Fractal Analysis of Cement-Based Composite Microstructure and Its Application in Evaluation of Macroscopic Performance of Cement-Based Composites: A Review
Abstract
1. Introduction
2. Fractals and Test Methods Commonly Used in Fractal Field
2.1. Concept of Fractals
2.2. Test Methods Commonly Used in Fractal Field
2.2.1. Test Methods of Particle Distribution
- (1)
- Morphologi G3
- (2)
- Laser Granulometry

2.2.2. Test Methods of Pore Structure
- (1)
- Mercury intrusion porosimetry (MIP)
- (2)
- Nitrogen adsorption–desorption (NAD) method
- (3)
- Low-Temperature Differential Scanning Calorimetry (LT-DSC)
2.2.3. Test Methods of Fracture
- (1)
- Scanning electron microscope (SEM)
- (2)
- Computed Tomography (CT)
- (3)
- Projected fringe technique
- (4)
- Confocal microscope technique
3. Investigation of the Fractal Models of Cement-Based Composites
3.1. Fractal Dimension of Particle Distribution ()
- by combining Image Analysis System with Zhang’ Model
- by combining laser granulometry with Yu’s Model
- Comparative analysis of models
3.2. Fractal Dimension of Pore Structure
3.2.1. Fractal Dimension of Pore Surface ()
- by combining MIP with Neimark’s Model or Zhang’s Model
- by combining NAD with FHH Isotherm Equation
- by combining NAD with Liang’s model
- Comparative analysis of models
3.2.2. Fractal Dimension of Pore Volume ()
- by combining MIP with the Menger Sponge Model or Space-Filling Model
- by combining NAD with Liang’s model
- by combining LT-DSC with Liang’s model
- Comparative analysis of models
3.2.3. Fractal Dimension of Pore Tortuosity ()
- by combining Image Analysis techniques with the Box-counting Method
- by combining Computer simulation with Yu’s model
- Comparative analysis of models
3.3. Fractal Dimension of Fracture
3.3.1. Fractal Dimension of Crack ()
- by combining X-ray CT scanning test with Box-Counting model
- by combining X-ray CT scanning test with improved Box-Counting model
- Comparative analysis of models
3.3.2. Fractal Dimension of Fracture Surface ()
- by combining Projected Fringe Technique with Grid Scaling Method
- by combining SEM with the Box-counting Method
- by combining Confocal microscope with the Cube-counting method
- Comparative analysis of models
4. Application of Fractal Theory on Performance of Cement-Based Composites
4.1. Compressive Strength
4.1.1. Correlation between Particle Distribution and Compressive Strength of Specimens
4.1.2. Correlation between Pore Structure and Compressive Strength of Specimens
4.1.3. Correlation between Fracture and Compressive Strength of Specimens
4.2. Frost Resistance
4.2.1. Correlation between Pore Structure and Frost Resistance of Specimens
4.2.2. Correlation between Fracture and Frost Resistance of Specimens
4.3. Impermeability
4.3.1. Correlation between Pore Structure and Impermeability of Specimens
4.3.2. Correlation between Fracture and Impermeability of Specimens
4.4. Corrosion Resistance
4.5. High-Temperature Resistance
4.5.1. Correlation between Pore Structure and High-Temperature Resistance of Specimens
4.5.2. Correlation between Fracture and High-Temperature Resistance of Specimens
5. Conclusions and Outlook
Author Contributions
Funding
Data Availability Statement
Acknowledgments
Conflicts of Interest
References
- Chen, Z.; Luo, Q.; Jin, D.; Wang, Z. Numerical study of fractal analysis of crack propagation in concrete under different strain rates by meso-scale particle element modeling. Int. J. Impact Eng. 2023, 173, 104440. [Google Scholar] [CrossRef]
- Ji, Y.; Zou, Y.; Wan, X.; Li, W. Mechanical Investigation on Fiber-Doped Cementitious Materials. Polymers 2022, 14, 1663. [Google Scholar] [CrossRef] [PubMed]
- Yu, Y.; Zhang, C.; Xie, X.; Yousefi, A.M.; Zhang, G.; Li, J.; Samali, B. Compressive strength evaluation of cement-based materials in sulphate environment using optimized deep learning technology. Dev. Built Environ. 2023, 16, 100298. [Google Scholar] [CrossRef]
- Qu, P.; Llu, X.; Baleanu, D. Simulating chloride penetration in fly ash concrete by a fractal derivative model. Therm. Sci. 2019, 23, S67–S78. [Google Scholar] [CrossRef]
- Wang, B.; Guo, J.; Liu, J.; Wang, Q. Prediction method of permeability of textile-reinforced concrete based on fractal dimension theory. Constr. Build. Mater. 2022, 327, 126868. [Google Scholar] [CrossRef]
- Quy, N.X.; Noguchi, T.; Na, S.; Kim, J.; Hama, Y. Distribution Map of Frost Resistance for Cement-Based Materials Based on Pore Structure Change. Materials 2020, 13, 2509. [Google Scholar] [CrossRef]
- Dong, S.; Qin, L. Study on Evolution Law of Pore Structure and Frost Resistance of High-Performance Activated Cement-Based Composites in Severe Cold Area. J. Phys. Conf. Ser. 2022, 2348, 012017. [Google Scholar] [CrossRef]
- Ji, Y.; Zou, Y.; Ma, Y.; Wang, H.; Li, W.; Xu, W. Frost resistance investigation of fiber-doped cementitious composites. Materials 2022, 15, 2226. [Google Scholar] [CrossRef]
- Xiao, J.; Qu, W.; Jiang, H.; Li, L.; Huang, J.; Chen, L. Fractal characterization and mechanical behavior of pile-soil interface subjected to sulfuric acid. Fractals 2021, 29, 2140010. [Google Scholar] [CrossRef]
