Local Stability, Global Stability, and Simulations in a Fractional Discrete Glycolysis Reaction–Diffusion Model
Abstract
1. Introduction
2. Preliminaries
3. The Fractional Discrete Glycolysis Reaction–Diffusion System
4. Local Stability
4.1. Local Stability of the Free Diffusions System
- If and
- If and
- If , it is evident that . Thus, the sign of determines the eigenvalues’ negativity, and the eigenvalues and are real and may be expressed as
- -
- If , we haveHence, . The two eigenvalues are real; therefore, As a result, is asymptotically stable according to Theorem 2.
- -
- If , then we haveTherefore, , and based on Theorem 2, system (15) is unstable.
- If , thenWe may examine the solutions relying on the sign of .
- If , it is impossible for to equal zero, since . The sign of the eigenvalues and that of are the same. As a consequence, is unstable if , and it is asymptotically stable for all , if .
4.2. Local Stability of the Diffusion System
- If and
- If and ,and in addition, the eigenvaluessatisfy
- If , then , and the two solutions of the equation are both negative. Thus, , and the roots of (31) areIt should be noted that the solutions are real, and In addition, if , then This leads towhich ensures is asymptotic stability.
- If , we have This returns us to the previous scenario Again, for hence, and are negative and must meet the conditions of Theorem 2.
5. Global Stability
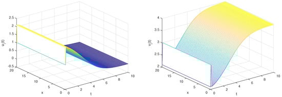
6. Simulations
7. Conclusions
Author Contributions
Funding
Data Availability Statement
Conflicts of Interest
References
- Mojikon, F.D.; Kasimin, M.E.; Molujin, A.M.; Gansau, J.A.; Jawan, R. Probiotication of Nutritious Fruit and Vegetable Juices: An Alternative to Dairy-Based Probiotic Functional Products. Nutrients 2022, 14, 3457. [Google Scholar] [CrossRef] [PubMed]
- Romano, A.H.; Conway, T. Evolution of carbohydrate metabolic pathways. Res. Microbiol. 1996, 147, 448. [Google Scholar] [CrossRef] [PubMed]
- Ouannas, A.; Batiha, I.M.; Bekiros, S.; Liu, J.; Jahanshahi, H.; Aly, A.A.; Alghtani, A.H. Synchronization of the glycolysis reaction-diffusion model via linear control law. Entropy 2021, 23, 1516. [Google Scholar] [CrossRef] [PubMed]
- Ahmed, N.; Ss, T.; Imran, M.; Rafiq, M.; Rehman, M.A.; Younis, M. Numerical analysis of auto-catalytic glycolysis model. AIP Adv. 2019, 9, 085213. [Google Scholar] [CrossRef]
- Al Noufaey, K.S. Stability analysis for Selkov-Schnakenberg reaction-diffusion system. Open Math. 2021, 19, 46–62. [Google Scholar] [CrossRef]
- Miller, K.S.; Ross, B. An Introduction to the Fractional Calculus and Fractional Differential Equations; Wiley: Hoboken, NJ, USA, 1993. [Google Scholar]
- Oldham, K.; Spanier, J. The Fractional Calculus Theory and Applications of Differentiation and Integration to Arbitrary Order; Elsevier: Amsterdam, The Netherlands, 1974. [Google Scholar]
- Dababneh, A.; Djenina, N.; Ouannas, A.; Grassi, G.; Batiha, I.M.; Jebril, I.H. A new incommensurate fractional-order discrete COVID-19 model with vaccinated individuals compartment. Fractal Fract. 2022, 6, 456. [Google Scholar] [CrossRef]
- Saadeh, R.; Abbes, A.; Al-Husban, A.; Ouannas, A.; Grassi, G. The Fractional Discrete Predator–Prey Model: Chaos, Control and Synchronization. Fractal Fract. 2023, 7, 120. [Google Scholar] [CrossRef]
- Hilfer, R. (Ed.) Applications of Fractional Calculus in Physics; World Scientific: Singapore, 2000. [Google Scholar]
- Silva, M.F.; Machado, J.T. Fractional order PDϑ joint control of legged robots. J. Vib. Control 2006, 12, 1483–1501. [Google Scholar] [CrossRef]
- Duarte, F.B.; Machado, J.T. Chaotic phenomena and fractional-order dynamics in the trajectory control of redundant manipulators. Nonlinear Dyn. 2002, 29, 315–342. [Google Scholar] [CrossRef]
