Fractional-Order Negative Position Feedback for Vibration Attenuation
Abstract
:1. Introduction
2. Background
2.1. System Description
2.2. Fractional-Order Control
2.3. Loop-Shaping for Active Vibration Control
- Gain requirement: The ideal loop shape of the open-loop gain is triangular, which can be deduced from Equation (8). This means that should have a positive slope for and a negative slope for .
- Phase requirement: The ideal triangular loop gain results in a region where the gain is above 1. This is required to provide high gain and reduce sensitivity at . However, it results in two crossover frequencies that can be defined asTo follow the ideal closed-loop gain, the sensitivity at the crossover frequency should be . Moreover, the open-loop phase at crossover frequency should satisfy
3. Fractional-Order Negative Position Feedback Control
3.1. Main Concept
3.2. Stability of the Fractional-Order Attenuator
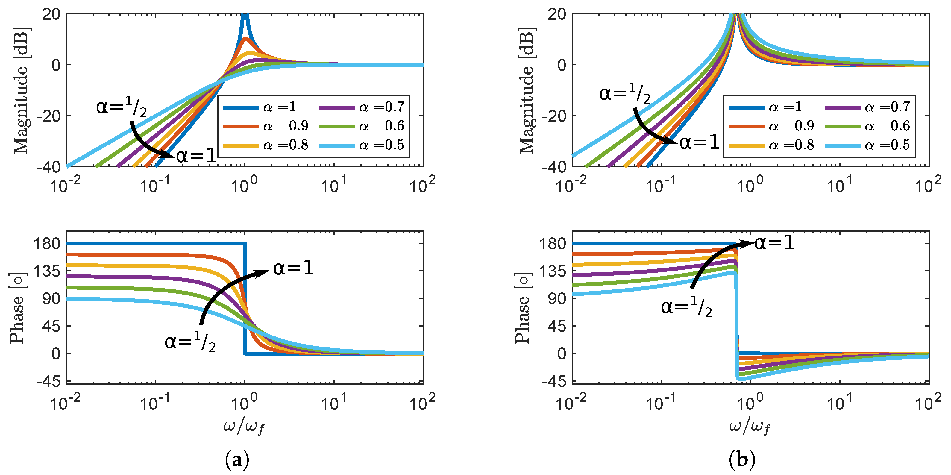
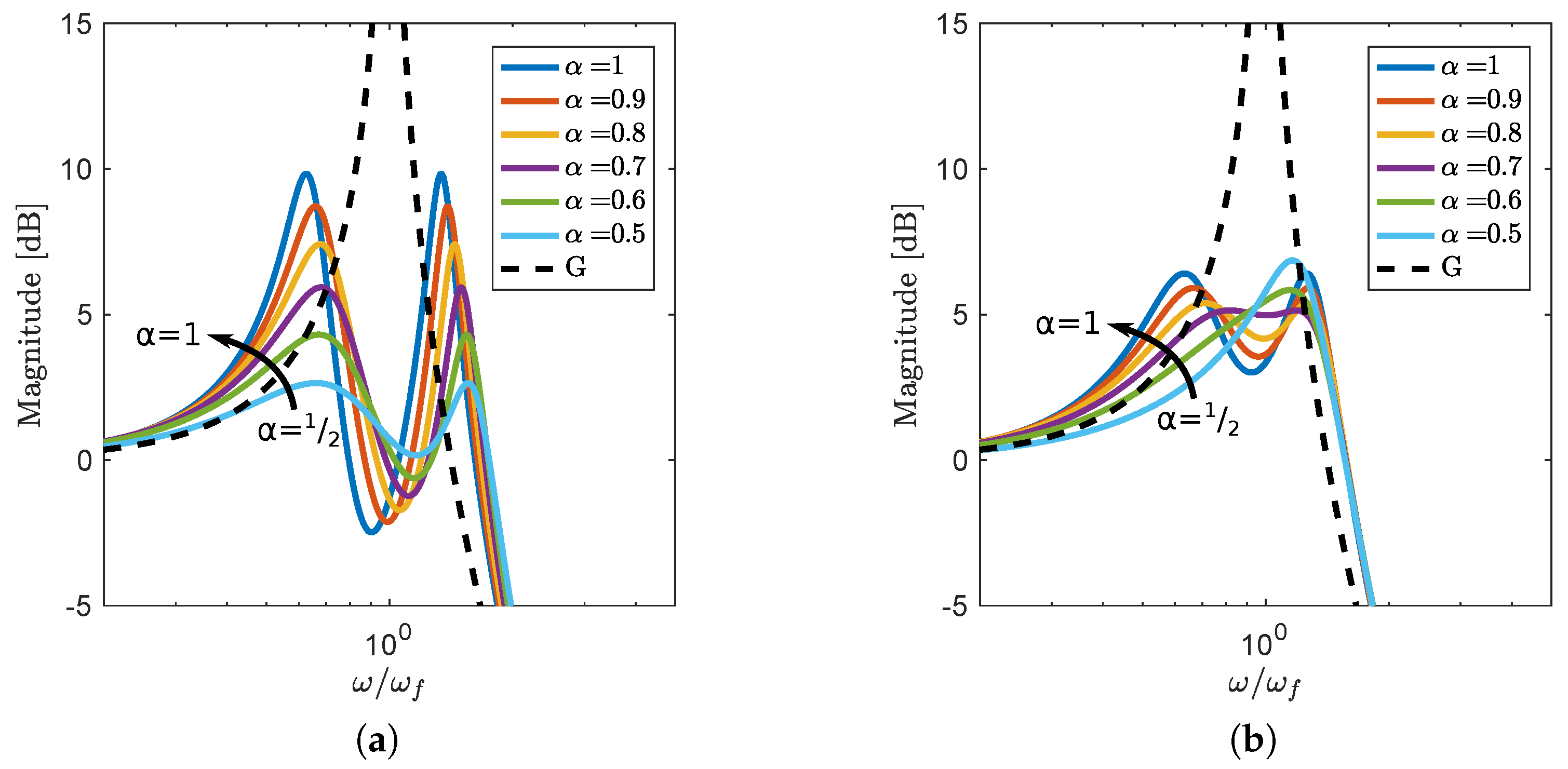
3.3. Influence of the Tuning Parameters on the Attenuator
3.4. Influence of on Open- and Closed-Loop Response
3.5. Heuristic Tuning Guidelines
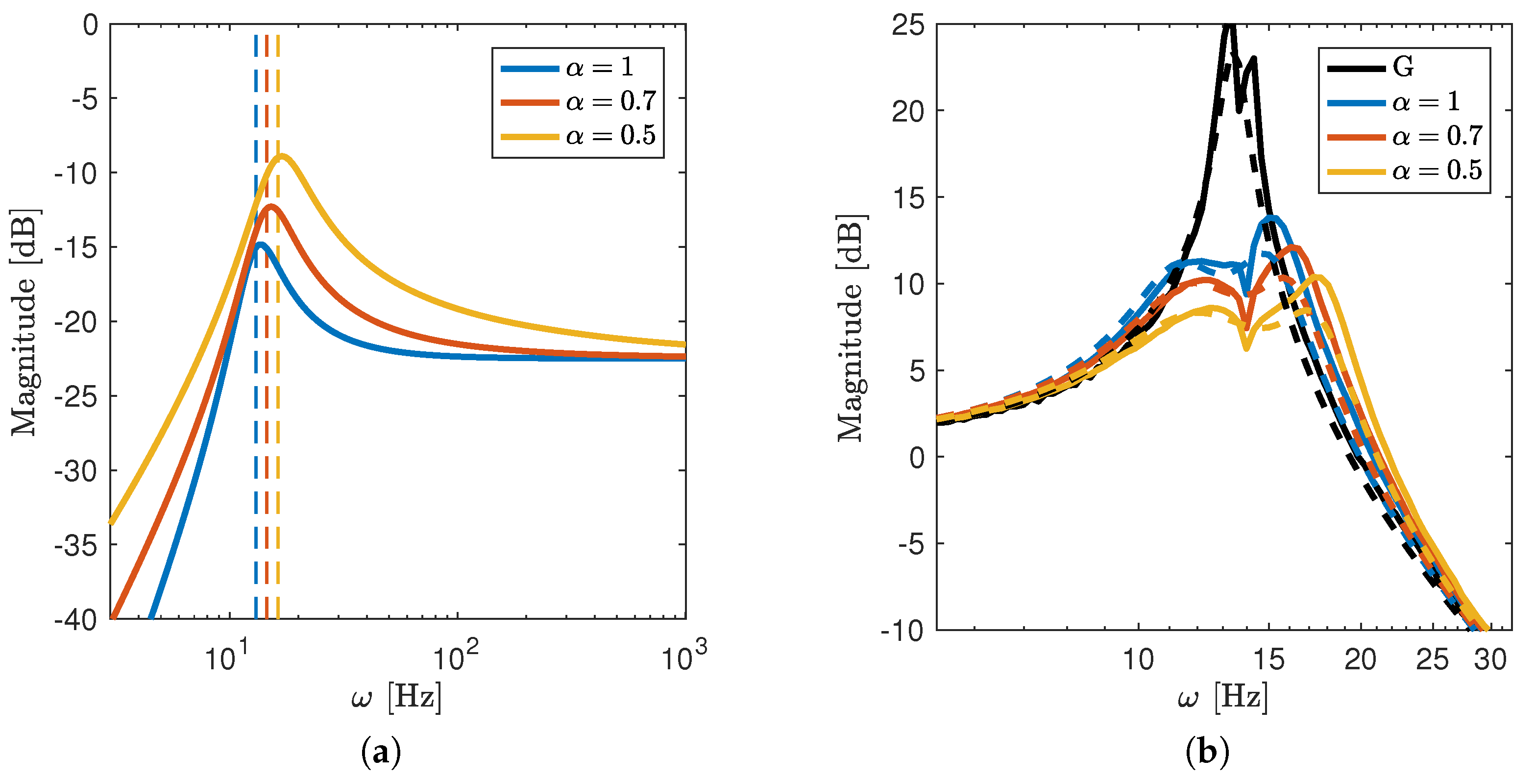
4. Experimental Validation
5. Conclusions
Author Contributions
Funding
Data Availability Statement
Conflicts of Interest
Appendix A. Optimal Tuning of Integer-Order NPF

References
- Preumont, A. Vibration Control of Active Structures, Solid Mechanics and Its Applications, 4th ed.; Springer International Publishing: Cham, Switzerland, 2018; Volume 246. [Google Scholar] [CrossRef]
- Balas, M.J. Direct Velocity Feedback Control of Large Space Structures. J. Guid. Control 1979, 2, 252–253. [Google Scholar] [CrossRef]
- Kim, S.M.; Wang, S.; Brennan, M.J. Optimal and robust modal control of a flexible structure using an active dynamic vibration absorber. Smart Mater. Struct. 2011, 20, 045003. [Google Scholar] [CrossRef]
- Kim, S.M.; Wang, S.; Brennan, M.J. Dynamic analysis and optimal design of a passive and an active piezo-electrical dynamic vibration absorber. J. Sound Vib. 2011, 330, 603–614. [Google Scholar] [CrossRef]