- Zhao, J.; Gao, X.; Chen, S.; Lin, H.; Li, Z.; Lin, X. Hydrophobic or superhydrophobic modification of cement-based materials: A systematic review. Compos. Part B Eng. 2022, 243, 110104. [Google Scholar] [CrossRef]
- Fu, Q.; Zhao, X.; Zhang, Z.; Xu, W.; Niu, D. Effects of nanosilica on microstructure and durability of cement-based materials. Powder Technol. 2022, 404, 117447. [Google Scholar] [CrossRef]
- Liu, P.; Cui, S.; Li, Z.; Xu, X.; Guo, C. Influence of surrounding rock temperature on mechanical property and pore structure of concrete for shotcrete use in a hot-dry environment of high-temperature geothermal tunnel. Constr. Build. Mater. 2019, 207, 329–337. [Google Scholar] [CrossRef]
- Shen, J.; Xu, Q.; Liu, M. Fractal analysis of defects in concrete under elevated temperatures. ACI Mater. J. 2022, 119, 19–34. [Google Scholar] [CrossRef]
- Gao, F.-F.; Tian, W.; Wang, W.-D. Residual impact resistance behavior of concrete containing carbon nanotubes after exposure to high temperatures. Constr. Build. Mater. 2023, 366, 130183. [Google Scholar] [CrossRef]
- Zhang, P.; Su, J.; Gao, Z.; Zhang, T. Effect of sand-precursor ratio on mechanical properties and durability of geopolymer mortar with manufactured sand. Rev. Adv. Mater. Sci. 2024, 63, 20230170. [Google Scholar] [CrossRef]
- Zhang, P.; Sun, Y.; Wu, J.; Hong, J.; Gao, Z. Mechanical properties and microstructure of nano-modified geopolymer concrete containing hybrid fibers after exposure to elevated temperature. Constr. Build. Mater. 2023, 409, 134044. [Google Scholar] [CrossRef]
- Zhu, X.; Bai, Y.; Chen, X.; Tian, Z.; Ning, Y. Evaluation and prediction on abrasion resistance of hydraulic concrete after exposure to different freeze-thaw cycles. Constr. Build. Mater. 2022, 316, 126055. [Google Scholar] [CrossRef]
- Sebsadji, S.K.; Chouicha, K. Fractal equations to represent optimized grain size distributions used for concrete mix design. Comput. Concr. 2020, 26, 505–513. [Google Scholar]
- Song, Z.; Lu, Y. Mesoscopic analysis of concrete under excessively high strain rate compression and implications on interpretation of test data. Int. J. Impact Eng. 2012, 46, 41–55. [Google Scholar] [CrossRef]
- Yang, X.; Wang, M. Fractal dimension analysis of aggregate packing process: A numerical case study on concrete simulation. Constr. Build. Mater. 2021, 270, 121376. [Google Scholar] [CrossRef]
- Nelkin, M. The fractal geometry of nature—Mandelbrot, BB. Bull. Am. Meteorol. Soc. 1984, 65, 1112. [Google Scholar]
- Shang, X.; Yang, J.; Wang, S.; Zhang, M. Fractal analysis of 2D and 3D mesocracks in recycled aggregate concrete using X-ray computed tomography images. J. Clean. Prod. 2021, 304, 127083. [Google Scholar] [CrossRef]
- Yin, Y.; Ren, Q.; Shen, L. Study on the effect of aggregate distribution on mechanical properties and damage cracks of concrete based on multifractal theory. Constr. Build. Mater. 2020, 262, 120086. [Google Scholar] [CrossRef]
- Wang, L.; Zeng, X.; Yang, H.; Lv, X.; Guo, F.; Shi, Y.; Hanif, A. Investigation and application of fractal theory in cement-based materials: A review. Fractal Fract. 2021, 5, 247. [Google Scholar] [CrossRef]
- Wang, L.; Guo, F.X.; Yang, H.M.; Wang, Y.; Tang, S.W. Comparison of fly ash, PVA fiber, MgO and shrinkage-reducing admixture on the frost resistance of face slab concrete via pore structural and fractal analysis. Fractals 2021, 29, 2140002. [Google Scholar] [CrossRef]
- Mohammed, R.; Kaddour, C. Porosity assessment of granular mixtures intended for concrete using the fractal model of particle-size distribution. Constr. Build. Mater. 2021, 293, 123492. [Google Scholar]
- Abdeldjalil, M.; Chouicha, K. Study of the prediction of the mechanical strength of concrete based on the fractal model of granular distribution. Constr. Build. Mater. 2022, 348, 128562. [Google Scholar] [CrossRef]
- Liu, B.; Ma, R.; Fan, H. Evaluation of the impact of freeze-thaw cycles on pore structure characteristics of black soil using X-ray computed tomography. Soil Tillage Res. 2021, 206, 104810. [Google Scholar] [CrossRef]
- Zeng, Q.; Li, K.; Fen-Chong, T.; Dangla, P. Surface fractal analysis of pore structure of high-volume fly-ash cement pastes. Appl. Surf. Sci. 2010, 257, 762–768. [Google Scholar] [CrossRef]
- Aili, A.; Maruyama, I. Review of Several Experimental Methods for Characterization of Micro- and Nano-Scale Pores in Cement-Based Material. Int. J. Concr. Struct. Mater. 2020, 14, 55. [Google Scholar] [CrossRef]
- Zhou, Z.-M.; Cheng, Z.-M.; Li, Z.; Yuan, W.-K. Determination of effectiveness factor of a partial internal wetting catalyst from adsorption measurement. Chem. Eng. Sci. 2004, 59, 4305–4311. [Google Scholar] [CrossRef]
- Zhang, A.; Ge, Y.; Yang, W.; Wang, G. New insight of solvent-replacement-induced damage to pores of cement stone by comparison with 1H NMR relaxometry, mercury intrusion porosimetry, and nitrogen adsorption. Constr. Build. Mater. 2023, 409, 133981. [Google Scholar] [CrossRef]
- Tanaka, S.; Sakai, Y. Estimation of actual pore-size distribution by inverse analysis of mercury intrusion. Constr. Build. Mater. 2023, 366, 130208. [Google Scholar] [CrossRef]
