Abstract
To reveal the influence mechanism of shear creep behavior of the weak interlayer (carbonaceous mud shale) from a microscopic perspective, acoustic emission (AE) technology was introduced to conduct shear creep tests to capture micro-fracture acoustic signals and analyze the microscopic damage evolution laws. The results indicate that, as normal stress increased, shear creep strain decayed exponentially, while the steady state creep rate increased gradually. Additionally, the peak value and cumulative value of the AE ringing count rate also increased gradually. The AE b-value had a staged pattern of “fluctuation adjustment → stable increase → abrupt decline”. The sudden drop in the b-value could serve as a precursor feature of creep failure. The higher the normal stress, the earlier the sudden drop in b-value and the larger the Δb value. The damage variable was defined based on the AE ringing count rate, and a new creep damage model was constructed by combining fractional-order theory. The model can uniformly describe the creep damage law of carbonaceous mud shale under different normal stresses. The reliability of the model was verified through experimental data. The research results provide a theoretical basis for long-term stability analysis of mine slopes containing weak interlayers.
1. Introduction
In the development of metal and non-metal mines in Southwest China, weak interlayers of Permian carbonaceous mud shale are widely present in the high-step slopes of open-pit mines (shallow burial depth of 0–300 m) [,,]. As a typical soft rock, carbonaceous mud shale exhibits low mechanical strength and significant creep properties [,], making it a natural potential sliding surface for bedding slopes (Figure 1) and directly controlling the long-term stability of shallow engineering slopes. However, to make matters worse, engineering practice often ignores the influence of normal stress (i.e., the burial depth of rock layers) on the creep behavior of weak interlayers (carbonaceous mud shale), leading to frequent creep-induced landslides along these interlayers. This poses a serious threat to the safety of mining operations and transportation facilities [,,,]. Therefore, it is essential to reveal the creep deformation laws and strength attenuation characteristics of carbonaceous mud shale under different normal stresses for the stability design of mine slopes with weak interlayers, considering burial depth. This can provide a theoretical basis for safe and efficient mining operations.

Figure 1.
Schematic diagram of a landslide disaster caused by creep of the weak interlayer (carbonaceous mud shale).
Rock creep behavior refers to the phenomenon in which the deformation of rock increases with time under constant load. Liang et al. [] found that axial stress significantly affected the creep deformation of soft rock materials. Wang et al. [] demonstrated that creep deformation of soft rock under low confining pressure and low deviatoric stress was much larger than that of hard rock. Ru et al. [] revealed the creep failure mechanism of soft rock under initial confining pressure. Sawatsubashi et al. [] evaluated the impact of the creep–stress ratio on the shear creep properties of soft rock. Zhao et al. [] investigated the creep behavior of soft rock under shear loading. According to the literature, although some scholars have studied the creep behavior of soft rocks such as salt rock and shale, there is relatively little research on the creep characteristics of carbonaceous mud shale, which has unique mechanical properties. As a typical weak interlayer of rock slopes in southwestern China, carbonaceous mud shale is subjected to a complex stress environment. It not only bears the normal stress from the overlying hard rock, but also experiences comprehensive shear stress caused by factors such as the self-weight of the slope and groundwater seepage. This special stress environment makes the creep behavior of carbonaceous mud shale more complex and significantly affects accurate assessment of the long-term stability of rock slopes with this weak layer. Tsai et al. [], Wang et al. [], and Nishii et al. [] also proved that overburden pressure played a critical role in the instability of rock slopes and that the influence of overburden pressure on rock creep characteristics needed to be considered in the long-term stability evaluation of slopes. In summary, there is an urgent need to conduct research on the shear creep characteristics of carbonaceous mud shale considering the influence of normal stress.
Acoustic emission (AE) technology, as a mature non-destructive testing method, has been widely applied in rock mechanics research. Through changes in parameters such as the energy and ringing count of AE signals [,,,], the various stages of microcrack development during creep can be clearly identified. This contributes to a deep understanding of the damage evolution mechanism of rocks during the creep process. Ma et al. [] showed that AE counts were consistent with the volumetric deformation of soft rock, and that cumulative cyclic creep damage and time-dependent damage of soft rock promote each other. Li et al. [] explained the creep behavior of salt rock based on AE energy and b-value. Dong et al. [] demonstrated the AE characteristics of salt rock at different temperatures, proving the effect of temperature on the creep behavior of salt rock. Zhang et al. [] pointed out that the peak frequency of AE signals could reflect differences in the creep failure modes of shale. Li et al. [] monitored acoustic signals during the failure of mudstone and found that wet–dry cycles exacerbated microstructural damage to the material. AE technology serves as an effective means of capturing the evolution of micro-damage in rocks and has demonstrated unique advantages in analyzing the mechanical behavior of soft rock creep. Most of the existing research has focused on qualitative analysis, such as inferring crack propagation or failure status through ringing counts or energy changes. However, it is worth noting that there are still obvious deficiencies in the quantitative analysis of AE damage evolution characteristics, especially for the damage evolution law of complex lithology (such as carbonaceous mud shale) during shear creep. In addition, although AE technology has the potential to reflect the damage evolution of soft rocks, its application to creep damage models is still in the initial exploration stage, and it is urgent to supplement the research on systematically combining AE characteristic parameters with creep damage models.
This study focused on Permian carbonaceous mud shale in southwestern China and systematically revealed the influence mechanism of normal stress on the shear creep behavior of the material from a microscopic perspective. To this end, a series of multi-stage shear creep tests were conducted using AE technology to capture micro-fracture acoustic signals and analyze the microscopic damage evolution laws. Then, the damage variable was defined based on the AE ringing count rate, and a new creep damage model was constructed by combining fractional-order theory. The research findings are expected to provide theoretical support for the long-term stability analysis of mine slopes containing weak interlayers. Additionally, they will offer a reference basis for predicting the damage degree of the mechanical properties of soft rock creep in similar geological environments.
2. Experimental Methods
2.1. Samples and Experimental Instruments
On 5 January 2019, a landslide occurred at the Huangshan limestone mine in Emeishan city, Sichuan, China, with a volume of approximately 250,000 m3 []. The landslide was triggered by creep deformation of the rock mass along the weak interlayer of carbonaceous mud shale. At present, six large-scale landslides have occurred at this mine, all of which were caused by creep deformation along weak interlayers at different burial depths as the bottom sliding surface. Therefore, samples were taken from the Permian carbonaceous mud shale (Figure 2b) of the mine (Figure 2a).

Figure 2.
Preparation of carbonaceous mud shale specimens. (a) Location of collection point; (b) collection point; (c) specimens; (d) mineral composition.
The collected rocks were processed into specimens measuring 150 mm × 75 mm × 75 mm (Figure 2c) according to the standard recommended by ISRM []. The mineral composition of the specimens, as determined by X-ray diffraction (XRD) test, was mainly calcite (69%) and quartz (12%) (Figure 2d).
The test was conducted using an independently designed shear rheological experimental system (Figure 3). It mainly includes a PCI-II acoustic emission (AE) system (Figure 3 part 1), a stress loading system (Figure 3 part 2), and a creep data acquisition system (Figure 3 part 3).