- Kim, S.M.; Wang, S.; Brennan, M.J. Comparison of negative and positive position feedback control of a flexible structure. Smart Mater. Struct. 2011, 20, 015011. [Google Scholar] [CrossRef]
- Kim, S.M.; Brennan, M.J.; Abreu, G.L. Narrowband feedback for narrowband control of resonant and non-resonant vibration. Mech. Syst. Signal Process. 2016, 76, 47–57. [Google Scholar] [CrossRef] [Green Version]
- Cazzulani, G.; Resta, F.; Ripamonti, F.; Zanzi, R. Negative derivative feedback for vibration control of flexible structures. Smart Mater. Struct. 2012, 21, 075024. [Google Scholar] [CrossRef]
- Syed, H.H. Comparative study between positive position feedback and negative derivative feedback for vibration control of a flexible arm featuring piezoelectric actuator. Int. J. Adv. Robot. Syst. 2017, 14, 1729881417718801. [Google Scholar] [CrossRef] [Green Version]
- Goh, C.J.; Caughey, T.K. On the stability problem caused by finite actuator dynamics in the collocated control of large space structures. Int. J. Control 1985, 41, 787–802. [Google Scholar] [CrossRef]
- Den Hartog, J.P. Mechanical Vibrations; McGraw-Hill Book Company, Inc.: New York, NY, USA, 1940. [Google Scholar]
- Caponetto, R.; Dongola, G.; Fortuna, L.; Petráš, I. Fractional Order Systems: Modeling and Control Applications; World Scientific Publishing Co.: Singapore, 2010; pp. 1–178. [Google Scholar] [CrossRef]
- Meral, M.E.; Çelík, D. A comprehensive survey on control strategies of distributed generation power systems under normal and abnormal conditions. Annu. Rev. Control 2019, 47, 112–132. [Google Scholar] [CrossRef]
- Singh, P.P.; Roy, B.K. Comparative performances of synchronisation between different classes of chaotic systems using three control techniques. Annu. Rev. Control 2018, 45, 152–165. [Google Scholar] [CrossRef]