- Tibbetts, C.M.; Tao, C.; Paris, J.M.; Ferraro, C.C. Mercury intrusion porosimetry parameters for use in concrete penetrability qualification using the Katz-Thompson relationship. Constr. Build. Mater. 2020, 263, 119834. [Google Scholar] [CrossRef]
- Wang, Y.; Diamond, S. A fractal study of the fracture surfaces of cement pastes and mortars using a stereoscopic SEM method. Cem. Concr. Res. 2001, 31, 1385–1392. [Google Scholar] [CrossRef]
- Li, S.; Chao, W.; Li, W.; Cheng, J.; Yuan, B. Study on the effect of nanosilica suspension on the properties of cement-based grouts. Mater. Sci. 2022, 40, 171–182. [Google Scholar] [CrossRef]
- Zhang, L.; Dang, F.; Ding, W.; Zhu, L. Quantitative Study of Concrete Mesoscopic Damage Based on the Improved Differential Box Counting Method. J. Basic Sci. Eng. 2021, 29, 973–985. [Google Scholar]
- Zheng, D.; Song, W.; Fu, J.; Xue, G.; Li, J.; Cao, S. Research on mechanical characteristics, fractal dimension and internal structure of fiber reinforced concrete under uniaxial compression. Constr. Build. Mater. 2020, 258, 120351. [Google Scholar] [CrossRef]
- Lu, Q.; Qiu, Q.; Zheng, J.; Wang, J.; Zeng, Q. Fractal dimension of concrete incorporating silica fume and its correlations to pore structure, strength and permeability. Constr. Build. Mater. 2019, 228, 116986. [Google Scholar] [CrossRef]
- Jin, S.; Zhang, J.; Han, S. Fractal analysis of relation between strength and pore structure of hardened mortar. Constr. Build. Mater. 2017, 135, 1–7. [Google Scholar] [CrossRef]
- Tang, S.; Huang, J.; Duan, L.; Yu, P.; Chen, E. A review on fractal footprint of cement-based materials. Powder Technol. 2020, 370, 237–250. [Google Scholar] [CrossRef]
- Wen, H.J.; Peng, D.Y.; Wang, Z.J.; Gao, L.C. Application and development of fractal theory in the field of material science. J. Iron Steel Res. 2000, 12, 70–73. [Google Scholar]
- Altun, I.; Sahin, H.; Aslantas, M. A new approach to fractals via best proximity point. Chaos Solitons Fractals 2021, 146, 110850. [Google Scholar] [CrossRef]
- Guo, W.; Qin, H.; Chen, H.; Sun, W. Fractal theory and its applications in the study of concrete materials. J. Chin. Ceram. Soc. 2010, 38, 1362–1368. [Google Scholar]
- Liu, J. A novel computational approach for fractal nonlinear pochhammer-chree model. Fractals 2022, 30, 2250159. [Google Scholar] [CrossRef]
- Wang, K.-L.; Yao, S.-W.; Liu, Y.-P.; Zhang, L.-N. A fractal variational principle for the telegraph equation with fractal derivatives. Fractals 2020, 28, 2050058. [Google Scholar] [CrossRef]
- Zhang, P.; Gao, Z.; Shi, Y.; Lin, Y.; Li, J. Effect of large broken stone content on properties of roller compacted concrete based on fractal theory. Constr. Build. Mater. 2020, 262, 120821. [Google Scholar] [CrossRef]
- Duan, Q.; An, J.; Mao, H.; Liang, D.; Li, H.; Wang, S.; Huang, C. Review about the Application of Fractal Theory in the Research of Packaging Materials. Materials 2021, 14, 860. [Google Scholar] [CrossRef] [PubMed]
- Chu, H.; Ren, F.; Zheng, Z.; Gu, M. Study on granularity distribution of powder by fractal models. Fractals 2017, 25, 1740009. [Google Scholar] [CrossRef]
- Wu, W.; Liu, T.; Cha, Y. Application analysis of domestic laser particle size analyzer. Express Water Resour. Hydropower Inf. 2024, 1–7. [Google Scholar]
- Li, X.; Xie, K.; Huang, Z.; Zeng, H. Development and prospect of technique for laser particle size analyzer. Acta Petrol. Sin. 2009, 25, 146–148. [Google Scholar]
- Ding, G.; Chen, K. Application of laser particle size analyzer in the grain-size analysis of special soils. J. Yangtze River Sci. Res. Inst. 2023, 40, 1–8. [Google Scholar]
- Chen, J. Experimental study on the measurement of ultra-fine coal size. Rock Miner. Anal. 2004, 39, 183–186. [Google Scholar]
- Liu, S.; Zhang, Z.; Pan, Z.; Qu, Z. Introduction of laser particle size analyzer structure and characteristics. China Instrum. 2012, 32, 63–66. [Google Scholar]
- Rao, S.M.; Acharya, I.P. Mercury intrusion porosimetry studies with geopolymers. Indian Geotech. J. 2017, 47, 495–502. [Google Scholar] [CrossRef]
- Dewitt, G.; Glass, H.J. Reliability and reproducibility of mercury intrusion porosimetry. J. Eur. Ceram. Soc. 1997, 17, 753–757. [Google Scholar]
- Cebeci, O.Z. The intrusion of conical and spherical pores in mercury intrusion porosimetry. J. Colloid Interface Sci. 1980, 78, 383–388. [Google Scholar] [CrossRef]
- Winslow, D.N. The validity of high pressure mercury intrusion porosimetry. J. Colloid Interface Sci. 1978, 67, 42–47. [Google Scholar] [CrossRef]
- Abell, A.; Willis, K.; Lange, D. Mercury intrusion porosimetry and image analysis of cement-based materials. J. Colloid Interface Sci. 1999, 211, 39–44. [Google Scholar] [CrossRef]
- Zeng, Q.; Li, K.; Fen-Chong, T.; Dangla, P. Pore structure of cement pastes through NAD and MIP analysis. Adv. Cem. Res. 2016, 28, 23–32. [Google Scholar] [CrossRef]
- Meng, J.; Wang, Y.; Zhang, Q.; Ye, G.; Zhou, X. Pore network model of low-temperature nitrogen adsorption-desorption in mesoporous materials. CIESC J. 2023, 74, 893–903. [Google Scholar]
- Aligizaki, K.K.; Cady, P.D. Air content and size distribution of air voids in hardened cement pastes using the section-analysis method. Cem. Concr. Res. 1999, 29, 273–280. [Google Scholar] [CrossRef]