Figure 3.
Shear rheological experimental system. 1—PCI-II AE system; 2—stress loading system; 3—creep data acquisition system.
2.2. Experimental Scheme
The experimental scheme is shown in Figure 4. The detailed process is as follows:

Figure 4.
Scheme of the experimental procedure.
(1) Prior to mechanical testing, it is necessary to reduce the inhomogeneity of the specimen. Therefore, a non-metallic ultrasonic tester was used for wave velocity testing to eliminate samples with significant differences.
(2) A YZW-30A rock direct shear instrument (Jinan Puye, Shandong, China) was used to carry out direct shear tests. According to the burial depth of the carbonaceous mud shale layer, the normal stresses were reasonably determined to be 0.5 MPa, 1.0 MPa, 1.5 MPa, and 2.0 MPa. Shear stress was performed at a displacement loading rate of 0.05 mm/min until failure occurred.
(3) Acoustic emission (AE) test. A PCI-II four-channel AE system from PAC (Figure 3 part 1) was used. Four AE probes were arranged on the specimen’s surface through preset holes on the front and back of the shear box. Table 1 shows the spatial distribution of the probes. A coupling agent (Vaseline) was applied to the contact surface between the probes and the specimen to ensure good contact. The model of the AE sensor was RS-2A (Beijing Softland Times Technology, Beijing, China). The operating frequency and center frequency were 50–400 KHz and 150 KHz, respectively. The AE threshold, preamplifier, sampling frequency, and sampling length were set to 35 dB, 40 dB, 1 MHz, and 2 k, respectively.

Table 1.
Coordinates of the AE probes.
(4) Graded loading shear creep test. Based on the specimen shear strength obtained from the direct shear test (Table 2) and the team’s previous research, a five-level incremental shear stress loading mode was adopted. The experimental scheme is shown in Table 2. The stress loading gradient was 10%, and the first level was 40% of the shear strength (). The experiment firstly applied the normal stress to a preset value, and after the normal stress and deformation stabilized, the first level of shear stress was applied. When each stress was maintained for at least 24 h and the deformation remained below 0.01 mm/h, the next level of shear stress could be applied until the specimen failed. The stress loading path is detailed in Figure 5. The AE system was monitored synchronously with the stress loading system.

Table 2.
Shear creep experimental scheme.

Figure 5.
Stress loading path.
3. Experimental Results and Discussion
3.1. Shear Creep Curves of Carbonaceous Mud Shale
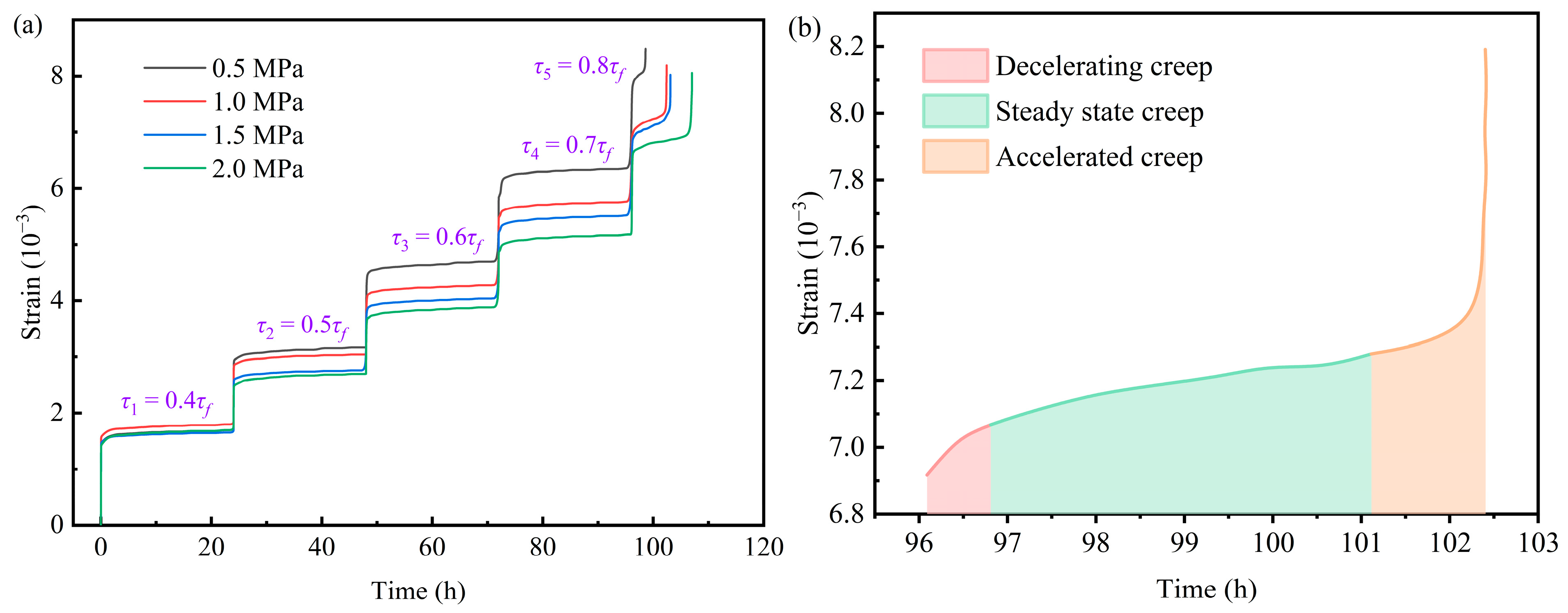
3.1.1. Shear Creep Deformation
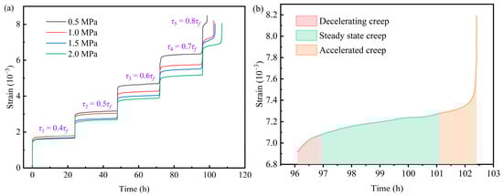
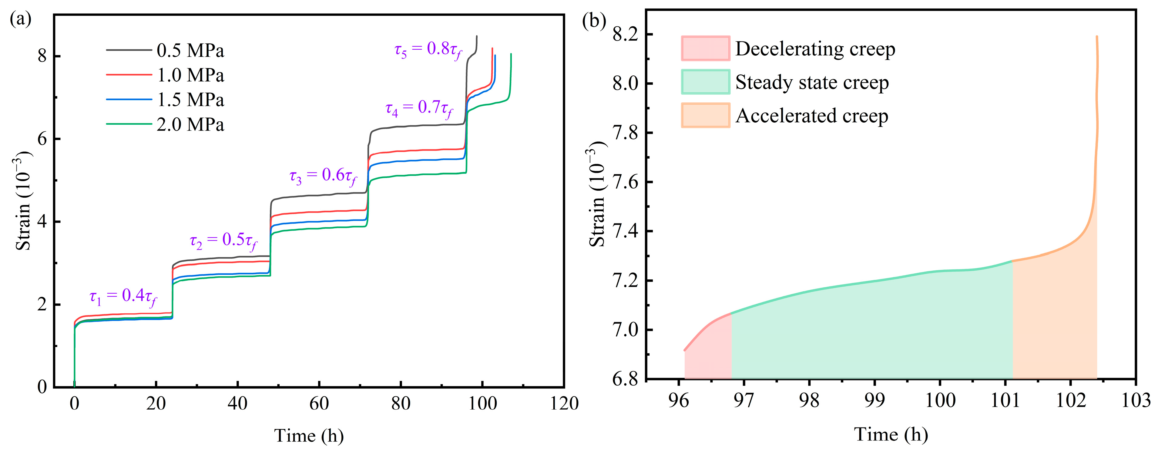
The shear creep curves of the specimens under different normal stresses are shown in Figure 6. The creep curves showed a stepwise growth trend and exhibited three stages of characteristics: decelerating creep, steady state creep, and accelerated creep. Before the failure level shear stress (), the specimen entered the steady state creep stage after decelerating creep. Under the failure level of shear stress, the specimen rapidly entered the accelerated creep stage after experiencing the first two stages, with a sharp increase in strain rate leading to failure.

