Dynamic Analysis and Implementation of FPGA for a New 4D Fractional-Order Memristive Hopfield Neural Network
Abstract
1. Introduction
2. Model Construction and Solution
2.1. Fractional Calculus Definition and Its Properties
2.2. 4D-FOMHNN System Model
2.3. Equilibrium Point Analysis
3. Dynamic Analysis of 4D-FOMHNN
3.1. Impact of Different Orders on the 4D-FOMHNN System
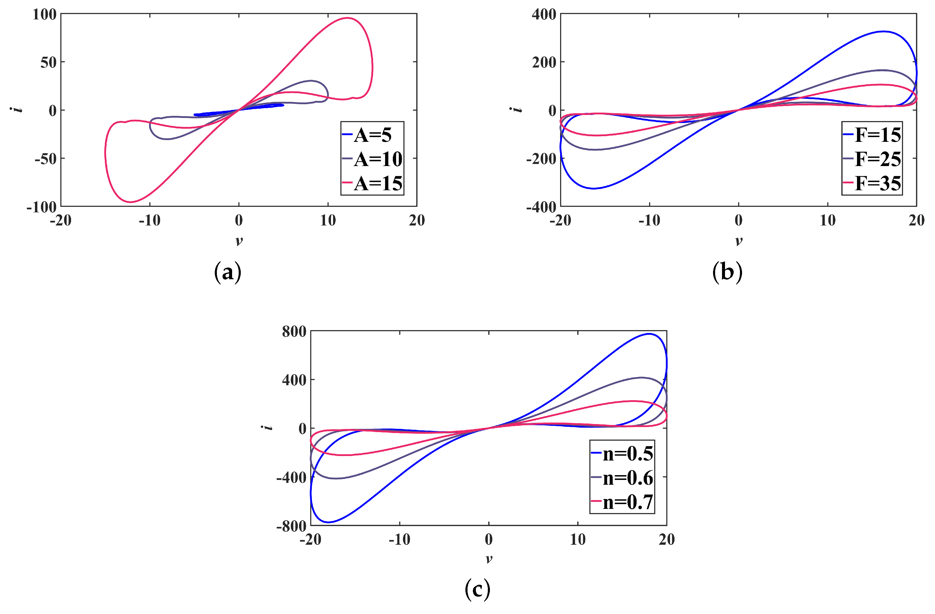
3.2. Analysis of the Dynamic Behavior of Parameters in the System
4. FPGA Hardware Implementation
5. Conclusions
Author Contributions
Funding
Institutional Review Board Statement
Informed Consent Statement
Data Availability Statement
Conflicts of Interest
References
- Kasuba, K.C.; Buccino, A.P.; Bartram, J.; Gaub, B.M.; Fauser, F.J.; Ronchi, S.; Kumar, S.S.; Geissler, S.; Nava, M.M.; Hierlemann, A.; et al. Mechanical stimulation and electrophysiological monitoring at subcellular resolution reveals differential mechanosensation of neurons within networks. Nat. Nanotechnol. 2024, 19, 825–833. [Google Scholar] [CrossRef]
- Deng, Q.; Wang, C.; Sun, Y.; Deng, Z.; Yang, G. Memristive Tabu Learning Neuron Generated Multi-Wing Attractor With FPGA Implementation and Application in Encryption. IEEE Trans. Circuits Syst. Regul. Pap. 2024, 72, 300–311. [Google Scholar] [CrossRef]
- Zhang, S.; Chen, C.; Zhang, Y.; Cai, J.; Wang, X.; Zeng, Z. Multidirectional Multidouble-Scroll Hopfield Neural Network With Application to Image Encryption. IEEE Trans. Syst. Man Cybern. Syst. 2024, 55, 735–746. [Google Scholar] [CrossRef]
- An, X.; Jiang, L.; Xiong, L.; Zhang, J.; Li, X. Synchronization behavior and energy evolution in physical neuron and network. Nonlinear Dyn. 2024, 112, 16389–16407. [Google Scholar] [CrossRef]
- Sun, J.; Li, C.; Wang, Z.; Wang, Y. A Memristive Fully Connect Neural Network and Application of Medical Image Encryption Based on Central Diffusion Algorithm. IEEE Trans. Ind. Inform. 2024, 20, 3778–3788. [Google Scholar] [CrossRef]
- Zhao, Z.; Lu, X. Research progress of chemical process control and optimization based on neural network. J. Eng. Res. Rep. 2021, 21, 10–17. [Google Scholar] [CrossRef]
- Liao, Z.; Ouyang, J.; Ma, M. Dual-attribute ring-star neural network. Nonlinear Dyn. 2024, 1–14. [Google Scholar] [CrossRef]
- Lai, Q.; Yang, L.; Hu, G.; Guan, Z.H.; Iu, H.H.C. Constructing Multiscroll Memristive Neural Network With Local Activity Memristor and Application in Image Encryption. IEEE Trans. Cybern. 2024, 54, 4039–4048. [Google Scholar] [CrossRef]
- Bhadani, U. Smart grids: A cyber–physical systems perspective. Int. Res. J. Eng. Technol. 2024, 11, 801. [Google Scholar]
- Jin, J.; Zhu, J.; Zhou, L.; Chen, C.; Wu, L.; Lu, M.; Zhu, C.; Chen, L.; Zhao, L.; Li, Z. A Complex-Valued Variant-Parameter Robust Zeroing Neural Network Model and its Applications. IEEE Trans. Emerg. Top. Comput. Intell. 2024, 8, 1303–1321. [Google Scholar] [CrossRef]
- Ahamed, K.I.; Akthar, S. A study on neural network architectures. Comput. Eng. Intell. Syst. 2016, 7, 1–7. [Google Scholar]
- Dongare, A.; Kharde, R.; Kachare, A.D. Introduction to artificial neural network. Int. J. Eng. Innov. Technol. 2012, 2, 189–194. [Google Scholar]
