi P. Two-Qubits in a Large-S Environment . Proceedings. 2019; 12(1):10. https://doi.org/10.3390/proceedings2019012010

Chicago/Turabian Style

Fiorelli, Eliana, Alessandro Cuccoli, and Paola Verrucchi. 2019. "Two-Qubits in a Large-S Environment " Proceedings 12, no. 1: 10. https://doi.org/10.3390/proceedings2019012010

APA Style

Fiorelli, E., Cuccoli, A., & Verrucchi, P. (2019). Two-Qubits in a Large-S Environment . Proceedings, 12(1), 10. https://doi.org/10.3390/proceedings2019012010

Article Metrics

Back to TopTop