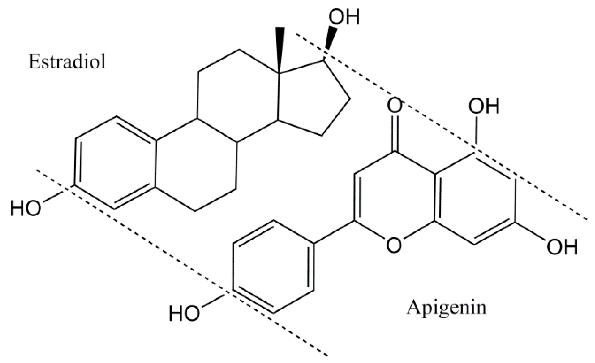
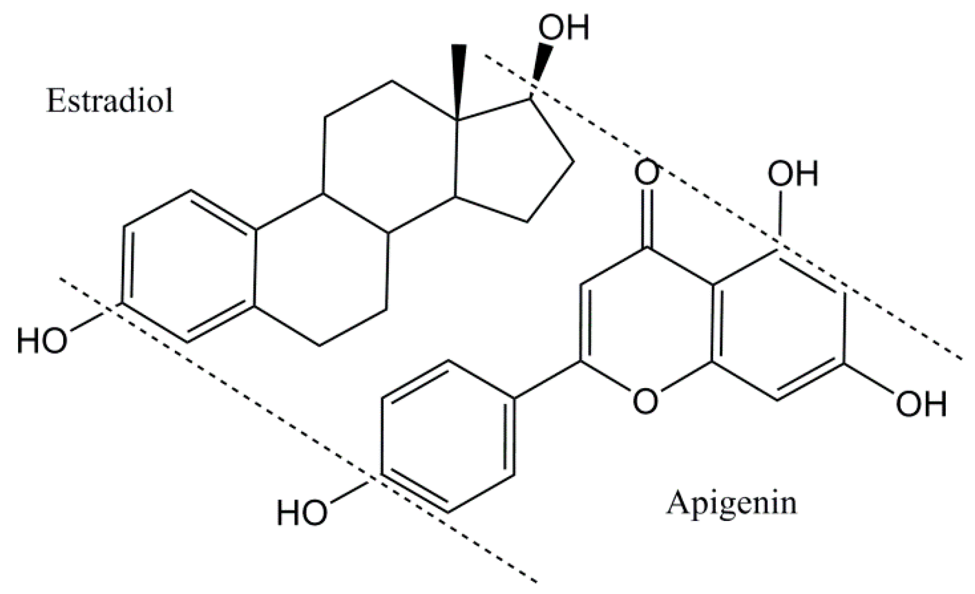
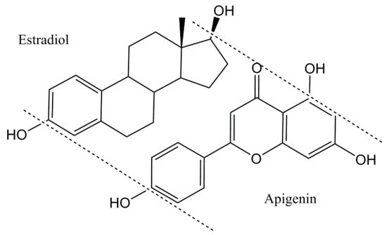
Anticancer Potential of Flavones †
Abstract
:
© 2022 by the authors. Licensee MDPI, Basel, Switzerland. This article is an open access article distributed under the terms and conditions of the Creative Commons Attribution (CC BY) license (https://creativecommons.org/licenses/by/4.0/).
Share and Cite
Arroo, R.R.J.; Şöhretoğlu, D.; Spandidos, D.A.; Androutsopoulos, V.P. Anticancer Potential of Flavones. Proceedings 2017, 1, 975. https://doi.org/10.3390/proceedings1100975
Arroo RRJ, Şöhretoğlu D, Spandidos DA, Androutsopoulos VP. Anticancer Potential of Flavones. Proceedings. 2017; 1(10):975. https://doi.org/10.3390/proceedings1100975
Chicago/Turabian StyleArroo, Randolph R. J., Didem Şöhretoğlu, Demetrios A. Spandidos, and Vasilis P. Androutsopoulos. 2017. "Anticancer Potential of Flavones" Proceedings 1, no. 10: 975. https://doi.org/10.3390/proceedings1100975
APA StyleArroo, R. R. J., Şöhretoğlu, D., Spandidos, D. A., & Androutsopoulos, V. P. (2017). Anticancer Potential of Flavones. Proceedings, 1(10), 975. https://doi.org/10.3390/proceedings1100975

