Anisotropic Hydrodynamics for Au-Au Collisions at 200 GeV †
Abstract
:1. Introduction
2. 3+1d Quasiparticle Anisotropic Hydrodynamics
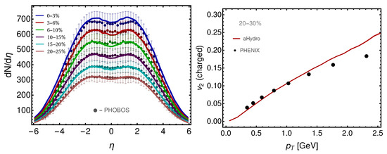
3. Phenomenological Results
4. Conclusions
Author Contributions
Funding
Acknowledgments
Conflicts of Interest
References
- Huovinen, P.; Kolb, P.F.; Heinz, U.W.; Ruuskanen, P.V.; Voloshin, S.A. Radial and elliptic flow at RHIC: further predictions. Phys. Lett. 2001, B503, 58–64. [Google Scholar] [CrossRef]
- Romatschke, P.; Romatschke, U. Viscosity Information from Relativistic Nuclear Collisions: How Perfect is the Fluid Observed at RHIC? Phys. Rev. Lett. 2007, 99, 172301. [Google Scholar] [CrossRef] [PubMed]
- Ryu, S.; Paquet, J.F.; Shen, C.; Denicol, G.S.; Schenke, B.; Jeon, S.; Gale, C. Importance of the Bulk Viscosity of QCD in Ultrarelativistic Heavy-Ion Collisions. Phys. Rev. Lett. 2015, 115, 132301. [Google Scholar] [CrossRef]
- Niemi, H.; Denicol, G.S.; Huovinen, P.; Molnár, E.; Rischke, D.H. Influence of the shear viscosity of the quark-gluon plasma on elliptic flow in ultrarelativistic heavy-ion collisions. Phys. Rev. Lett. 2011, 106, 212302. [Google Scholar] [CrossRef] [PubMed]
- Florkowski, W.; Ryblewski, R. Highly-anisotropic and strongly-dissipative hydrodynamics for early stages of relativistic heavy-ion collisions. Phys. Rev. 2011, C83, 034907. [Google Scholar] [CrossRef]
- Martinez, M.; Strickland, M. Dissipative Dynamics of Highly Anisotropic Systems. Nucl. Phys. 2010, A848, 183–197. [Google Scholar] [CrossRef]
- Martinez, M.; Ryblewski, R.; Strickland, M. Boost-Invariant (2+1)-dimensional Anisotropic Hydrodynamics. Phys. Rev. 2012, C85, 064913. [Google Scholar] [CrossRef]
- Ryblewski, R.; Florkowski, W. Highly-anisotropic hydrodynamics in 3+1 space-time dimensions. Phys. Rev. 2012, C85, 064901. [Google Scholar] [CrossRef]
- Bazow, D.; Heinz, U.W.; Strickland, M. Second-order (2+1)-dimensional anisotropic hydrodynamics. Phys. Rev. 2014, C90, 054910. [Google Scholar] [CrossRef]
- Nopoush, M.; Ryblewski, R.; Strickland, M. Bulk viscous evolution within anisotropic hydrodynamics. Phys. Rev. 2014, C90, 014908. [Google Scholar] [CrossRef]
- Nopoush, M.; Ryblewski, R.; Strickland, M. Anisotropic hydrodynamics for conformal Gubser flow. Phys. Rev. 2015, D91, 045007. [Google Scholar] [CrossRef]
- Alqahtani, M.; Nopoush, M.; Ryblewski, R.; Strickland, M. 3+1d quasiparticle anisotropic hydrodynamics for ultrarelativistic heavy-ion collisions. Phys. Rev. Lett. 2017, 119, 042301. [Google Scholar] [CrossRef] [PubMed]
- Alqahtani, M.; Nopoush, M.; Ryblewski, R.; Strickland, M. Anisotropic hydrodynamic modeling of 2.76 TeV Pb-Pb collisions. Phys. Rev. 2017, C96, 044910. [Google Scholar] [CrossRef]
- Almaalol, D.; Alqahtani, M.; Strickland, M. Anisotropic hydrodynamic modeling of 200 GeV Au-Au collisions. arXiv 2018, arXiv:1807.04337. [Google Scholar] [CrossRef]