Figure 6.
Shear creep curves of specimens under different normal stresses.
Normal stress affects the creep behavior of carbonaceous mud shale. The creep strain of the specimen was fitted to the normal stress (Figure 7), and the fitted curve exhibited good convergence (R2 = 0.987). At a normal stress of 0.5 MPa, the specimen produced a strain of 3.023 × 10−3. Compared to the 0.5 MPa condition, when the normal stress was increased to 1.0 MPa, 1.5 MPa, and 2.0 MPa, the creep strain decreased by 28.50%, 32.88%, and 39.90%, respectively. The results indicated that, the greater the normal stress, the faster the internal damage development rate of the specimen, and the earlier it reached the critical state of failure, resulting in a smaller cumulative amount of creep strain. It revealed that normal stress (corresponding to the burial depth of the rock layer in engineering practice) plays a key role in controlling the long-term mechanical behavior of carbonaceous mud shale.

Figure 7.
Variation of creep strain with normal stress.
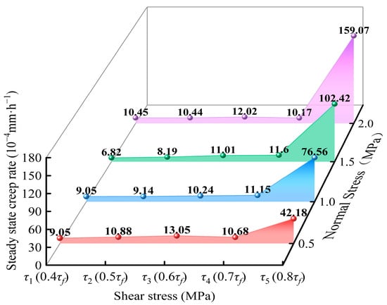
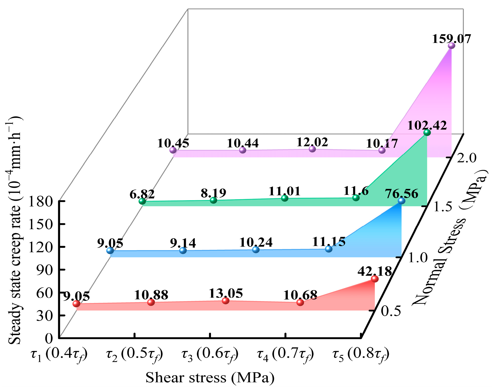
3.1.2. Steady State Creep Rate
Figure 8 demonstrates the response of the steady state creep rate of carbonaceous mud shale to normal stress and shear stress. During the low shear stress stage (), the steady state creep rate was relatively low. When loaded to the failure level shear stress (), the rate increased sharply; the greater the normal stress, the higher the steady state creep rate. Compared to = 0.5 MPa, the steady state creep rates at = 1.0 MPa, 1.5 MPa, and 2.0 MPa increased by 0.82, 1.43, and 2.77 times, respectively. This indicated that the high normal stress environment caused by the increase in burial depth promoted the expansion penetration efficiency of the internal crack network of the specimen. As a result, the sensitivity of the material to shear stress was significantly enhanced, manifesting as a higher steady state creep rate increase under the same magnitude of shear stress.

Figure 8.
Steady state creep rate of specimens under different normal stresses.
3.2. AE Characteristics
3.2.1. AE Ringing Count Rate
The AE ringing count rate is more sensitive for reflecting dynamic changes in internal damage during the creep process [,]. The AE data were analyzed for characteristic parameters to obtain the evolution trend information of the AE ringing count rate. Figure 9 shows the AE ringing count rate curves for the whole process of shear creep of specimens under different normal stresses.


Figure 9.
Time-varying characteristics of AE ringing count rate during loading of specimens. (a) = 0.5 MPa; (b) = 1.0 MPa; (c) = 1.5 MPa; (d) = 2.0 MPa.
As the normal stress increased, the peak value and cumulative value of the AE ringing count rate gradually increased. This indicated that the shear failure process of carbonaceous mud shale triggered stronger AE signals and more intense internal damage evolution under higher normal stress. Meanwhile, there was a correspondence between the step jump of shear strain and the peak of the ringing count rate. The sudden change in strain was often accompanied by enhanced AE activity, indicating that normal stress not only affected the mechanical response of carbonaceous mud shale, but also significantly influenced the triggering and intensity of AE activity. The overall law indicated that the AE activity of carbonaceous mud shale during shear creep was closely related to normal stress. The greater the normal stress, the more severe the crack propagation and damage accumulation within the material, resulting in stronger AE signals and more significant damage evolution.
3.2.2. AE B-Value
The AE b-value can reflect changes in the scale of internal microcrack propagation during creep [,]. The least squares method was used to calculate the b-value. The selection of the sampling window and step size in the calculation process of the b-value could affect the results. This b-value calculation determined the data window for each segment according to the amount of data, with 1000 AE events as the sampling window and 500 AE events as the step size. Based on the Gutenberg–Richter (G-R) relationship [], the preprocessed AE data were linearly fitted using the least squares method in OriginLab Origin 2021 software to obtain the b-value. The G-R relationship is as follows:
where M is the earthquake magnitude, N is the cumulative number of earthquake events with magnitude greater than M, a is the intercept of the fitted line, and b is the slope of the fitted line, which is the b-value to be calculated. In AE monitoring, due to the lack of the concept of magnitude in traditional seismology, the AE amplitude AdB monitored during the experiment is usually divided by 20 to replace the magnitude M as follows:
where M represents the equivalent “earthquake magnitude,” and AdB represents the amplitude of the AE event.
In summary, the calculation formula for the AE b-value is obtained as follows:
To investigate the dynamic response of b-value when carbonaceous mud shale approaches unstable failure, Figure 10 shows the variation trends in the b-values of specimens under different normal stresses during the failure-level shear stress loading stage.