- Wang, J.; Liu, Y.; Rao, S.; Zhou, X.; Hu, J. A novel self-adaptive multi-strategy artificial bee colony algorithm for coverage optimization in wireless sensor networks. Ad Hoc Netw. 2023, 150, 103284. [Google Scholar] [CrossRef]
- Hu, J.; He, Y.; Luo, W.; Huang, J.; Wang, J. Enhancing Load Balancing With In-Network Recirculation to Prevent Packet Reordering in Lossless Data Centers. IEEE/ACM Trans. Netw. 2024, 32, 4114–4127. [Google Scholar] [CrossRef]
- Abuwatfa, W.H.; AlSawaftah, N.; Darwish, N.; Pitt, W.G.; Husseini, G.A. A review on membrane fouling prediction using artificial neural networks (ANNs). Membranes 2023, 13, 685. [Google Scholar] [CrossRef]
- Mouloodi, S.; Rahmanpanah, H.; Gohari, S.; Burvill, C.; Davies, H.M. Feedforward backpropagation artificial neural networks for predicting mechanical responses in complex nonlinear structures: A study on a long bone. J. Mech. Behav. Biomed. Mater. 2022, 128, 105079. [Google Scholar] [CrossRef]
- Hu, J.; Zhou, Z.; Zhang, J. Lightweight Automatic ECN Tuning Based on Deep Reinforcement Learning With Ultra-Low Overhead in Datacenter Networks. IEEE Trans. Netw. Serv. Manag. 2024, 21, 6398–6408. [Google Scholar] [CrossRef]
- Cheraghi, N.; Miri, M.; Rashki, M. An adaptive artificial neural network for reliability analyses of complex engineering systems. Appl. Soft Comput. 2023, 132, 109866. [Google Scholar] [CrossRef]
- Nail, B.; Atoussi, M.A.; Saadi, S.; Tibermacine, I.E.; Napoli, C. Real-time synchronisation of multiple fractional-order chaotic systems: An application study in secure communication. Fractal Fract. 2024, 8, 104. [Google Scholar] [CrossRef]
- Feng, W.; Yang, J.; Zhao, X.; Qin, Z.; Zhang, J.; Zhu, Z.; Wen, H.; Qian, K. A Novel Multi-Channel Image Encryption Algorithm Leveraging Pixel Reorganization and Hyperchaotic Maps. Mathematics 2024, 12, 3917. [Google Scholar] [CrossRef]
- Ma, X.; Wang, Z.; Wang, C. An image encryption algorithm based on Tabu Search and hyperchaos. Int. J. Bifurc. Chaos 2024, 34, 2450170. [Google Scholar] [CrossRef]
- Feng, W.; Zhang, J.; Chen, Y.; Qin, Z.; Zhang, Y.; Ahmad, M.; Woźniak, M. Exploiting robust quadratic polynomial hyperchaotic map and pixel fusion strategy for efficient image encryption. Expert Syst. Appl. 2024, 246, 123190. [Google Scholar] [CrossRef]
- Ma, Y.J.; Luo, X.Y.; Diao, G.; Yang, Y.S.; Zeng, P. Chaotic Spread Spectrum Communication with Coupled Map Lattice based on Cellular Automata. J. Beijing Univ. Posts Telecommun. 2023, 46, 72. [Google Scholar]
- Deng, Q.; Wang, C.; Lin, H. Chaotic dynamical system of Hopfield neural network influenced by neuron activation threshold and its image encryption. Nonlinear Dyn. 2024, 112, 6629–6646. [Google Scholar] [CrossRef]
- Yu, F.; Lin, Y.; Yao, W.; Cai, S.; Lin, H.; Li, Y. Multiscroll hopfield neural network with extreme multistability and its application in video encryption for IIoT. Neural Networks 2025, 182, 106904. [Google Scholar] [CrossRef] [PubMed]
- Vignesh, D.; He, S.; Banerjee, S. A review on the complexities of brain activity: Insights from nonlinear dynamics in neuroscience. Nonlinear Dyn. 2024, 113, 4531–4552. [Google Scholar] [CrossRef]