- Strickland, M. Anisotropic Hydrodynamics: Three lectures. Acta Phys. Polon. 2014, B45, 2355–2394. [Google Scholar] [CrossRef]
- Alqahtani, M.; Nopoush, M.; Strickland, M. Relativistic anisotropic hydrodynamics. Prog. Part. Nucl. Phys. 2018, 101, 204–248. [Google Scholar] [CrossRef]
- Alqahtani, M.; Nopoush, M.; Strickland, M. Quasiparticle equation of state for anisotropic hydrodynamics. Phys. Rev. 2015, C92, 054910. [Google Scholar] [CrossRef]
- Alqahtani, M.; Nopoush, M.; Strickland, M. Quasiparticle anisotropic hydrodynamics for central collisions. Phys. Rev. 2017, C95, 034906. [Google Scholar] [CrossRef]
- Adler, S.S.; Afanasiev, S.; Aidala, C.; Ajitanand, N.N.; Akiba, Y.; Alexander, J.; Amirikas, R.; Aphecetche, L.; Aronson, S.H.; Averbeck, R.; et al. Identified charged particle spectra and yields in Au+Au collisions at S(NN)**1/2 = 200-GeV. Phys. Rev. 2004, C69, 034909. [Google Scholar] [CrossRef]
- Alver, B.; Back, B.B.; Baker, M.D.; Ballintijn, M.; Barton, D.S.; Betts, R.R.; Bickley, A.A.; Bindel, R.; Budzanowski, A.; Busza, W.; et al. Phobos results on charged particle multiplicity and pseudorapidity distributions in Au+Au, Cu+Cu, d+Au, and p+p collisions at ultra-relativistic energies. Phys. Rev. 2011, C83, 024913. [Google Scholar] [CrossRef]
- Adare, A.; Afanasiev, S.; Aidala, C.; Ajitanand, N.N.; Akiba, Y.; Al-Bataineh, H.; Alexander, J.; Al-Jamel, A.; Aoki, K.; Aphecetche, L.; et al. Scaling properties of azimuthal anisotropy in Au+Au and Cu+Cu collisions at s(NN) = 200-GeV. Phys. Rev. Lett. 2007, 98, 162301. [Google Scholar] [CrossRef] [PubMed]


Publisher’s Note: MDPI stays neutral with regard to jurisdictional claims in published maps and institutional affiliations. |
© 2019 by the authors. Licensee MDPI, Basel, Switzerland. This article is an open access article distributed under the terms and conditions of the Creative Commons Attribution (CC BY) license (https://creativecommons.org/licenses/by/4.0/).
Share and Cite
Alqahtani, M.; Almaalol, D.; Strickland, M. Anisotropic Hydrodynamics for Au-Au Collisions at 200 GeV. Proceedings 2019, 10, 38. https://doi.org/10.3390/proceedings2019010038
Alqahtani M, Almaalol D, Strickland M. Anisotropic Hydrodynamics for Au-Au Collisions at 200 GeV. Proceedings. 2019; 10(1):38. https://doi.org/10.3390/proceedings2019010038
Chicago/Turabian StyleAlqahtani, Mubarak, Dekrayat Almaalol, and Michael Strickland. 2019. "Anisotropic Hydrodynamics for Au-Au Collisions at 200 GeV" Proceedings 10, no. 1: 38. https://doi.org/10.3390/proceedings2019010038
APA StyleAlqahtani, M., Almaalol, D., & Strickland, M. (2019). Anisotropic Hydrodynamics for Au-Au Collisions at 200 GeV. Proceedings, 10(1), 38. https://doi.org/10.3390/proceedings2019010038