Figure 10.
Samples’ AE b-value distribution patterns under different normal stresses. (a) = 0.5 MPa; (b) = 1.0 MPa; (c) = 1.5 MPa; (d) = 2.0 MPa.
The evolution of the b-value under different normal stresses had a staged pattern of “fluctuation adjustment → stable increase → abrupt decline”. In the initial stage, the b-value showed a fluctuating adjustment state, reflecting adaptive changes in the specimen’s microstructure. The microcracks were in a relatively stable state, mainly composed of closed pores and a small amount of microcracks. Subsequently, the b-value entered a stable increase period, corresponding to the orderly propagation of internal cracks and the accumulation of damage. The microcracks gradually initiated and expanded, and the interactions increased, but did not form large-scale connectivity. Finally, as failure approached, the b-value decreased. The cracks rapidly changed from scattered initiation to concentrated propagation, and large-scale shear crack penetration dominated, forming a damage network. The magnitude and occurrence time of the Δb-value (sudden drop in b-value) were different under different normal stresses. The higher the normal stress, the larger the Δb-value, and the earlier its occurrence. This rule indicated that the sudden drop in the AE b-value could serve as a precursory feature of creep failure of carbonaceous mud shale. The sudden drop in b-value intuitively reflected the transition from progressive damage to sudden instability within the material. The critical state of creep failure of carbonaceous mud shale could be effectively identified by capturing the sudden drop in the b-value.
4. Fractional Nonlinear Creep Damage Model Based on AE Ringing Count Rate
At present, the creep models for soft rock materials mainly include the classical empirical model and the constitutive model based on viscoelastic theory [,]. However, there are still many urgent problems that need to be solved when describing the creep damage characteristics of carbonaceous mud shale, which is a special soft rock. First, current creep models mostly focus on describing mechanical behavior and rarely combine damage evolution with AE characteristics. Second, existing creep models show certain limitations in adapting to different normal stresses. There is a lack of a general model that can uniformly describe the creep damage law of carbonaceous mud shale under different normal stresses. Therefore, more work is needed to better describe the creep damage behavior considering the effect of normal stress.
4.1. Damage Quantification Based on AE Ringing Count Rate
The AE phenomenon of carbonaceous mud shale under shear stress is an important external manifestation of microscopic damage activities within rock. The AE ringing count rate contains abundant information on damage evolution. Taking the AE ringing count rate as the core parameter of damage evolution, a quantitative relationship between the ringing count rate and damage variables was established to achieve macroscopic characterization of meso-damage evolution during the creep process of carbonaceous mud shale. The concept of a damage variable was first proposed by Kachanov [,], who argued that the damage variable D could be expressed as
where Ad is the total area of micro-defects on the bearing surface, and A is the cross-sectional area of the material in its initial undamaged state. In this paper, the degree of damage inside carbonaceous mud shale is quantitatively characterized by the dynamic change in the AE ringing count rate. Specifically, the damage variable D is defined based on the ratio of the cumulative AE ringing count rate N at a certain moment to the cumulative ringing count rate Nm when the material undergoes complete shear failure. The damage variable D defined based on the AE ringing count rate is denoted as
Figure 11 presents the damage variables of carbonaceous mud shale under different normal stresses obtained based on the AE ringing count rate. As can be seen from Figure 11, the damage inside the material accumulated progressively as the loading continued. This accumulation exhibited a pattern of a slow increase that then accelerated, with the curve showing a typical concave feature. The relationship between the damage variable D and time conformed to the exponential growth characteristic, so the evolution equation of D can be expressed as

Figure 11.
Damage variable based on AE ringing count rate for different normal stresses. (a) = 0.5 MPa; (b) = 1.0 MPa; (c) = 1.5 MPa; (d) = 2.0 MPa.
4.2. Fractional Nonlinear Creep Damage Model
In the previous section, the creep characteristics of carbonaceous mud shale under different normal stresses obviously show three stages: decelerating creep, steady state creep, and accelerated creep. The fractional-order calculus theory can accurately describe this nonlinearity, and the model has fewer parameters, which can effectively avoid problems such as fitting difficulties and ambiguous physical meanings caused by too many parameters [,,].
4.2.1. Fractional Derivative and Abel Dashpot
To simplify the analysis, the Riemann–Liouville fractional derivative is selected. For Re (α) > 0, t > 0, the expression for the Riemann–Liouville integral of order α is as follows [,,]:
where is the fractional differential operator, is the order of the fractional order, is the smallest integer greater than , is the integral variable, is a function of time t, is the Gamma function with the expression:
The Abel dashpot is a fractional viscoelastic element, and its constitutive relation is based on the Riemann–Liouville fractional derivative form []. The first-order derivative of the Newtonian dashpot constitutive relation was extended to the fractional order, and the constitutive relation of the Abel dashpot was obtained:
where is the applied shear stress, is the viscosity coefficient, and is the shear strain of the Abel’s dashpot.
It can be found that, when , Equation (9) degenerates into , which satisfies Hooke’s law and describes the characteristics of an ideal elastic body. When , Equation (9) represents the Newtonian dashpot constitutive relationship, which describes an ideal fluid. When , the equation can simultaneously describe the “soft matter” between the ideal elastic body and the ideal fluid [,]. Meanwhile, it is worth noting that the weak interlayer of carbonaceous mud shale, which is the subject of this paper, is a kind of “viscoelastic substance” between viscosity and elasticity.
In the shear creep test, a constant shear stress was applied. Integrating Equation (9), the creep equation can be obtained:
4.2.2. Nonlinear Statistical Damage Body
From the shear creep experiments of carbonaceous mud shale in the previous section, it was found that the starting time of the accelerated creep stage of the specimens varied under different normal stresses. After the specimen entered the accelerated creep stage, its internal cracks expanded rapidly and intersected. The specimen finally underwent irreversible plastic shear failure under the continuous action of failure-level shear stress (). In summary, this section proposed a nonlinear statistical damage body to describe the accelerated creep characteristics of the material by applying the damage variable defined based on the AE ringing count rate obtained in Section 4.1 (Figure 12).

Figure 12.
Nonlinear statistical damage body.
The constitutive relation of the damaged body is as follows:
where is the long-term strength of carbonaceous mud shale, is the starting time of accelerated creep related to normal stress, is the second derivative of the shear strain , and is the viscosity coefficient of the viscous body at time t, expressed as
where is the initial viscosity coefficient. The creep damage variable of carbonaceous mud shale can be defined as
The evolution equation of the damage variable D(t) defined based on the AE ringing count rate is shown in Equation (6).
4.2.3. Creep Equation
Based on the Burgers model, the fractional integral elements and the nonlinear statistical damage body were respectively used to replace the viscous elements in the viscoelastic and viscoplastic elements. At the same time, the damage evolution was closely combined with the AE ringing count rate. And further, a constitutive model that can describe the creep damage law of carbonaceous mud shale under different normal stresses was proposed (Figure 13).