- Wan, Q.; Yang, Q.; Liu, T.; Chen, C.; Shen, K. Single direction, grid and spatial multi-scroll attractors in Hopfield neural network with the variable number memristive self-connected synapses. Chaos Solitons Fractals 2024, 189, 115584. [Google Scholar] [CrossRef]
- Yuan, Z.; Wu, Y.; Ou, C.; Zhong, P.; Zhao, X.; Ma, M. Dynamical Behavior of SW-SW Neural Networks. Chin. J. Phys. 2025, 94, 108–120. [Google Scholar] [CrossRef]
- Wang, C.; Luo, D.; Deng, Q.; Yang, G. Dynamics analysis and FPGA implementation of discrete memristive cellular neural network with heterogeneous activation functions. Chaos Solitons Fractals 2024, 187, 115471. [Google Scholar] [CrossRef]
- Zhou, L.; Zhang, H.; Tan, F.; Liu, K. Delay-independent control for synchronization of memristor-based BAM neural networks with parameter perturbation and strong mismatch via finite-time technology. Trans. Inst. Meas. Control 2024, 46, 2035–2047. [Google Scholar] [CrossRef]
- Zhou, L.; Lin, H.; Tan, F. Unified quantified adaptive control for multiple-time stochastic synchronization of coupled memristive neural networks. Neurocomputing 2024, 577, 127384. [Google Scholar] [CrossRef]
- Jin, J.; Fang, J.; Chen, C.; Li, Z. A complex-valued time varying zeroing neural network model for synchronization of complex chaotic systems. Nonlinear Dyn. 2025, 113, 5471–5491. [Google Scholar] [CrossRef]
- Zhang, S.; Li, Y.; Lu, D.; Li, C. A novel memristive synapse-coupled ring neural network with countless attractors and its application. Chaos Solitons Fractals 2024, 184, 115056. [Google Scholar] [CrossRef]
- Xu, Q.; Ding, X.; Chen, B.; Parastesh, F.; Ho-Ching Iu, H.; Wang, N. A Universal Configuration Framework for Mem-Element-Emulator-Based Bionic Firing Circuits. IEEE Trans. Circuits Syst. I Regul. Pap. 2024, 71, 4120–4130. [Google Scholar] [CrossRef]
- Wang, N.; Xu, D.; Yang, Y.; Parastesh, F.; Iu, H.H.C.; Xu, Q. Dual Memristive Chua’s Circuit. IEEE Trans. Circuits Syst. I Regul. Pap. 2024, 71, 4689–4697. [Google Scholar] [CrossRef]
- Sun, J.; Zhai, Y.; Liu, P.; Wang, Y. Memristor-Based Neural Network Circuit of Associative Memory With Overshadowing and Emotion Congruent Effect. IEEE Trans. Neural Netw. Learn. Syst. 2025, 36, 3618–3630. [Google Scholar] [CrossRef] [PubMed]
- Xu, Q.; Wang, K.; Chen, M.; Parastesh, F.; Wang, N. Bursting and spiking activities in a Wilson neuron circuit with memristive sodium and potassium ion channels. Chaos Solitons Fractals 2024, 181, 114654. [Google Scholar] [CrossRef]
- Yu, F.; Xu, S.; Lin, Y.; Gracia, Y.M.; Yao, W.; Cai, S. Dynamic Analysis, Image Encryption Application and FPGA Implementation of a Discrete Memristor-Coupled Neural Network. Int. J. Bifurc. Chaos 2024, 34, 2450068. [Google Scholar] [CrossRef]
- Liu, X.; Mou, J.; Zhang, Y.; Cao, Y. A New Hyperchaotic Map Based on Discrete Memristor and Meminductor: Dynamics Analysis, Encryption Application, and DSP Implementation. IEEE Trans. Ind. Electron. 2024, 71, 5094–5104. [Google Scholar] [CrossRef]