- Cao, K.; Chen, Y.; Stuart, D. A fractional micro-macro model for crowds of pedestrians based on fractional mean field games. IEEE/CAA J. Autom. Sin. 2016, 3, 261–270. [Google Scholar] [CrossRef] [Green Version]
- Ge, F.; Chen, Y.; Kou, C. Cyber-physical systems as general distributed parameter systems: Three types of time-series models and emerging research opportunities. IEEE/CAA J. Autom. Sin. 2015, 2, 353–357. [Google Scholar] [CrossRef] [Green Version]
- Adolfsson, K.; Enelund, M.; Olsson, P. On the fractional order model of viscoelasticity. Mech. Time Depend. Mater. 2005, 9, 15–34. [Google Scholar] [CrossRef]
- Bonfanti, A.; Kaplan, J.L.; Charras, G.; Kabla, A. Fractional viscoelastic models for power-law materials. Soft Matter 2020, 16, 6002–6020. [Google Scholar] [CrossRef] [PubMed]
- Chen, Y.Q. Ubiquitous fractional order controls? In Proceedings of the IFAC Proceedings Volumes (IFAC-PapersOnline); Elsevier: Amsterdam, The Netherlands, 2006; Volume 2, pp. 481–492. [Google Scholar] [CrossRef] [Green Version]
- Chen, Y.Q.; Petráš, I.; Xue, D. Fractional order control—A tutorial. In Proceedings of the American Control Conference, St. Louis, Mo, USA, 10–12 June 2009; pp. 1397–1411. [Google Scholar] [CrossRef]
- Dastjerdi, A.A.; Saikumar, N.; HosseinNia, S.H. Tuning guidelines for fractional order PID controllers: Rules of thumb. Mechatronics 2018, 56, 26–36. [Google Scholar] [CrossRef]
- Dastjerdi, A.A.; Vinagre, B.M.; Chen, Y.Q.; HosseinNia, S.H. Linear fractional order controllers; A survey in the frequency domain. Annu. Rev. Control 2019, 47, 51–70. [Google Scholar] [CrossRef]
- San-Millan, A.; Feliu-Batlle, V.; Aphale, S.S. Application of a Fractional Order Integral Resonant Control to increase the achievable bandwidth of a nanopositioner. IFAC PapersOnLine 2017, 50, 14539–14544. [Google Scholar] [CrossRef] [Green Version]
- Marinangeli, L.; Alijani, F.; Hosseinnia, S.H. Fractional-order positive position feedback compensator for active vibration control of a smart composite plate. J. Sound Vib. 2018, 412, 1–16. [Google Scholar] [CrossRef]