Figure 13.
Fractional nonlinear creep damage model based on AE ringing count rate.
The elastic element was used to represent the elastic strain produced at the moment of stress loading. The fractional Abel dashpots were used to characterize the strain generated during deceleration creep and steady state creep stages. And the nonlinear statistical damage body was used to represent the strain produced in the accelerated creep stage. Therefore, the total strain generated during the complete creep process can be expressed as
When , part III does not work, and the creep equation is
where is the elastic modulus. After organizing Equation (15), it can be obtained:
When and , the nonlinear statistical damaged body (III-II) in part III does not work, and the creep equation is
where is the strain generated by the fractional Abel dashpot (III-I) in part III. Organizing Equation (17), we obtain
When and , all elements work, and the creep equation is
where is the strain generated by the nonlinear statistical damage body (III-II) in Part III. is obtained by integrating the third formula in Equation (11):
By substituting Equation (12) and the fifth formula in Equation (19) into Equation (20), we can obtain
By substituting Equation (21) into Equation (19), the creep equation when and can be obtained:
In summary, the fractional nonlinear creep damage equation based on the AE ringing count rate is obtained as follows:
Note: Equation (23) is used to describe the three-stage evolution of creep deformation in carbonaceous mud shale. Its solution needs to be combined with the double thresholds of shear stress () and time (). Firstly, the shear stress is determined (damage is initiated when ), and then the time is judged (damage acceleration is triggered when ), which strictly corresponds to the mechanical element model in Figure 13 (Hooke body + fractional order Abel dashpot + nonlinear statistical damage body). It describes the creep behavior of the material in stages from “viscoelasticity → initial damage → damage acceleration”.
4.3. Model Validation and Discussion
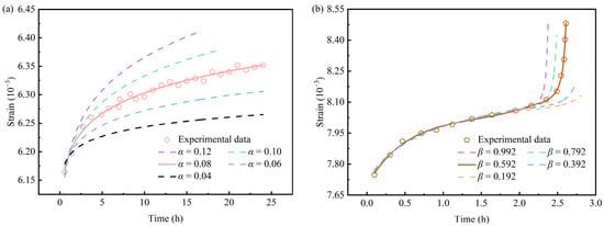
To verify the reliability of the fractional nonlinear creep damage model (improved Burgers model based on AE ringing count rate), the shear creep experimental results of the specimens under different normal stresses were fitted and analyzed. Figure 14 presents the fitting results of the model parameters under different normal stresses, and the creep and fitting parameters of the model are listed (Table 3). Parameter α is the order of the fractional, which mainly controls the evolution rate of deformation with time in the initial stage of the creep model (when in Equation (23)), and its physical significance can be understood as a comprehensive characterization of the internal structural adjustment and the slow development of micro-defects of carbonaceous mud shale under the initial stress state. Parameter β is also the order of the fractional. β plays a role in the stage after the stress exceeds (when in Equation (23)), which reflects transformation of the internal damage evolution mechanism of the rock after experiencing a certain stress level and portrays the nonlinear characteristics of the deformation rate with time in this stage. is the viscosity coefficient, which represents the viscous flow resistance of carbonaceous mud shale in the damage state (represented by ) in the model (when in Equation (23)). Physically speaking, reflects the ability of the material to resist viscous deformation when the internal damage of the rock evolves to a specific stage ().

Figure 14.
Shear creep experimental data and fitting results of carbonaceous mud shale under different normal stresses. (a) ; (b) ; (c) ; (d) ; (e) .

Table 3.
Parameters of the creep damage model under different normal stresses.
It could be seen from Figure 14a to Figure 14d that, with the increasing shear stress, the improved model fitted the shear strain evolution process with time more accurately than the traditional Burgers model, which was more in line with the distribution trend of experimental data, and reflected a better ability to characterize the steady state creep stage. The traditional Burgers model deviated significantly during the accelerated creep stage under the failure level shear stress (), as shown in Figure 14e. On the contrary, the improved model could more accurately capture the rapid strain growth characteristics of carbonaceous mud shale in this stage, highlighting its excellent descriptive ability for the material instability creep behavior under failure-level shear stress. In summary, the creep damage model (improved Burgers model based on AE ringing count rate) exhibits higher accuracy and adaptability in characterizing the shear creep characteristics of carbonaceous mud shale than the traditional Burgers model, especially in revealing the accelerated creep evolution law of the material under failure-level shear stress. This result provides a more reliable theoretical model for further understanding the creep failure mechanism of carbonaceous mud shale.
4.4. Sensitivity Analysis of the Parameters
Regarding the parameters of fractional order, order α and β had significant effects on the fitting of the shear creep damage constitutive model of carbonaceous mud shale. Figure 15a illustrates the variation in creep curves over time at different α values under fourth-level shear stress () at . Parameter α mainly affected the deformation characteristics during the initial creep stage. Increasing α significantly accelerated the strain growth rate and increased the degree of deformation, while decreasing α did the opposite. This was because α reflected the time-dependence of the viscoelastic behavior described by the model. The larger the α, the stronger the time-related viscous effect in the material’s viscoelastic properties, which implied that the time-dependence of the internal microstructures of the carbonaceous mud shale (initial defects such as micropores and microcracks) was more prominent. From the perspective of a damage kinetics mechanism, a larger α would accelerate the time-accumulation effect of viscoelastic deformation, prompting the internal defects of the material to adjust and develop more rapidly under the action of time. This weakened the material’s ability to resist deformation and made it more prone to creep deformation. Figure 15b shows the variation in creep curves over time at different β values under failure-level shear stress () at . Parameter β was mainly associated with the damage evolution process. Increasing β would trigger a sharp increase in strain and accelerated damage development in the later stage. Essentially, this was because β described the amplifying effect of time on material degradation during damage kinetics. It meant that, with the passage of time, the microscopic behaviors related to damage became more intense under the regulation of β, causing rapid degradation of the material structure and ultimately manifesting as an accelerated increase in strain in the later stage. On the contrary, reducing β could stabilize the creep process and slow down the rate of damage accumulation.

Figure 15.
Sensitivity analysis of the parameters of the improved creep damage model. (a) Fractional order α; (b) fractional order β.
4.5. Superiority of the Creep Model and Its Application
To further reveal the superiority of the model in this study, the proposed model was compared with the model based on AE ringing counts established by Zhou et al. []. Figure 16 presents the fitting results of the model in this work and the model from Zhou et al. [] to the experimental data for carbonaceous mud shale at .