- Yu, F.; Zhang, W.; Xiao, X.; Yao, W.; Cai, S.; Zhang, J.; Wang, C.; Li, Y. Dynamic analysis and field-programmable gate array implementation of a 5D fractional-order memristive hyperchaotic system with multiple coexisting attractors. Fractal Fract. 2024, 8, 271. [Google Scholar] [CrossRef]
- Yuan, Y.; Yu, F.; Tan, B.; Huang, Y.; Yao, W.; Cai, S.; Lin, H. A class of n-D Hamiltonian conservative chaotic systems with three-terminal memristor: Modeling, dynamical analysis, and FPGA implementation. Chaos Interdiscip. J. Nonlinear Sci. 2025, 35, 013121. [Google Scholar] [CrossRef] [PubMed]
- Qian, K.; Xiao, Y.; Wei, Y.; Liu, D.; Wang, Q.; Feng, W. A robust memristor-enhanced polynomial hyper-chaotic map and its multi-channel image encryption application. Micromachines 2023, 14, 2090. [Google Scholar] [CrossRef]
- Xu, Q.; Chen, X.; Wu, H.; Iu, H.H.C.; Parastesh, F.; Wang, N. ReLU Function-Based Locally Active Memristor and its Application in Generating Spiking Behaviors. IEEE Trans. Circuits Syst. II Express Briefs 2024, 71, 4551–4555. [Google Scholar] [CrossRef]
- Feng, Y.; Zhang, Y.; Zhou, Z.; Huang, P.; Liu, L.; Liu, X.; Kang, J. Memristor-based storage system with convolutional autoencoder-based image compression network. Nat. Commun. 2024, 15, 1132. [Google Scholar] [CrossRef] [PubMed]
- Wan, Q.; Liu, J.; Liu, T.; Sun, K.; Qin, P. Memristor-based circuit design of episodic memory neural network and its application in hurricane category prediction. Neural Netw. 2024, 174, 106268. [Google Scholar] [CrossRef] [PubMed]
- Deng, Q.; Wang, C.; Sun, J.; Sun, Y.; Jiang, J.; Lin, H.; Deng, Z. Nonvolatile CMOS Memristor, Reconfigurable Array, and Its Application in Power Load Forecasting. IEEE Trans. Ind. Inform. 2024, 20, 6130–6141. [Google Scholar] [CrossRef]
- Yu, F.; Kong, X.; Yao, W.; Zhang, J.; Cai, S.; Lin, H.; Jin, J. Dynamics analysis, synchronization and FPGA implementation of multiscroll Hopfield neural networks with non-polynomial memristor. Chaos Solitons Fractals 2024, 179, 114440. [Google Scholar] [CrossRef]
- Lin, H.; Deng, X.; Yu, F.; Sun, Y. Grid Multibutterfly Memristive Neural Network With Three Memristive Systems: Modeling, Dynamic Analysis, and Application in Police IoT. IEEE Internet Things J. 2024, 11, 29878–29889. [Google Scholar] [CrossRef]
- Luo, D.; Wang, C.; Deng, Q.; Sun, Y. Dynamics in a memristive neural network with three discrete heterogeneous neurons and its application. Nonlinear Dyn. 2024, 113, 5811–5824. [Google Scholar] [CrossRef]
- Zhang, S.; Yao, W.; Xiong, L.; Wang, Y.; Tang, L.; Zhang, X.; Yu, F. A Hindmarsh–Rose neuron model with electromagnetic radiation control for the mechanical optimization design. Chaos Solitons Fractals 2024, 187, 115408. [Google Scholar] [CrossRef]
- Kong, X.; Yu, F.; Yao, W.; Cai, S.; Zhang, J.; Lin, H. Memristor-induced hyperchaos, multiscroll and extreme multistability in fractional-order HNN: Image encryption and FPGA implementation. Neural Netw. 2024, 171, 85–103. [Google Scholar] [CrossRef]
- Lai, Q.; Chen, Y. Design and encryption application of multi-scroll chain-loop memristive neural networks with initial-boosting coexisting attractors. Chaos Solitons Fractals 2024, 187, 115473. [Google Scholar] [CrossRef]