- Tenreiro Machado, J.A.; Silva, M.F.; Barbosa, R.S.; Jesus, I.S.; Reis, C.M.; Marcos, M.G.; Galhano, A.F. Some applications of fractional calculus in engineering. Math. Probl. Eng. 2010, 2010, 639801. [Google Scholar] [CrossRef]
- Gafiychuk, V.; Datsko, B.; Meleshko, V. Mathematical modeling of time fractional reaction–diffusion systems. J. Comput. Appl. Math. 2008, 220, 215–225. [Google Scholar] [CrossRef]
- Haubold, H.J.; Mathai, A.M.; Saxena, R.K. Further solutions of fractional reaction–diffusion equations in terms of the H-function. J. Comput. Appl. Math. 2011, 235, 1311–1316. [Google Scholar] [CrossRef]
- Che, H.; Wang, Y.L.; Li, Z.Y. Novel patterns in a class of fractional reaction–diffusion models with the Riesz fractional derivative. Math. Comput. Simul. 2022, 202, 149–163. [Google Scholar] [CrossRef]
- Belmahi, N.; Shawagfeh, N. A new mathematical model for the glycolysis phenomenon involving Caputo fractional derivative: Well posedness, stability and bifurcation. Solitons Fractals 2021, 142, 110520. [Google Scholar] [CrossRef]
- Abdel-Aty, A.H.; Khater, M.M.; Baleanu, D.; Abo-Dahab, S.M.; Bouslimi, J.; Omri, M. Oblique explicit wave solutions of the fractional biological population (BP) and equal width (EW) models. Adv. Differ. Equ. 2020, 2020, 552. [Google Scholar] [CrossRef]
- Angstmann, C.N.; Henry, B.I. Time Fractional Fisher–KPP and Fitzhugh–Nagumo Equations. Entropy 2020, 22, 1035. [Google Scholar] [CrossRef]
- Abad, E.; Yuste, S.B.; Lindenberg, K. Reaction-subdiffusion and reaction-superdiffusion equations for evanescent particles performing continuous-time random walks. Phys. Rev. E 2010, 81, 031115. [Google Scholar] [CrossRef]
- Angstmann, C.N.; Donnelly, I.C.; Henry, B.I. Continuous time random walks with reactions forcing and trapping. Math. Model. Nat. Phenomena 2013, 8, 17–27. [Google Scholar] [CrossRef]
- Klein, C.T.; Mayer, B. A model for pattern formation in gap-junction coupled cells. J. Theor. Biol. 1997, 186, 107–115. [Google Scholar] [CrossRef]
- Maselko, J. Mosaic Pattern Formations in Multicellular Chemical Systems. J. Phys. Chem. 1995, 99, 2949–2952. [Google Scholar] [CrossRef]
- Anakira, N.; Hioual, A.; Ouannas, A.; Oussaeif, T.E.; Batiha, I.M. Global Asymptotic Stability for Discrete-Time SEI Reaction-Diffusion Model. In Proceedings of the International Conference on Mathematics and Computations, Zarqa, Jordan, 11–13 May 2022; Springer Nature: Singapore, 2022; pp. 345–357. [Google Scholar]
- Almatroud, O.A.; Hioual, A.; Ouannas, A.; Grassi, G. On Fractional-Order Discrete-Time Reaction Diffusion Systems. Mathematics 2023, 11, 2447. [Google Scholar] [CrossRef]
- Wu, G.C.; Baleanu, D.; Zeng, S.D.; Deng, Z.G. Discrete fractional diffusion equation. Nonlinear Dyn. 2015, 80, 281. [Google Scholar] [CrossRef]
- Mesdoui, F.; Ouannas, A.; Shawagfeh, N.; Grassi, G.; Pham, V.T. Synchronization methods for the Degn-Harrison reaction-diffusion systems. IEEE Access 2020, 8, 91829–91836. [Google Scholar] [CrossRef]
- Zhenzhen, L.; Yongguang, Y.; Weiyi, X.; Guojian, R.; Xiangyun, M. Global dynamics for a class of discrete fractional epidemic model with reaction-diffusion. arXiv 2022, arXiv:2208.06548. [Google Scholar]
- Bhargava, S.C. On the higgins model of glycolysis. Bull. Math. Biol. 1980, 42, 829–836. [Google Scholar] [CrossRef] [PubMed]
- Peng, R. Qualitative analysis of steady states to the Sel’kov model. J. Differ. Equ. 2007, 241, 386–398. [Google Scholar] [CrossRef]
- Lee, K.J.; Swinney, H.L. Replicating spots in reaction-diffusion systems. Int. J. Bifurc. Chaos 1997, 7, 1149–1158. [Google Scholar] [CrossRef]
- You, Y. Asymptotical dynamics of Selkov equations. Discret. Contin. Dyn. Syst.-S 2008, 2, 193–219. [Google Scholar] [CrossRef]
- Kelley, W.G.; Peterson, A.C. Difference Equations: An Introduction with Applications; Academic Press: Cambridge, MA, USA, 2001. [Google Scholar]