Figure 16.
Fitting curves of this work’s model and Zhou et al.’s model [] to the experimental data at . (a) ; (b) ; (c) ; (d) ; (e) .
From the overall fitting performance, the model in this paper could more closely fit the experimental data and accurately capture the creep characteristics of the rock. In particular, the advantages of this model were further emphasized under a shear stress level of . In contrast, Zhou et al.’s model [] showed a more obvious deviation in agreement between the fitting curves and experimental data, especially during the accelerated stage of the late creep stage. It could not accurately capture the acceleration trend presented by the experimental data, and the predicted start time of accelerated creep was earlier than the actual situation corresponding to the experimental data. This might be because the model based on the AE ringing count rate in this article made it easier to introduce time-dependent nonlinear factors and could more naturally be made to fit the nonlinear acceleration behavior during rock creep by adjusting the time-dependent parameters. However, the model based on AE ringing counts established by Zhou et al. [] might require more assumptions or correction terms to fit the accelerated creep stage under high stress conditions, leading to its limited applicability and reduced fitting accuracy.
From Figure 14 and Figure 16, it can be observed that, although the R2 values of the Burgers model and Zhou et al.’s model [] are close to those of this paper’s model under some working conditions, this paper’s model has the following three obvious advantages. Firstly, the proposed model introduces the fractional order derivative and damage evolution mechanism, which can more truly reflect the internal microcrack propagation and damage evolution process of soft rock material (carbonaceous mud shale). In addition, the model in this study contains 6 parameters, which is between the Burgers model (4 parameters) and Zhou et al.’s model [] (10 parameters). This not only ensures fitting accuracy, but also avoids excessive complexity. More importantly, this model combines the damage evolution process with the AE ringing count rate, which can reflect the internal damage state of soft rock (carbonaceous mud shale) in real time and has wider engineering application prospects. The mathematical expressions and the number of parameters for each model are detailed in Appendix A.
The model in this work demonstrates good adaptability when applied to different soft rock types and geological conditions. Figure 17a gives the fitting effect of the model established in this paper on the triaxial creep experimental data of mudstone under different confining pressures, while Figure 17b reflects the fitting of the model to argillaceous siltstone under different maximum principal stresses. As shown in the figures, the model fitting curves closely match the experimental data for both mudstone and argillaceous siltstone. The model was able to accurately capture the deformation characteristics of these rocks, whether the gentle deformation in the initial creep stage or the drastic changes in the late-stage accelerated deformation until the failure stage. Based on the above analysis, it can be reasonably inferred that the model in this work has certain generality and extensibility and can be well applied to the creep deformation analysis of other soft rocks under different stress conditions.

Figure 17.
Application of this work’s model to creep deformation of other types of soft rocks. (a) Mudstone (Li et al. []); (b) argillaceous siltstone (Lin et al. []).
5. Conclusions
This paper conducted a study on the shear creep behavior of carbonaceous mud shale under different normal stresses (corresponding to engineering burial depths). The damage evolution laws of carbonaceous mud shale were clarified through AE experiments. The damage variable was defined based on the AE ringing count rate, and a new creep damage model was constructed by combining fractional-order theory. The main findings and conclusions are summarized below.
- With an increase in normal stress, the shear creep strain of carbonaceous mud shale tended to decay exponentially, while the steady state creep rate increased gradually.
- The peak value and cumulative value of the AE ringing count rate increased gradually with an increase in normal stress. It is also worth noting that there was a corresponding relationship between the step jump of shear strain in carbonaceous mud shale and the peak of the ringing count rate.
- The AE b-value under different normal stresses had a staged pattern of “fluctuation adjustment → stable increase → abrupt decline”. In addition, the sudden drop in the b-value could serve as a precursor feature of creep failure of carbonaceous mud shale, and the higher the normal stress, the earlier the sudden drop in b-value and the larger the Δb-value.
- The damage variable was defined based on the AE ringing count rate, and a nonlinear statistical damage body was proposed. A new creep damage model was constructed by combining fractional-order theory. The model can uniformly describe the creep damage law of carbonaceous mud shale under different normal stresses. The model validation results indicated that the new fractional creep damage model had higher accuracy and applicability, especially in revealing the accelerated creep evolution law of carbonaceous mud shale under failure-level shear stress.
Author Contributions
Conceptualization, B.H. and J.L.; methodology, J.W.; software, J.W.; validation, J.W. and B.H.; formal analysis, X.Z.; investigation, J.W., X.Z. and X.D.; data curation, J.W.; writing—original draft, J.W.; writing—review and editing, J.W., B.H. and J.L.; visualization, J.W.; supervision, J.L.; project administration, B.H. and J.L.; funding acquisition, B.H., J.L. and K.C. All authors have read and agreed to the published version of the manuscript.
Funding
This research was funded by the National Natural Science Foundation of China (Grant. Nos. 42307252, U1802243), the Technology Projects of WUST Cultivate Innovation Teams (Grant No. 2018TDX01), and the Key Scientific Research Project of Colleges and Universities of Henan Province (Grant No. 24A620003). All financial support was greatly appreciated.
Data Availability Statement
The original contributions presented in this study are included in the article; further inquiries can be directed to the corresponding author.
Acknowledgments
The authors are grateful to the anonymous reviewers for their comments and suggestions, which contributed to the further improvement of this paper.
Conflicts of Interest
The authors declare no conflicts of interest.
Appendix A
To verify the effectiveness of the model proposed in this study, the Burgers model (Figure A1a) and the model proposed by Zhou et al. [] (Figure A1b) were selected for comparative analysis. The mathematical expressions and the number of parameters for each model are as follows.
The Burgers model (Figure A1a) consists of four parameters (), and its mathematical expression is
Zhou et al.’s model [] (Figure A1b) contains 10 parameters (), and its mathematical expression is
The model proposed in this article includes six parameters (), and its mathematical expression is