- Yang, F.; Ma, J.; Wu, F. Review on memristor application in neural circuit and network. Chaos Solitons Fractals 2024, 187, 115361. [Google Scholar] [CrossRef]
- Hong, Q.; Xiao, P.; Fan, R.; Du, S. Memristive neural network circuit design based on locally competitive algorithm for sparse coding application. Neurocomputing 2024, 578, 127369. [Google Scholar] [CrossRef]
- Lai, Q.; Guo, S. Heterogeneous coexisting attractors, large-scale amplitude control and finite-time synchronization of central cyclic memristive neural networks. Neural Netw. 2024, 178, 106412. [Google Scholar] [CrossRef] [PubMed]
- Tan, Y.; Wang, C. A simple locally active memristor and its application in HR neurons. Chaos Interdiscip. J. Nonlinear Sci. 2020, 30, 053118. [Google Scholar] [CrossRef]
- Xu, Q.; Liu, T.; Feng, C.T.; Bao, H.; Wu, H.G.; Bao, B.C. Continuous non-autonomous memristive Rulkov model with extreme multistability. Chin. Phys. B 2021, 30, 128702. [Google Scholar] [CrossRef]
- Chen, C.; Min, F.; Zhang, Y.; Bao, B. Memristive electromagnetic induction effects on Hopfield neural network. Nonlinear Dyn. 2021, 106, 2559–2576. [Google Scholar] [CrossRef]
- Wang, J.; Zhu, S.; Mu, C.; Liu, X.; Wen, S. Unified analysis on multistablity of fraction-order multidimensional-valued memristive neural networks. Neural Netw. 2024, 179, 106498. [Google Scholar] [CrossRef]
- Fan, H.; Chen, X.; Shi, K.; Liang, Y.; Wang, Y.; Wen, H. Mittag-Leffler synchronization in finite time for uncertain fractional-order multi-delayed memristive neural networks with time-varying perturbations via information feedback. Fractal Fract. 2024, 8, 422. [Google Scholar] [CrossRef]
- Zhang, S.; Tang, M.; Liu, X.; Zhang, X.M. Mittag–Leffler stability and stabilization of delayed fractional-order memristive neural networks based on a new Razumikhin-type theorem. J. Frankl. Inst. 2024, 361, 1211–1226. [Google Scholar] [CrossRef]
- Feng, W.; Wang, Q.; Liu, H.; Ren, Y.; Zhang, J.; Zhang, S.; Qian, K.; Wen, H. Exploiting newly designed fractional-order 3D Lorenz chaotic system and 2D discrete polynomial hyper-chaotic map for high-performance multi-image encryption. Fractal Fract. 2023, 7, 887. [Google Scholar] [CrossRef]
- Echenausía-Monroy, J.L.; Magallón-García, D.A.; Ontañón-García, L.J.; Rivera Rodriguez, R.; Pena Ramirez, J.; Álvarez, J. Does a Fractional-Order Recurrent Neural Network Improve the Identification of Chaotic Dynamics? Fractal Fract. 2024, 8, 632. [Google Scholar] [CrossRef]
- Ma, C.; Mou, J.; Yang, F.; Yan, H. A fractional-order hopfield neural network chaotic system and its circuit realization. Eur. Phys. J. Plus 2020, 135, 100. [Google Scholar] [CrossRef]
- Li, X.; Yang, X.; Ju, X. A novel fractional-order memristive Hopfield neural network for traveling salesman problem and its FPGA implementation. Neural Netw. 2024, 179, 106548. [Google Scholar] [CrossRef]
- Anzo-Hernández, A.; Zambrano-Serrano, E.; Platas-Garza, M.A.; Volos, C. Dynamic Analysis and FPGA Implementation of Fractional-Order Hopfield Networks with Memristive Synapse. Fractal Fract. 2024, 8, 628. [Google Scholar] [CrossRef]
