Two-Directional Operation of Bistable Latchable Micro Switch Actuated by a Single Electrode †
Abstract
:1. Introduction
2. Model
3. Experiment
3.1. Experimental Procedure & Equipment
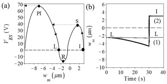
3.2. Experimental Results
4. Summary & Conclusions
Acknowledgments
Conflicts of Interest
References
- Que, L.; Udeshi, K.; Park, J.; Gianchandani, Y.B. A bi-stable electro-thermal RF switch for high power applications. In Proceedings of the 17th IEEE International Conference on Micro Electro Mechanical Systems, Maastricht MEMS 2004 Technical Digest, Maastricht, The Netherlands, 25–29 January 2004; pp. 797–800. [Google Scholar]
- Charlot, B.; Sun, W.; Yamashita, K.; Fujita, H.; Toshiyoshi, H. Bistable nanowire for micromechanical memory. J. Micromech. Microeng. 2008, 18, 045005. [Google Scholar] [CrossRef]
- Qiu, J.; Lang, J.H.; Slocum, A.H.; Weber, A.C. A bulk-micromachined bistable relay with U-shaped thermal actuators. MEMS J. 2005, 14, 1099–1109. [Google Scholar]
- Zhao, J.; Jia, J.; Wang, H.; Li, W. A novel threshold accelerometer with postbuckling structures for airbag restraint systems. IEEE Sens. J. 2007, 7, 1102. [Google Scholar] [CrossRef]
- Medina, L.; Gilat, R.; Krylov, S. Latching in bistable electrostatically actuated curved micro beams. Int. J. Eng. Sci. 2017, 110, 15–34. [Google Scholar] [CrossRef]
- Medina, L.; Gilat, R.; Ilic, B.R.; Krylov, S. Experimental dynamic trapping of electrostatically actuated bistable micro-beams. Appl. Phys. Lett. 2016, 108, 073503. [Google Scholar] [CrossRef] [PubMed]
- Krylov, S.; Ilic, B.R.; Schreiber, D.; Seretensky, S.; Craighead, H. The pull-in behavior of electrostatically actuated bistable microstructures. J. Micromech. Microeng. 2008, 18, 055026. [Google Scholar] [CrossRef]
- Zhang, W.M.; Yan, H.; Peng, Z.K.; Meng, G. Electrostatic pull-in instability in MEMS/NEMS: A review. Sens. Actuators A Phys. 2014, 214, 187–218. [Google Scholar] [CrossRef]




© 2017 by the authors. Licensee MDPI, Basel, Switzerland. This article is an open access article distributed under the terms and conditions of the Creative Commons Attribution (CC BY) license (https://creativecommons.org/licenses/by/4.0/).
Share and Cite
Medina, L.; Gilat, R.; Ilic, B.; Krylov, S. Two-Directional Operation of Bistable Latchable Micro Switch Actuated by a Single Electrode. Proceedings 2017, 1, 277. https://doi.org/10.3390/proceedings1040277
Medina L, Gilat R, Ilic B, Krylov S. Two-Directional Operation of Bistable Latchable Micro Switch Actuated by a Single Electrode. Proceedings. 2017; 1(4):277. https://doi.org/10.3390/proceedings1040277
Chicago/Turabian StyleMedina, Lior, Rivka Gilat, Bojan Ilic, and Slava Krylov. 2017. "Two-Directional Operation of Bistable Latchable Micro Switch Actuated by a Single Electrode" Proceedings 1, no. 4: 277. https://doi.org/10.3390/proceedings1040277
APA StyleMedina, L., Gilat, R., Ilic, B., & Krylov, S. (2017). Two-Directional Operation of Bistable Latchable Micro Switch Actuated by a Single Electrode. Proceedings, 1(4), 277. https://doi.org/10.3390/proceedings1040277