- Bentz, D.P. Capillary porosity depercolation/repercolation in hydrating cement pastes via low-temperature calorimetry measurements and CEMHYD3D modeling. J. Am. Ceram. Soc. 2006, 89, 2606–2611. [Google Scholar] [CrossRef]
- Ridi, F.; Luciani, P.; Fratini, E.; Baglioni, P. Water confined in cement pastes as a probe of cement microstructure evolution. J. Phys. Chem. B. 2009, 113, 3080–3087. [Google Scholar] [CrossRef] [PubMed]
- Vollet, D.R.; Donatti, D.A.; Ruiz, A.I.; Gatto, F.R. Mass fractal characteristics of wet sonogels as determined by small-angle X-ray scattering and differential scanning calorimetry. Phys. Rev. B. 2006, 74, 024208. [Google Scholar] [CrossRef]
- Ridi, F.; Fratini, E.; Baglioni, P. Fractal structure evolution during cement hydration by differential scanning calorimetry: Effect of organic additives. J. Phys. Chem. C. 2013, 117, 25478–25487. [Google Scholar] [CrossRef]
- Ishikiriyama, K.; Todoki, M.; Motomura, K. Pore size distribution (PSD) measurements of silica-gels by means of differential scanning calorimetry optimization for determination of PSD. J. Colloid Interface Sci. 1995, 171, 92–102. [Google Scholar] [CrossRef]
- Irico, S.; Gastaldi, D.; Canonico, F.; Magnacca, G. Investigation of the microstructural evolution of calcium sulfoaluminate cements by thermoporometry. Cem. Concr. Res. 2013, 53, 239–247. [Google Scholar] [CrossRef]
- Friel, J.; Pande, C. A direct determination of fractal dimension of fracture surfaces using scanning electron-microscopy and stereoscopy. J. Mater. Res. 1993, 8, 100–104. [Google Scholar] [CrossRef]
- Zhang, M.; Jivkov, A.P. Micromechanical modelling of deformation and fracture of hydrating cement paste using X-ray computed tomography characterisation. Compos. B Eng. 2016, 88, 64–72. [Google Scholar] [CrossRef]
- Zhou, J.; He, X.; Zhang, L. CT characteristic analysis of sea-sand concrete exposed in simulated marine environment. Constr. Build. Mater. 2021, 268, 121170. [Google Scholar] [CrossRef]
- Nitka, M.; Tejchman, J. A three-dimensional meso-scale approach to concrete fracture based on combined DEM with X-ray CT images. Cem. Concr. Res. 2018, 107, 11–29. [Google Scholar] [CrossRef]
- Skarzynski, L.; Tejchman, J. Experimental investigations of damage evolution in concrete during bending by continuous micro-CT scanning. Mater. Charact. 2019, 154, 40–52. [Google Scholar] [CrossRef]
- Shang, X.Y.; Yang, J.W.; Li, J.S. Fractal characteristics of meso-failure crack in recycled coarse aggregate concrete based on CT image. Acta Mater. Compos. Sin. 2020, 37, 1774–1784. [Google Scholar]
- Su, W.; Chen, S. Error-corrected fringe discrimination using nonary-encoded patterns for phase-shifting projected fringe profilometry. Opt. Lasers Eng. 2021, 141, 106554. [Google Scholar] [CrossRef]
- Mechtcherine, V. Fracture mechanical behavior of concrete and the condition of its fracture surface. Cem. Concr. Res. 2009, 39, 620–628. [Google Scholar] [CrossRef]
- Ficker, T. Fractal strength of cement gels and universal dimension of fracture surfaces. Theor. Appl. Fract. Mech. 2008, 50, 167–171. [Google Scholar] [CrossRef]
- Wilson, T.; Masters, B.R. Confocal microscopy—Introduction. Appl. Opt. 1994, 33, 565–566. [Google Scholar] [CrossRef]
- Pacheco, S.; Liang, R. Multifocal confocal spectral microscope. In Proceedings of the Conference on Design and Quality for Biomedical Technologies VIII, San Francisco, CA, USA, 7–8 February 2015. [Google Scholar]
- Zhang, Y.; Kong, X.; Gao, L.; Bai, Y. Characterization of the mesostructural organization of cement particles in fresh cement paste. Constr. Build. Mater. 2016, 124, 1038–1050. [Google Scholar] [CrossRef]
- Yu, K.; Zheng, Z.S. Fractal study on granularity distribution of powder. Mater. Sci. Eng. 1995, 13, 30–34. [Google Scholar]
- Neimark, A. A new approach to the determination of the surface fractal dimension of porous solids. Phys. A 1992, 191, 258–262. [Google Scholar] [CrossRef]
- Jaroniec, M. Evaluation of the fractal dimension from a single adsorption-isotherm. Langmuir 1995, 11, 2316–2317. [Google Scholar] [CrossRef]
- Tang, S.; He, Z.; Cai, X.; Cai, R.; Zhou, W.; Li, Z.; Shao, H.; Wu, T.; Chen, E. Volume and surface fractal dimensions of pore structure by NAD and LT-DSC in calcium sulfoaluminate cement pastes. Constr. Build. Mater. 2017, 143, 395–418. [Google Scholar] [CrossRef]
- Liang, M.; Yang, S.; Miao, T.; Yu, B. Analysis of electroosmotic characters in fractal porous media. Chem. Eng. Sci. 2015, 127, 202–209. [Google Scholar] [CrossRef]
- Ji, X.; Chan, S.; Feng, N. Fractal model for simulating the space-filling process of cement hydrates and fractal dimensions of pore structure of cement-based materials. Cem. Concr. Res. 1997, 27, 1691–1699. [Google Scholar] [CrossRef]
- Han, X.; Wang, B.; Feng, J. Relationship between fractal feature and compressive strength of concrete based on MIP. Constr. Build. Mater. 2022, 322, 126504. [Google Scholar] [CrossRef]
- Yu, B.; Cheng, P. A fractal permeability model for bi-dispersed porous media. Int. J. Heat Mass Transf. 2002, 45, 2983–2993. [Google Scholar] [CrossRef]