- Venkatesh, J.; Pchelintsev, A.N.; Karthikeyan, A.; Parastesh, F.; Jafari, S. A fractional-order memristive two-neuron-based hopfield neuron network: Dynamical analysis and application for image encryption. Mathematics 2023, 11, 4470. [Google Scholar] [CrossRef]
- Yu, F.; Kong, X.; Chen, H.; Yu, Q.; Cai, S.; Huang, Y.; Du, S. A 6D fractional-order memristive Hopfield neural network and its application in image encryption. Front. Phys. 2022, 10, 847385. [Google Scholar] [CrossRef]
- Yu, F.; Lin, Y.; Xu, S.; Yao, W.; Gracia, Y.M.; Cai, S. Dynamic analysis and FPGA implementation of a new fractional-order hopfield neural network system under electromagnetic radiation. Biomimetics 2023, 8, 559. [Google Scholar] [CrossRef]
- Adhikari, S.P.; Sah, M.P.; Kim, H.; Chua, L.O. Three fingerprints of memristor. In Handbook of Memristor Networks; Springer: Berlin/Heidelberg, Germany, 2019; pp. 165–196. [Google Scholar]
- Leng, X.; Zhang, L.; Zhang, C.; Du, B. Modeling and complexity analysis of a fractional-order memristor conservative chaotic system. Phys. Scr. 2023, 98, 075206. [Google Scholar] [CrossRef]
- Leng, X.; Gu, S.; Peng, Q.; Du, B. Study on a four-dimensional fractional-order system with dissipative and conservative properties. Chaos Solitons Fractals 2021, 150, 111185. [Google Scholar] [CrossRef]















| e | p | Eigenvalues | Stabilities |
|---|---|---|---|
| 2 | 0.59 | −0.542 ± 5.705 | stable focus |
| 2 | 1.74 | 0.009 ± 5.672 | stable focus |
| 0.61 | 1.5 | −0.105 ± 5.684 | stable focus |
| 2.05 | 1.5 | −0.105 ± 5.684 | stable focus |
Disclaimer/Publisher’s Note: The statements, opinions and data contained in all publications are solely those of the individual author(s) and contributor(s) and not of MDPI and/or the editor(s). MDPI and/or the editor(s) disclaim responsibility for any injury to people or property resulting from any ideas, methods, instructions or products referred to in the content. |
© 2025 by the authors. Licensee MDPI, Basel, Switzerland. This article is an open access article distributed under the terms and conditions of the Creative Commons Attribution (CC BY) license (https://creativecommons.org/licenses/by/4.0/).
Share and Cite
Yu, F.; Zhang, S.; Su, D.; Wu, Y.; Gracia, Y.M.; Yin, H. Dynamic Analysis and Implementation of FPGA for a New 4D Fractional-Order Memristive Hopfield Neural Network. Fractal Fract. 2025, 9, 115. https://doi.org/10.3390/fractalfract9020115
Yu F, Zhang S, Su D, Wu Y, Gracia YM, Yin H. Dynamic Analysis and Implementation of FPGA for a New 4D Fractional-Order Memristive Hopfield Neural Network. Fractal and Fractional. 2025; 9(2):115. https://doi.org/10.3390/fractalfract9020115
Chicago/Turabian StyleYu, Fei, Shankou Zhang, Dan Su, Yiya Wu, Yumba Musoya Gracia, and Huige Yin. 2025. "Dynamic Analysis and Implementation of FPGA for a New 4D Fractional-Order Memristive Hopfield Neural Network" Fractal and Fractional 9, no. 2: 115. https://doi.org/10.3390/fractalfract9020115
APA StyleYu, F., Zhang, S., Su, D., Wu, Y., Gracia, Y. M., & Yin, H. (2025). Dynamic Analysis and Implementation of FPGA for a New 4D Fractional-Order Memristive Hopfield Neural Network. Fractal and Fractional, 9(2), 115. https://doi.org/10.3390/fractalfract9020115