Figure A1.
Schematic diagram of the comparative validation model. (a) Burgers model; (b) Zhou et al.’s model [].
The Burgers model (Figure A1a) could well describe the linear viscoelastic behavior of carbonaceous mud shale, but could not reflect its nonlinear creep characteristics. For example, in Figure 14e, when = 0.5 MPa, the R2 of the Burgers model dropped to 0.873, and the experimental data deviated significantly from the fitted curve. Although Zhou et al.’s model [] (Figure A1b) could fit nonlinear creep to a certain extent, its parameter redundancy (10 in total) was prone to causing overfitting problems. More assumptions or correction terms might be needed to fit the accelerated creep stage under high stress conditions.
References
- Zheng, D.; Frost, J.D.; Huang, R.Q.; Liu, F.Z. Failure process and modes of rockfall induced by underground mining: A case study of Kaiyang Phosphorite Mine rockfalls. Eng. Geol. 2015, 197, 145–197. [Google Scholar] [CrossRef]
- Tang, H.M.; Zou, Z.X.; Xiong, C.R.; Wu, Y.P.; Hu, X.L.; Wang, L.Q.; Lu, S.; Criss, R.E.; Li, C.D. An evolution model of large consequent bedding rockslides, with particular reference to the Jiweishan rockslide in Southwest China. Eng. Geol. 2015, 186, 17–27. [Google Scholar] [CrossRef]
- Yao, X.; Chen, Y.P.; Liu, D.L.; Zhou, Z.K.; Liesenberg, V.; Junior, J.M.; Li, J. Average-DInSAR method for unstable escarpments detection induced by underground coal mining. Int. J. Appl. Earth Obs. 2021, 103, 102489. [Google Scholar] [CrossRef]
- Zhang, X.Y.; Hu, B.; Li, J.; Huang, L.; Zhang, Z.; Li, B.Y.; Zhong, Z.X.; Wan, C.C. Acid corrosion deterioration of carbonaceous shale: Mechanism revealed from shear properties and macro-micro structure. Constr. Build. Mater. 2025, 474, 141062. [Google Scholar] [CrossRef]
- Duan, S.Q.; Feng, X.T.; Jiang, Q.; Liu, G.F.; Pei, S.F.; Fan, Y.L. In situ observation of failure mechanisms controlled by rock masses with weak interlayer zones in large underground cavern excavations under high geostress. Rock Mech. Rock Eng. 2017, 50, 2465–2493. [Google Scholar] [CrossRef]
- Xu, T.; Xu, Q.; Tang, C.A.; Ranjith, P.G. The evolution of rock failure with discontinuities due to shear creep. Acta Geotech. 2013, 8, 567–581. [Google Scholar] [CrossRef]
- Sun, C.; Jin, C.Z.; Wang, L.G.; Cai, J.Q.; Li, J.D. Creep damage characteristics and slip law of weak-layer mudstone in an open mining slope. Bull. Eng. Geol. Environ. 2023, 82, 399. [Google Scholar] [CrossRef]
- Yang, W.D.; Zhang, Q.Y.; Li, S.C.; Wang, S.G. Estimation of in situ viscoelastic parameters of a weak rock layer by time-dependent plate-loading tests. Int. J. Rock Mech. Min. Sci. 2014, 66, 169–176. [Google Scholar] [CrossRef]
- Ma, C.; Zhan, H.B.; Zhang, T.; Yao, W.M. Investigation on shear behavior of soft interlayers by ring shear tests. Eng. Geol. 2019, 254, 34–42. [Google Scholar] [CrossRef]
- Liang, Z.R.; Chen, Z.X.; Rahman, S.S. Experimental investigation of the primary and secondary creep behaviour of shale gas reservoir rocks from deep sections of the Cooper Basin. J. Nat. Gas Sci. Eng. 2020, 73, 103044. [Google Scholar] [CrossRef]
- Wang, X.K.; Xiang, J.Z.; Xie, W.B.; Xia, C.C.; Yang, J.W.; Wei, W.S. Experimental investigation of the long-term creep behavior of extremely soft coal rocks and novel nonlinear creep mathematical model with a nonstationary viscous coefficient. Bull. Eng. Geol. Environ. 2025, 84, 11–84. [Google Scholar] [CrossRef]
- Ru, W.K.; Hu, S.C.; Zhou, A.H.; Luo, P.K.; Gong, H.; Zhang, C.X.; Zhou, X.D. Study on creep characteristics and nonlinear fractional-order damage constitutive model of weakly cemented soft rock. Rock Mech. Rock Eng. 2023, 56, 8061–8082. [Google Scholar] [CrossRef]
- Sawatsubashi, M.; Kiyota, T.; Katagiri, T. Effect of initial water content and shear stress on immersion-induced creep deformation and strength characteristics of gravelly mudstone. Soils Found. 2021, 61, 1223–1234. [Google Scholar] [CrossRef]
- Zhao, H.B.; Zhang, H.; Li, H.H.; Wang, F.H.; Zhang, M. Formation and fractal characteristics of main fracture surface of red sandstone under restrictive shear creep. Int. J. Rock Mech. Min. Sci. 2017, 98, 181–190. [Google Scholar] [CrossRef]
- Tsai, L.S.; Hsieh, Y.M.; Weng, M.C.; Huang, T.H.; Jeng, F.S. Time-dependent deformation behaviors of weak sandstones. Int. J. Rock Mech. Min. Sci. 2008, 45, 144–154. [Google Scholar] [CrossRef]
- Wang, Q.; Hu, X.L.; Xu, C.; Zhou, C.; He, C.C.; Ying, C.Y. Time-dependent behavior of saturated silty mudstone under different confining pressures. Bull. Eng. Geol. Environ. 2020, 79, 2621–2634. [Google Scholar] [CrossRef]
- Nishii, R.; Matsuoka, N. Monitoring rapid head scarp movement in an alpine rockslide. Eng. Geol. 2010, 115, 49–57. [Google Scholar] [CrossRef]
- Abbas, H.A.; Mohamed, Z.; Kudus, S.A. Deformation behaviour, crack initiation and crack damage of weathered composite sandstone-shale by using the ultrasonic wave and the acoustic emission under uniaxial compressive stress. Int. J. Rock Mech. Min. Sci. 2023, 170, 105497. [Google Scholar] [CrossRef]
- Jiang, Y.J.; Chen, L.G.; Wang, D.; Luan, H.J.; Zhang, G.C.; Dong, L.; Liang, B. Mechanical properties and acoustic emission characteristics of soft rock with different water contents under dynamic disturbance. Int. J. Coal Sci. Technol. 2024, 11, 36. [Google Scholar] [CrossRef]
- Meng, Q.B.; Zhang, M.W.; Han, L.J.; Pu, H.; Chen, Y.L. Acoustic emission characteristics of red sandstone specimens under uniaxial cyclic loading and unloading compression. Rock Mech. Rock Eng. 2018, 51, 969–988. [Google Scholar] [CrossRef]
- Jiang, Z.H.; Zhu, Z.W.; Accornero, F.; Wang, C.L. Multi-technique analysis of seawater impact on the performance of calcium sulphoaluminate cement mortar. Constr. Build. Mater. 2024, 443, 137717. [Google Scholar] [CrossRef]
- Ma, L.J.; Wang, Y.X.; Wang, M.Y.; Xue, B.; Duan, L.Q. Mechanical properties of rock salt under combined creep and fatigue. Int. J. Rock Mech. Min. Sci. 2021, 141, 104654. [Google Scholar] [CrossRef]
- Li, H.R.; Wei, Q.; Xu, Z.; Zhuo, C.Y.; Dong, Z.K.; Zhao, W.G.; Shi, X.L. Empirical analysis of unloading creep damage mechanism of salt rock at 110 °C. Energy 2024, 294, 130908. [Google Scholar] [CrossRef]