- Baleanu, D.; Wu, G.C.; Bai, Y.R.; Chen, F.L. Stability analysis of Caputo–like discrete fractional systems. Commun. Nonlinear Sci. Numer. Simul. 2017, 48, 520–530. [Google Scholar] [CrossRef]
- Hioual, A.; Ouannas, A.; Oussaeif, T.E.; Grassi, G.; Batiha, I.M.; Momani, S. On Variable-Order Fractional Discrete Neural Networks: Solvability and Stability. Fractal Fract. 2022, 6, 119. [Google Scholar] [CrossRef]
- Abdeljawad, T. On Riemann and Caputo fractional differences. Comput. Math. Appl. 2011, 62, 1602–1611. [Google Scholar] [CrossRef]
- Abdeljawad, T. Different type kernel h—Fractional differences and their fractional h—Sums. Solitons Fractals 2018, 116, 146–156. [Google Scholar] [CrossRef]
- Cermák, J.; Nechvátal, L. On a problem of linearized stability for fractional difference equations. Nonlinear Dyn. 2021, 104, 1253–1267. [Google Scholar] [CrossRef]
- Ashkenazi, M.; Othmer, H.G. Spatial patterns in coupled biochemical oscillators. J. Math. Biol. 1977, 5, 305–350. [Google Scholar] [CrossRef]
- Tyson, J.; Kauffman, S. Control of mitosis by a continuous biochemical oscillation: Synchronization; spatially inhomogeneous oscillations. J. Math. Biol. 1975, 1, 289–310. [Google Scholar] [CrossRef]
- Davidson, F.A.; Rynne, B.P. A priori bounds and global existence of solutions of the steady-state Sel’kov model. Proc. R. Soc. Edinb. Sect. A Math. 2000, 130, 507–516. [Google Scholar] [CrossRef]
- Furter, J.E.; Eilbeck, J.C. Analysis of bifurcations in reaction–diffusion systems with no-flux boundary conditions: The Sel’kov model. Proc. R. Soc. Edinb. Sect. A Math. 1995, 125, 413–438. [Google Scholar] [CrossRef]
- Peng, R.; Wang, M.; Yang, M. Positive steady-state solutions of the Sel’kov model. Math. Comput. Model. 2006, 44, 945–951. [Google Scholar] [CrossRef]
- Xu, L.; Zhao, L.J.; Chang, Z.X.; Feng, J.T.; Zhang, G. Turing instability and pattern formation in a semi-discrete Brusselator model. Mod. Phys. Lett. B 2013, 27, 1350006. [Google Scholar] [CrossRef]



Disclaimer/Publisher’s Note: The statements, opinions and data contained in all publications are solely those of the individual author(s) and contributor(s) and not of MDPI and/or the editor(s). MDPI and/or the editor(s) disclaim responsibility for any injury to people or property resulting from any ideas, methods, instructions or products referred to in the content. |
© 2023 by the authors. Licensee MDPI, Basel, Switzerland. This article is an open access article distributed under the terms and conditions of the Creative Commons Attribution (CC BY) license (https://creativecommons.org/licenses/by/4.0/).
Share and Cite
Hamadneh, T.; Hioual, A.; Alsayyed, O.; AL-Khassawneh, Y.A.; Al-Husban, A.; Ouannas, A. Local Stability, Global Stability, and Simulations in a Fractional Discrete Glycolysis Reaction–Diffusion Model. Fractal Fract. 2023, 7, 587. https://doi.org/10.3390/fractalfract7080587
Hamadneh T, Hioual A, Alsayyed O, AL-Khassawneh YA, Al-Husban A, Ouannas A. Local Stability, Global Stability, and Simulations in a Fractional Discrete Glycolysis Reaction–Diffusion Model. Fractal and Fractional. 2023; 7(8):587. https://doi.org/10.3390/fractalfract7080587
Chicago/Turabian StyleHamadneh, Tareq, Amel Hioual, Omar Alsayyed, Yazan Alaya AL-Khassawneh, Abdallah Al-Husban, and Adel Ouannas. 2023. "Local Stability, Global Stability, and Simulations in a Fractional Discrete Glycolysis Reaction–Diffusion Model" Fractal and Fractional 7, no. 8: 587. https://doi.org/10.3390/fractalfract7080587
APA StyleHamadneh, T., Hioual, A., Alsayyed, O., AL-Khassawneh, Y. A., Al-Husban, A., & Ouannas, A. (2023). Local Stability, Global Stability, and Simulations in a Fractional Discrete Glycolysis Reaction–Diffusion Model. Fractal and Fractional, 7(8), 587. https://doi.org/10.3390/fractalfract7080587