- Niu, W.; Li, B.; Xin, T.; Wang, W. Vibration active control of structure with parameter perturbation using fractional order positive position feedback controller. J. Sound Vib. 2018, 430, 101–114. [Google Scholar] [CrossRef]
- Feliu-Talegon, D.; San-Millan, A.; Feliu-Batlle, V. Fractional-order integral resonant control of collocated smart structures. Control. Eng. Pract. 2016, 56, 210–223. [Google Scholar] [CrossRef]
- Wang, Z.H.; Zheng, Y.G. The optimal form of the fractional-order difference feedbacks in enhancing the stability of a sdof vibration system. J. Sound Vib. 2009, 326, 476–488. [Google Scholar] [CrossRef]
- Radwan, A.G.; Elwakil, A.S.; Soliman, A.M. On the generalization of second-order filters to the fractional-order domain. J. Circuits Syst. Comput. 2009, 18, 361–386. [Google Scholar] [CrossRef]
- Malti, R.; Moreau, X.; Khemane, F.; Oustaloup, A. Stability and resonance conditions of elementary fractional transfer functions. Automatica 2011, 47, 2462–2467. [Google Scholar] [CrossRef]
- Ivanova, E.; Moreau, X.; Malti, R. Stability and resonance conditions of second-order fractional systems. J. Vib. Control 2018, 24, 659–672. [Google Scholar] [CrossRef]
- Zhang, S.; Liu, L.; Xue, D.; Chen, Y.Q. Stability and resonance analysis of a general non-commensurate elementary fractional-order system. Fract. Calc. Appl. Anal. 2020, 23, 183–210. [Google Scholar] [CrossRef]
- Sahoo, S.; Saha Ray, S.; Das, S. An efficient and novel technique for solving continuously variable fractional order mass-spring-damping system. Eng. Comput. 2017, 34, 2815–2835. [Google Scholar] [CrossRef]
- Sene, N.; Aguilar, J.F.G. Fractional mass-spring-damper system described by generalized fractional order derivatives. Fractal Fract. 2019, 3, 39. [Google Scholar] [CrossRef] [Green Version]
- Pang, D.; Jiang, W.; Liu, S.; Jun, D. Stability analysis for a single degree of freedom fractional oscillator. Phys. A Stat. Mech. Its Appl. 2019, 523, 498–506. [Google Scholar] [CrossRef]