- Yu, P.; Duan, Y.H.; Chen, E.; Tang, S.W.; Wang, X.R. Microstructure-based fractal models for heat and mass transport properties of cement paste. Int. J. Heat Mass Transf. 2018, 126, 432–447. [Google Scholar] [CrossRef]
- Cao, T.; Wang, W.; Tighe, S.; Wang, S. Crack image detection based on fractional differential and fractal dimension. IET Comput. Vis. 2019, 13, 79–85. [Google Scholar] [CrossRef]
- Tang, M.; Ba, H. Study on fractal characteristics and activity of superfine fly ash. Mater. Sci. Technol. 2002, 10, 89–92. [Google Scholar]
- Moskovits, M. The fractal nature of particle-size distributions of ground clinker. Cem. Concr. Res. 1990, 20, 499–505. [Google Scholar] [CrossRef]
- Zhang, B.; Li, S. Determination of the surface fractal dimension for porous-media by mercury porosimetry. Ind. Eng. Chem. Res. 1995, 34, 1383–1386. [Google Scholar] [CrossRef]
- Pfeifer, P.; Avnir, D. Chemistry in noninteger dimensions between 2 and 3 fractal theory of heterogeneous surfaces. J. Chem. Phys. 1983, 79, 3558–3565. [Google Scholar] [CrossRef]
- Avnir, D.; Jaroniec, M. An isotherm equation for adsorption on fractal surfaces of heterogeneous porous materials. Langmuir 1989, 5, 1431–1433. [Google Scholar] [CrossRef]
- Lan, X.-L.; Zeng, X.-H.; Zhu, H.-S.; Long, G.-C.; Xie, Y.-J. Experimental investigation on fractal characteristics of pores in air-entrained concrete at low atmospheric pressure. Cem. Concr. Compos. 2022, 130, 104509. [Google Scholar] [CrossRef]
- Li, L.; Li, Z.; Cao, M.; Tang, Y.; Zhang, Z. Nanoindentation and porosity fractal dimension of Calcium Carbonate Whisker reinforced cement paste after elevated temperatures (up to 900 °C). Fractals 2021, 29, 2140001. [Google Scholar] [CrossRef]
- Zarnaghi, V.N.; Fouroghi-Asl, A.; Nourani, V.; Ma, H. On the pore structures of lightweight self-compacting concrete containing silica fume. Constr. Build. Mater. 2018, 193, 557–564. [Google Scholar] [CrossRef]
- Zhuang, N.; Dong, H.; Zhou, Y.; Chen, D. Cracking behavior of reinforced concrete piles externally bonded with carbon fiber reinforced polymer in a marine environment. Constr. Build. Mater. 2018, 190, 1154–1162. [Google Scholar] [CrossRef]
- Yin, Y.; Ren, Q.; Shen, L.; Han, Y. Study on crack propagation and damage evolution process of concrete based on fractal dimension. J. Hydraul. Eng. ASCE 2021, 52, 1270–1280. [Google Scholar]
- Erdem, S.; Blankson, M.A. Fractal-fracture analysis and characterization of impact-fractured surfaces in different types of concrete using digital image analysis and 3D nanomap laser profilometery. Constr. Build. Mater. 2013, 40, 70–76. [Google Scholar] [CrossRef]
- Ficker, T. Fracture surfaces and compressive strength of hydrated cement pastes. Constr. Build. Mater. 2012, 27, 197–205. [Google Scholar] [CrossRef]
- Erdem, S.; Hanbay, S.; Blankson, M.A. Self-sensing damage assessment and image-based surface crack quantification of carbon nanofibre reinforced concrete. Constr. Build. Mater. 2017, 134, 520–529. [Google Scholar] [CrossRef]
- Szelag, M. Fractal characterization of thermal cracking patterns and fracture zone in low-alkali cement matrix modified with microsilica. Cem. Concr. Compos. 2020, 114, 103732. [Google Scholar] [CrossRef]
- Li, L.; Sun, H.-X.; Zhang, Y.; Yu, B. Surface cracking and fractal characteristics of bending fractured polypropylene fiber-reinforced geopolymer mortar. Fractal Fract. 2021, 5, 142. [Google Scholar] [CrossRef]
- Liu, J.; Jiang, R.; Sun, J.; Shi, P.; Yang, Y. Concrete damage evolution and three-dimensional reconstruction by integrating CT test and fractal theory. J. Mater. Civ. Eng. 2017, 29, 04017122. [Google Scholar] [CrossRef]
- Li, Z.; Hao, P.; Liu, H.; Xu, J. Effect of cement on the strength and microcosmic characteristics of cold recycled mixtures using foamed asphalt. J. Clean. Prod. 2019, 230, 956–965. [Google Scholar] [CrossRef]
- Zhu, D.; Tang, A.; Wan, C.; Zeng, Y.; Wang, Z. Investigation on the flexural toughness evaluation method and surface cracks fractal characteristics of polypropylene fiber reinforced cement-based composites. J. Build. Eng. 2021, 43, 103045. [Google Scholar] [CrossRef]
- Na, J.; Jia, G.; Wei, W.; Jun, W. Three-dimensional characterization of wood surface roughness with improved differential Box-counting. J. Northeast For. Univ. 2019, 47, 76–80. [Google Scholar]
- Sarkar, N.; Chaudhuri, B. An efficient differential box-counting approach to compute fractal dimension of image. IEEE Trans. Syst. Man Cybern. 1994, 24, 115–120. [Google Scholar] [CrossRef]
- Peng, J.; Wu, Z.; Zhao, G. Fractal analysis of fracture in concrete. Theor. Appl. Fract. Mech. 1997, 27, 135–140. [Google Scholar] [CrossRef]
- Santos, S.F.; Rodrigues, J.D.A. Correlation between fracture toughness, work of fracture and fractal dimensions of Alumina-mullite-zirconia composites. Mater. Res. 2003, 6, 219–226. [Google Scholar] [CrossRef]
- Mecholsky, J.J., Jr. Estimating theoretical strength of brittle materials using fractal geometry. Mater. Lett. 2006, 60, 2485–2488. [Google Scholar] [CrossRef]