- Dong, Z.K.; Li, Y.P.; Li, H.R.; Wang, Z.H.; Shi, X.L.; Chen, X.S.; Lu, Q.F. Experimental study on the influence of temperature on rock salt creep. Rock Mech. Rock Eng. 2023, 56, 3499–3518. [Google Scholar] [CrossRef]
- Zhang, B.H.; Peng, C.B.; Chen, S.H.; Hu, Y.; Li, X.; Zhao, J.Z. The mechanical creep property of shale for different loads and temperatures. Int. J. Rock Mech. Min. Sci. 2023, 163, 105327. [Google Scholar] [CrossRef]
- Li, S.N.; Zhang, J.H.; Chang, J.; Yang, H.; Yue, S.; Peng, J.H.; Chen, K.; Li, Y.; Ren, Z.H.; Chen, W. Quantitative calculation of the damage of carbonaceous mudstone during uniaxial compressive failure process under dry-wet cycling. Bull. Eng. Geol. Environ. 2025, 84, 190. [Google Scholar] [CrossRef]
- Li, J.; Hu, B.; Sheng, J.L.; Zhang, Z. Failure mechanism and treatment of mine landslide with gently-inclined weak interlayer: A case study of Laoyingzui landslide in Emei, Sichuan, China. Geomech. Geophys. Geo-Energy Geo-Resour. 2024, 10, 61. [Google Scholar] [CrossRef]
- Feng, X.T.; Haimson, B.; Li, X.C.; Chang, C.D.; Ma, X.D.; Zhang, X.W.; Ingraham, M.; Suzuki, K. ISRM suggested method: Determining deformation and failure characteristics of rocks subjected to true triaxial compression. Rock Mech. Rock Eng. 2019, 52, 2011–2020. [Google Scholar] [CrossRef]
- Ma, T.F.; Liu, H.H.; Zou, Q.L.; Kong, F.J.; Ran, Q.C.; Wang, P.T. Damage evolution characteristics and deterioration mechanism of mechanical properties of sandstone subjected to drying-wetting cycles. J. Mater. Res. Technol. 2023, 23, 4591–4605. [Google Scholar] [CrossRef]
- Aker, E.; Kühn, D.; Vavryčuk, V.; Soldal, M.; Oye, V. Experimental investigation of acoustic emissions and their moment tensors in rock during failure. Int. J. Rock Mech. Min. Sci. 2014, 70, 286–295. [Google Scholar] [CrossRef]
- Ge, Z.L.; Sun, Q. Acoustic emission (AE) characteristics of granite after heating and cooling cycles. Eng. Fract. Mech. 2018, 200, 418–429. [Google Scholar] [CrossRef]
- Goebel, T.H.W.; Schorlemmer, D.; Becker, T.W.; Dresen, G.; Sammis, C.G. Acoustic emissions document stress changes over many seismic cycles in stick-slip experiments. Geophys. Res. Lett. 2013, 40, 2049–2054. [Google Scholar] [CrossRef]
- Iturrioz, I.; Lacidogna, G.; Carpinteri, A. Acoustic emission detection in concrete specimens: Experimental analysis and lattice model simulations. Int. J. Damage Mech. 2014, 23, 327–358. [Google Scholar] [CrossRef]
- Liu, Z.; Zhou, C.Y.; Li, B.T.; Zhang, L.H.; Liang, Y.H. Effects of grain dissolution–diffusion sliding and hydro-mechanical interaction on the creep deformation of soft rocks. Acta Geotech. 2020, 15, 1219–1229. [Google Scholar] [CrossRef]
- Liu, Z.; Zhou, C.Y.; Li, B.T.; Lu, Y.Q.; Yang, X. A dissolution-diffusion sliding model for soft rock grains with hydro-mechanical effect. J. Rock Mech. Geotech. Eng. 2018, 10, 457–467. [Google Scholar] [CrossRef]
- Zhang, W.M.; Liu, D.W.; Tang, Y.; Qiu, W.C.; Zhang, R.P. Multifractal characteristics of smooth blasting overbreak in extra-long hard rock tunnel. Fractal Fract. 2023, 7, 842. [Google Scholar] [CrossRef]
- Silva, J.; Worsey, T.; Lusk, B. Practical assessment of rock damage due to blasting. Int. J. Min. Sci. Technol. 2019, 29, 379–385. [Google Scholar] [CrossRef]
- Ahmad, M.; Zada, A.; Ghaderi, M.; George, R.; Rezapour, S. On the existence and stability of a neutral stochastic fractional differential system. Fractal Fract. 2022, 6, 203. [Google Scholar] [CrossRef]
- Atangana, A. Fractal-fractional differentiation and integration: Connecting fractal calculus and fractional calculus to predict complex system. Chaos Solitons Fract. 2017, 102, 396–406. [Google Scholar] [CrossRef]
- Zine, H.; Torres, D.F.M. A stochastic fractional calculus with applications to variational principles. Fractal Fract. 2020, 4, 38. [Google Scholar] [CrossRef]
- Zhou, H.W.; Wang, C.P.; Han, B.B.; Duan, Z.Q. A creep constitutive model for salt rock based on fractional derivatives. Int. J. Rock Mech. Min. Sci. 2011, 48, 116–121. [Google Scholar] [CrossRef]
- Jiang, X.X.; Wang, J.W.; Wang, W.; Zhang, H.X. A predictor-corrector compact difference scheme for a nonlinear fractional differential equation. Fractal Fract. 2023, 7, 521. [Google Scholar] [CrossRef]
- Lupulescu, V. Fractional calculus for interval-valued functions. Fuzzy Set. Syst. 2015, 265, 63–85. [Google Scholar] [CrossRef]
- Li, J.; Hu, B.; Sheng, J.L.; Huang, L. A fractional-order creep-damage model for carbonaceous shale describing coupled damage caused by rainfall and blasting. Fractal Fract. 2024, 8, 459. [Google Scholar] [CrossRef]
- Zhou, H.W.; Wang, C.P.; Mishnaevsky, L.; Duan, Z.Q.; Ding, J.Y. A fractional derivative approach to full creep regions in salt rock. Mech. Time-Depend. Mater. 2013, 17, 413–425. [Google Scholar] [CrossRef]
- Wu, J.; Wang, W.; Cao, Y.J.; Liu, S.F.; Zhang, Q.; Chu, W.J. A novel nonlinear fractional viscoelastic-viscoplastic damage creep model for rock-like geomaterials. Comput. Geotech. 2023, 163, 105726. [Google Scholar] [CrossRef]
- Zhou, H.W.; Jin, Z.M. Fractional derivative triaxial creep model of Beishan granite considering probabilistic damage evolution. Acta Geotech. 2023, 18, 4017–4033. [Google Scholar] [CrossRef]
- Li, J.D.; Gao, Y.; Yang, T.H.; Zhang, P.H.; Deng, W.X.; Liu, F.Y. Effect of water on the rock strength and creep behavior of green mudstone. Geomech. Geophys. Geo-Energy Geo-Resour. 2023, 9, 101. [Google Scholar] [CrossRef]
- Lin, H.X.; Zhang, Q.Y.; Zhang, L.Y.; Duan, K.; Xue, T.E.; Fan, Q.H. The influence of water content on the time-dependent mechanical behavior of argillaceous siltstone. Rock Mech. Rock Eng. 2022, 55, 3939–3957. [Google Scholar] [CrossRef]
Disclaimer/Publisher’s Note: The statements, opinions and data contained in all publications are solely those of the individual author(s) and contributor(s) and not of MDPI and/or the editor(s). MDPI and/or the editor(s) disclaim responsibility for any injury to people or property resulting from any ideas, methods, instructions or products referred to in the content. |
© 2025 by the authors. Licensee MDPI, Basel, Switzerland. This article is an open access article distributed under the terms and conditions of the Creative Commons Attribution (CC BY) license (https://creativecommons.org/licenses/by/4.0/).