- Adhikary, A.; Sen, S.; Biswas, K. Practical Realization of Tunable Fractional Order Parallel Resonator and Fractional Order Filters. IEEE Trans. Circuits Syst. I Regul. Pap. 2016, 63, 1142–1151. [Google Scholar] [CrossRef]
- Tsirimokou, G.; Psychalinos, C.; Elwakil, A.S.; Salama, K.N. Electronically Tunable Fully Integrated Fractional-Order Resonator. IEEE Trans. Circuits Syst. II Express Briefs 2018, 65, 166–170. [Google Scholar] [CrossRef] [Green Version]
- Kapoulea, S.; Psychalinos, C.; Elwakil, A.S. Power law filters: A new class of fractional-order filters without a fractional-order Laplacian operator. AEU Int. J. Electron. Commun. 2021, 129, 153537. [Google Scholar] [CrossRef]
- Mahata, S.; Herencsar, N.; Kubanek, D. On the design of power law filters and their inverse counterparts. Fractal Fract. 2021, 5, 197. [Google Scholar] [CrossRef]
- Sethi, V.; Franchek, M.A.; Song, G. Multimodal active vibration suppression of a flexible structure by loop shaping. In Smart Structures and Materials 2005: Smart Structures and Integrated Systems; SPIE: New York, NY, USA, 2005; Volume 5764, p. 348. [Google Scholar] [CrossRef]
- Sethi, V.; Song, G.; Franchek, M.A. Loop shaping control of a model-story building using smart materials. J. Intell. Mater. Syst. Struct. 2008, 19, 765–777. [Google Scholar] [CrossRef]
- Munoa, J.; Beudaert, X.; Erkorkmaz, K.; Iglesias, A.; Barrios, A.; Zatarain, M. Active suppression of structural chatter vibrations using machine drives and accelerometers. CIRP Ann. Manuf. Technol. 2015, 64, 385–388. [Google Scholar] [CrossRef]
- Monje, C.A.; Chen, Y.Q.; Vinagre, B.M.; Xue, D.; Feliu, V. Fractional-Order Systems and Controls, Fundamentals and Applications; Springer: London, UK, 2010. [Google Scholar] [CrossRef]
- Matignon, D. Stability properties for generalized fractional differential systems. ESAIM Proc. 1998, 5, 145–158. [Google Scholar] [CrossRef] [Green Version]
- Åström, K.J. Limitations on control system performance. In Proceedings of the ECC 1997—European Control Conference; Institute of Electrical and Electronics Engineers Inc.: Piscataway, NJ, USA, 1997; pp. 3421–3426. [Google Scholar] [CrossRef]