- Zhang, P.; Sun, X.; Wei, J.; Wang, J.; Gao, Z. Influence of PVA fibers on the durability of cementitious composites under the wet-heat-salt coupling environment. Rev. Adv. Mater. Sci. 2023, 62, 20230155. [Google Scholar] [CrossRef]
- Li, Y.; Wang, P.; Wang, F.; Zheng, X.; Gao, Y. Compressive strength and composite pore structure parameters of iron ore tailings ball concrete. Constr. Build. Mater. 2022, 347, 128611. [Google Scholar] [CrossRef]
- Wang, L.; Jin, M.; Wu, Y.; Zhou, Y.; Tang, S. Hydration, shrinkage, pore structure and fractal dimension of silica fume modified low heat Portland cement-based materials. Constr. Build. Mater. 2021, 272, 121952. [Google Scholar] [CrossRef]
- Wang, L.; Jin, M.M.; Guo, F.X.; Wang, Y.; Tang, S.W. Pore structural and fractal analysis of the influence of fly ash and silica fume on the mechanical property and abrasion resistance of concrete. Fractals 2021, 29, 2140003. [Google Scholar] [CrossRef]
- Sun, J.; Wen, Z.H.; Liao, H.F. Investigation on compressive strength of fiber reinforced concrete subjected to the coupling effects of freeze-thaw cycling and loading utilizing fractal theory. Acta Mater. Compos. Sin. 2024, 34, 1–10. [Google Scholar]
- Volchuk, V.M.; Kotov, M.A. Fractal express methods evaluation of a breaking stress of concrete. J. Phys. Conf. Ser. 2021, 1926, 012023. [Google Scholar] [CrossRef]
- Yang, X.; Li, L.; Dai, H.; Jia, M. Effect of fractal dimension in concrete meso-Structure on its axial mechanical behavior: A numerical case study. Fractals 2021, 29, 2140011. [Google Scholar] [CrossRef]
- Abdeldjalil, M.; Chouicha, K. Effect of the cement-to-water ratio and fractal granular model on the prediction of concretes compressive strength. Int. J. Concr. Struct. Mater. 2022, 16, 43. [Google Scholar] [CrossRef]
- Jin, S.; Zheng, G.; Yu, J. A micro freeze-thaw damage model of concrete with fractal dimension. Constr. Build. Mater. 2020, 257, 119434. [Google Scholar] [CrossRef]
- Sun, H.R.; Zou, C.X.; Xue, H.J.; Zhao, Q.; Wu, J. Fractal characteristics of dry-wet and freeze-thaw erosion pore structure of mold-bag concrete. J. Build. Mater. 2022, 25, 124–130. [Google Scholar]
- Li, J.; Wang, F.; Yi, F.; Ma, J.; Lin, Z. Fractal analysis of the fracture evolution of freeze-thaw damage to asphalt concrete. Materials 2019, 12, 2288. [Google Scholar] [CrossRef] [PubMed]
- Wang, L.; Song, X.; Yang, H.; Wang, L.; Tang, S.; Wu, B.; Mao, W. Pore structural and fractal analysis of the effects of MgO reactivity and dosage on permeability and F-T resistance of concrete. Fractal Fract. 2022, 6, 113. [Google Scholar] [CrossRef]
- Ding, X.; Liang, X.; Zhang, Y.; Fang, Y.; Zhou, J.; Kang, T. Capillary water absorption and micro pore connectivity of concrete with fractal analysis. Crystals 2020, 10, 892. [Google Scholar] [CrossRef]
- Shao, J.; Zhu, H.; Haruna, S.I.; Xue, G. Durability and Fractal Analysis of Pore Structure of Crumb Rubber Concrete Modified with Carbon Nanotubes. Arab. J. Sci. Eng. 2023, 48, 12959–12976. [Google Scholar] [CrossRef]
- Zhang, G.; Chen, Y.; Lu, H.; Li, X. Fractal characteristics of fiber lithium slag concrete cracks under sulfate attack. Chin. J. Eng. 2022, 44, 208–216. [Google Scholar]
- Ji, H.; Jiang, H.; Zhao, R.; Tian, Y.; Jin, X.; Jin, N.; Tong, J. Fractal characteristics of corrosion-induced cracks in reinforced concrete. Materials 2020, 13, 3715. [Google Scholar] [CrossRef] [PubMed]
- Xiao, J.; Qu, W.; Jiang, H.; Dong, W. Three-dimensional fractal characterization of concrete surface subjected to sulfuric acid attacks. J. Nondestruct. Eval. 2020, 39, 57. [Google Scholar] [CrossRef]
- Xiao, J.; Long, X.; Li, L.; Jiang, H.; Zhang, Y.; Qu, W. Study on the influence of three factors on mass loss and surface fractal dimension of concrete in sulfuric acid environments. Fractal Fract. 2021, 5, 146. [Google Scholar] [CrossRef]
- Li, L.; Zhang, Y.; Shi, Y.; Xue, Z.; Cao, M. Surface cracking and fractal characteristics of cement paste after exposure to high temperatures. Fractal Fract. 2022, 6, 465. [Google Scholar] [CrossRef]
- Boukli Hacene, S.M.A.; Ghomari, F.; Schoefs, F.; Khelidj, A. Probabilistic modelling of compressive strength of concrete using response surface methodology and neural networks. Arab. J. Sci. Eng. 2014, 39, 4451–4460. [Google Scholar] [CrossRef]
- Jin, S.; Zhang, J.; Chen, C.; Chen, W. Study of pore fractal characteristic of cement mortar. J. Build. Mater. 2011, 14, 92–97, 105. [Google Scholar]
- Ding, C.; Xu, T.; Chen, Q.; Su, C.; Zhao, P. Study on the Relationship between Fractal Characteristics and Mechanical Properties of Tensile Fracture of Reinforced Concrete Structures. KSCE J. Civ. Eng. 2022, 26, 2225–2233. [Google Scholar] [CrossRef]
- Şahmaran, M.; Özbay, E.; Yücel, H.E.; Lachemi, M.; Li, V.C. Frost resistance and microstructure of engineered cementitious composites: Influence of fly ash and micro poly-vinyl-alcohol fiber. Cem. Concr. Compos. 2012, 34, 156–165. [Google Scholar] [CrossRef]
- Gao, P.-W.; Wu, S.-X.; Lin, P.-H.; Wu, Z.-R.; Tang, M.-S. The characteristics of air void and frost resistance of RCC with fly ash and expansive agent. Constr. Build. Mater. 2006, 20, 586–590. [Google Scholar] [CrossRef]
- Li, L.; He, Z.; Liu, W.; Hu, C. A study on the application of rock asphalt from Sichuan China based on anti-rutting performance. Appl. Sci. 2019, 9, 870. [Google Scholar] [CrossRef]
- Teltayev, B.B.; Rossi, C.O.; Izmailova, G.G.; Amirbayev, E.D. Effect of freeze-thaw cycles on mechanical characteristics of bitumens and stone mastic asphalts. Appl. Sci. 2019, 9, 458. [Google Scholar] [CrossRef]
- Neville, A. Consideration of durability of concrete structures: Past, present, and future. Mater. Struct. 2001, 34, 114–118. [Google Scholar] [CrossRef]
- Basheer, L.; Cleland, D.J. Durability and water absorption properties of surface treated concretes. Mater. Struct. 2011, 44, 957–967. [Google Scholar] [CrossRef]
- Chen, Y.; Cen, G.; Cui, Y. Comparative study on the effect of synthetic fiber on the preparation and durability of airport pavement concrete. Constr. Build. Mater. 2018, 184, 34–44. [Google Scholar] [CrossRef]
- Zhao, X.-L.; Wei, J.; Liu, Z.-K. Durability of concrete under multi-damage action. J. Wuhan Univ. Technol. Mat. Sci. Ed. 2004, 19, 73–75. [Google Scholar] [CrossRef]
- Zheng, J.-J.; Wong, H.S.; Buenfeld, N.R. Assessing the influence of ITZ on the steady-state chloride diffusivity of concrete using a numerical model. Cem. Concr. Res. 2009, 39, 805–813. [Google Scholar] [CrossRef]
- Ding, Y.; Ma, Y.; Hao, X. Investigation on effect of crack geometry on permeability of fiber/concrete based on fractal theory. Acta Mater. Compos. Sin. 2020, 37, 2908–2916. [Google Scholar]
- Katz, A.J.; Thompson, A.H. Quantitative prediction of permeability in porous rock. Phys. Rev. B 1986, 34, 8179–8181. [Google Scholar] [CrossRef]
- Fan, Y.F.; Hu, Z.Q.; Zhang, Y.Z.; Liu, J.L. Deterioration of compressive property of concrete under simulated acid rain environment. Constr. Build. Mater. 2010, 24, 1975–1983. [Google Scholar] [CrossRef]
- Xiao, J.; Long, X.; Qu, W.; Li, L.; Jiang, H.; Zhong, Z. Influence of sulfuric acid corrosion on concrete stress-strain relationship under uniaxial compression. Measurement 2022, 187, 110318. [Google Scholar] [CrossRef]
- Su, J.; Zhang, P.; Guo, J.; Zheng, Y. Effect of PVA fibers on durability of nano-SiO2 reinforced cement-based composites subjected to wet-thermal and chloride salt-coupled environment. Nanotechnol. Rev. 2023, 12, 20230140. [Google Scholar] [CrossRef]
- Wang, L.; Bao, J. Investigation on chloride penetration into unsaturated concrete under short-term sustained tensile loading. Mater. Struct. 2017, 50, 227. [Google Scholar] [CrossRef]
- Xu, Y.; Qian, C.; Bian, L.; Chen, Y. Fractal based characterization of nonuniform corroded surface profile in steel bars. J. Basic Sci. Eng. 2012, 20, 296–303. [Google Scholar]
- Kristoffersen, M.; Minoretti, A.; Børvik, T. On the internal blast loading of submerged floating tunnels in concrete with circular and rectangular cross-sections. Eng. Fail. Anal. 2019, 103, 462–480. [Google Scholar] [CrossRef]
- Georgali, B.; Tsakiridis, P.E. Microstructure of fire-damaged concrete. A case study. Cem. Concr. Compos. 2005, 27, 255–259. [Google Scholar] [CrossRef]
- Fernandes, B.; Gil, A.M.; Bolina, F.L.; Tutikian, B.F. Microstructure of concrete subjected to elevated temperatures: Physico-chemical changes and analysis techniques. IBRACON Struct. Mater. J. 2017, 10, 838–863. [Google Scholar] [CrossRef]
- Fan, Y.N.; Du, H.X.; Shi, L.N. The fractal characteristics of C80 high performance concrete pore structure subject to high temperatures. In Proceedings of the 4th International Workshop on Renewable Energy and Development (IWRED), Electr Network, Sanya, China, 24–26 April 2020; Volume 510. [Google Scholar]
- Xie, H. The fractal effect of irregularity of crack branching on the fracture-toughness of brittle materials. Int. J. Fract. 1994, 65, R71–R75. [Google Scholar] [CrossRef]

























| Type | Physical Meaning | Test Methods | Models | Refs. | |
|---|---|---|---|---|---|
| Fractal dimension of particle distribution | Distribution of powder or particles in freshly mixed cement slurry | Image analysis system; Laser granulometry | Zhang’s model; Yu’s model | [80,81] | |
| Fractal dimension of pore structure | The roughness and irregularity of pore surfaces | MIP; NAD | Neimark’s model; Liang’s model; FHH isotherm equation | [82,83,84,85] | |
| Pore volume distribution | MIP; NAD; LT-DSC | Menger sponge model; Liang’s model | [84,86,87] | ||
| Degree of curvature of the capillary path | Image analysis techniques; Computer simulation | Box-counting method; Yu’s model | [88,89] | ||
| Fractal dimension of fracture | Distribution of concrete cracks | X-ray CT scanning test | Box-counting method; Improved box-counting model | [22,90] | |
| Fracture surface roughness | Projected fringe technique; SEM; Confocal microscope | Grid scaling method; Box-counting method; Cube-counting method | [39,76] | ||
| Researchers | Test Methods | Models | Equation Derived | Range |
|---|---|---|---|---|
| Zhang et al. [80] | Morphologi G3 | Zhang’ Model | / | |
| Yu et al. [81]; Chu et al. [49] | laser granulometry | Yu’s Model | 0–3 |
| Researchers | Test Methods | Models | Equation Derived | Range |
|---|---|---|---|---|
| Neimark et al. [82] | MIP | Neimark’s model | 2–3 | |