- Vinagre, B.; Podlubny, I.; Hernandez, A.; Feliu, V. Some Approximations of Fractional Order Operators Used in Control Theory and Applications. Fract. Calc. Appl. Anal. 2000, 3, 231–248. [Google Scholar]
- Oustaloup, A. Systemes Asservis Lineaires D’ordre Fractionnaire: Theorie et Pratique; Masson: Paris, France, 1983; p. 296. [Google Scholar]
- Schmidt, R.M.; Schitter, G.; Rankers, A.; van Eijk, J. The Design of High Performance Mechatronics, 2nd ed.; IOS Press: Amsterdam, The Netherlands, 2014. [Google Scholar]









| 1 | |||
Disclaimer/Publisher’s Note: The statements, opinions and data contained in all publications are solely those of the individual author(s) and contributor(s) and not of MDPI and/or the editor(s). MDPI and/or the editor(s) disclaim responsibility for any injury to people or property resulting from any ideas, methods, instructions or products referred to in the content. |
© 2023 by the authors. Licensee MDPI, Basel, Switzerland. This article is an open access article distributed under the terms and conditions of the Creative Commons Attribution (CC BY) license (https://creativecommons.org/licenses/by/4.0/).
Share and Cite
Kaczmarek, M.B.; HosseinNia, H. Fractional-Order Negative Position Feedback for Vibration Attenuation. Fractal Fract. 2023, 7, 222. https://doi.org/10.3390/fractalfract7030222
Kaczmarek MB, HosseinNia H. Fractional-Order Negative Position Feedback for Vibration Attenuation. Fractal and Fractional. 2023; 7(3):222. https://doi.org/10.3390/fractalfract7030222
Chicago/Turabian StyleKaczmarek, Marcin B., and Hassan HosseinNia. 2023. "Fractional-Order Negative Position Feedback for Vibration Attenuation" Fractal and Fractional 7, no. 3: 222. https://doi.org/10.3390/fractalfract7030222
APA StyleKaczmarek, M. B., & HosseinNia, H. (2023). Fractional-Order Negative Position Feedback for Vibration Attenuation. Fractal and Fractional, 7(3), 222. https://doi.org/10.3390/fractalfract7030222