| Zhang et al. [93] | Zhang’s model | 2–3 | ||
| Liang et al. [84,85] | NAD | Liang’s model | 0–2 | |
| Wang et al. [24,60,83,95] | FHH isotherm equation | 0–3 |
| Researchers | Test Methods | Models | Equation Derived | Range |
|---|---|---|---|---|
| Li et al. [97]; Zarnaghi et al. [98] | MIP | Menger Sponge Model | 2–3 | |
| Ji et al. [86] | Menger Sponge Model | 2–3 | ||
| Ji et al. [86] | Space-Filling Model | 0–3 | ||
| Tang et al. [84]; Liang et al. [85] | NAD | Liang’s Model | ; | 0–2 |
| Tang et al. [84] | LT-DSC | Liang’s Model | ; | 1–5 |
| Researchers | Test Methods | Models | Equation Derived | Range |
|---|---|---|---|---|
| Tang et al. [84] | Image analysis systems | Box-counting Method | The slope of the straight line ) | / |
| Yu et al. [89] | Computer simulation | Yu’s Model | 1–2 |
| Researchers | Test Methods | Models | Equation Derived | Range |
|---|---|---|---|---|
| Shang et al. [22] | X-ray CT Scanning Test | Box-Counting Method | / | |
| Nitka and Tejchman et al. [72] | X-ray CT Scanning Test | Improved Box-Counting Model | / |
| Researchers | Test Methods | Models | Equation Derived | Range |
|---|---|---|---|---|
| Mechtcherine et al. [76] | Projected Fringe Technique | Grid scaling method | Around 2 | |
| Lu et al. [39] | SEM | Box-counting method | 2.57–2.80 | |
| Mechtcherine et al. [76] | Confocal Microscope | Cube-counting method | Around 2 |
| Macroscopic Properties | Fractal Dimension Type | Researcher | Material Type | Correlations |
|---|---|---|---|---|
| Compressive strength | Han et al. [87] | Ordinary Portland cement | Positive | |
| Zarnaghi et al. [98] | Lightweight self-compacting concrete | |||
| Li et al. [97] | High-temperature-treated cement slurry | Negative | ||
| Jin et al. [40] | Cement mortar | Positive | ||
| Wang et al. [116] | Silica-fume-modified silicate cementitious materials | |||
| Wang et al. [117] | Concrete materials mixed with silica fume and fly ash | |||
| Lu et al. [39] | Silica-fume-modified concrete | Negative | ||
| Sun et al. [118] | Fiber-reinforced concrete | Negative | ||
| Volchuk et al. [119] | Portland cement | / | ||
| Zheng et al. [38] | Glass-fiber-reinforced concrete | Negative | ||
| Yang et al. [120] | Concrete | Negative | ||
| Abdeldhalil et al. [27,121] | 99 granular mixtures of concrete composition | / | ||
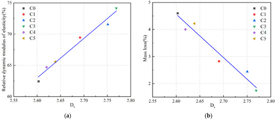
| Frost resistance | Jin et al. [122] | Ordinary Portland cement | Positive | |
| Sun et al. [123] | Mold-bag concrete | |||
| Wang et al. [25] | Face slab concrete | |||
| Li et al. [124] | Asphalt concrete | Negative | ||
| Impermeability | Wang et al. [125] | P·I Portland cement | Positive | |
| Wang et al. [5] | Textile-reinforced concrete | / | ||
| Ding et al. [126] | Ordinary Portland cement | / | ||
| Shao et al. [127] | Crumb rubber concrete modified with carbon nanotubes | / | ||
| Lu et al. [39] | Concrete incorporating silica fume | / | ||
| Corrosion resistance | Zhang et al. [128] | Fiber lithium slag concrete | / | |
| Ji et al. [129] | Reinforced concrete | / | ||
| Xiao et al. [130,131] | Local Portland cement | Negative | ||
| High-temperature resistance | Li et al. [132] | Cement paste | Negative | |
| Li et al. [97] | Calcium carbonate-whisker-reinforced cement paste | / | ||
| Gao et al. [14] | Concrete containing carbon nanotubes | Negative |
Disclaimer/Publisher’s Note: The statements, opinions and data contained in all publications are solely those of the individual author(s) and contributor(s) and not of MDPI and/or the editor(s). MDPI and/or the editor(s) disclaim responsibility for any injury to people or property resulting from any ideas, methods, instructions or products referred to in the content. |
© 2024 by the authors. Licensee MDPI, Basel, Switzerland. This article is an open access article distributed under the terms and conditions of the Creative Commons Attribution (CC BY) license (https://creativecommons.org/licenses/by/4.0/).
Share and Cite
Zhang, P.; Ding, J.; Guo, J.; Wang, F. Fractal Analysis of Cement-Based Composite Microstructure and Its Application in Evaluation of Macroscopic Performance of Cement-Based Composites: A Review. Fractal Fract. 2024, 8, 304. https://doi.org/10.3390/fractalfract8060304
Zhang P, Ding J, Guo J, Wang F. Fractal Analysis of Cement-Based Composite Microstructure and Its Application in Evaluation of Macroscopic Performance of Cement-Based Composites: A Review. Fractal and Fractional. 2024; 8(6):304. https://doi.org/10.3390/fractalfract8060304
Chicago/Turabian StyleZhang, Peng, Junyao Ding, Jinjun Guo, and Fei Wang. 2024. "Fractal Analysis of Cement-Based Composite Microstructure and Its Application in Evaluation of Macroscopic Performance of Cement-Based Composites: A Review" Fractal and Fractional 8, no. 6: 304. https://doi.org/10.3390/fractalfract8060304
APA StyleZhang, P., Ding, J., Guo, J., & Wang, F. (2024). Fractal Analysis of Cement-Based Composite Microstructure and Its Application in Evaluation of Macroscopic Performance of Cement-Based Composites: A Review. Fractal and Fractional, 8(6), 304. https://doi.org/10.3390/fractalfract8060304

