Multi-Fractality, Universality and Singularity in Turbulence
Abstract
1. Introduction
2. Global Multi-Fractal Theory
2.1. Parisi–Frisch Interpretation
2.1.1. A Few Useful Properties of Multi-Fractals
- •
- is minimum at the origin, where the scaling exponent h achieves its most probable value .
- •
- Integrating Equation (8), we get:
- •
- The width of the multi-fractal spectrum is given by the total intermittency correction:
2.1.2. Link with Information Theory
2.2. Hidden Symmetry Interpretation
2.3. Theoretical Constraints on the Multi-Fractal Spectrum
2.3.1. From Hidden Scale Symmetry
2.3.2. From Scale Covariance and Analogy with Relativity
- •
- The relative scaling exponents follow the group law: , where and ⊗ are commutative group composition law of the type:where * stands for , or ⊗. Such laws are characterized by the two fixed points which take the value (resp. ) for ⊗ (resp. ).
- •
- •
- It is then technically possible to compute all the possible shapes for compatible with the scale covariance symmetry, as a function of , or [22]. By integration, one then gets and . By Legendre transform, one further obtain . We list below but a few examples:
- •
- log-Poisson: this case [24,25,26] was already obtained in [19]. It corresponds to finite, , , . It reads:The parameters are here (or equivalently ), and .
- •
- self-similar: this limiting case of the previous one is obtained for , and reads:
- •
- log-normal: this is again a limiting case of the log- Poisson, with ; it corresponds to:
- •
2.3.3. From Navier–Stokes Equations
- (i)
- that it is bounded from below by , (in three dimensions, for periodic boundary conditions);
- (ii)
- that the function is bounded from below by a linear function: .
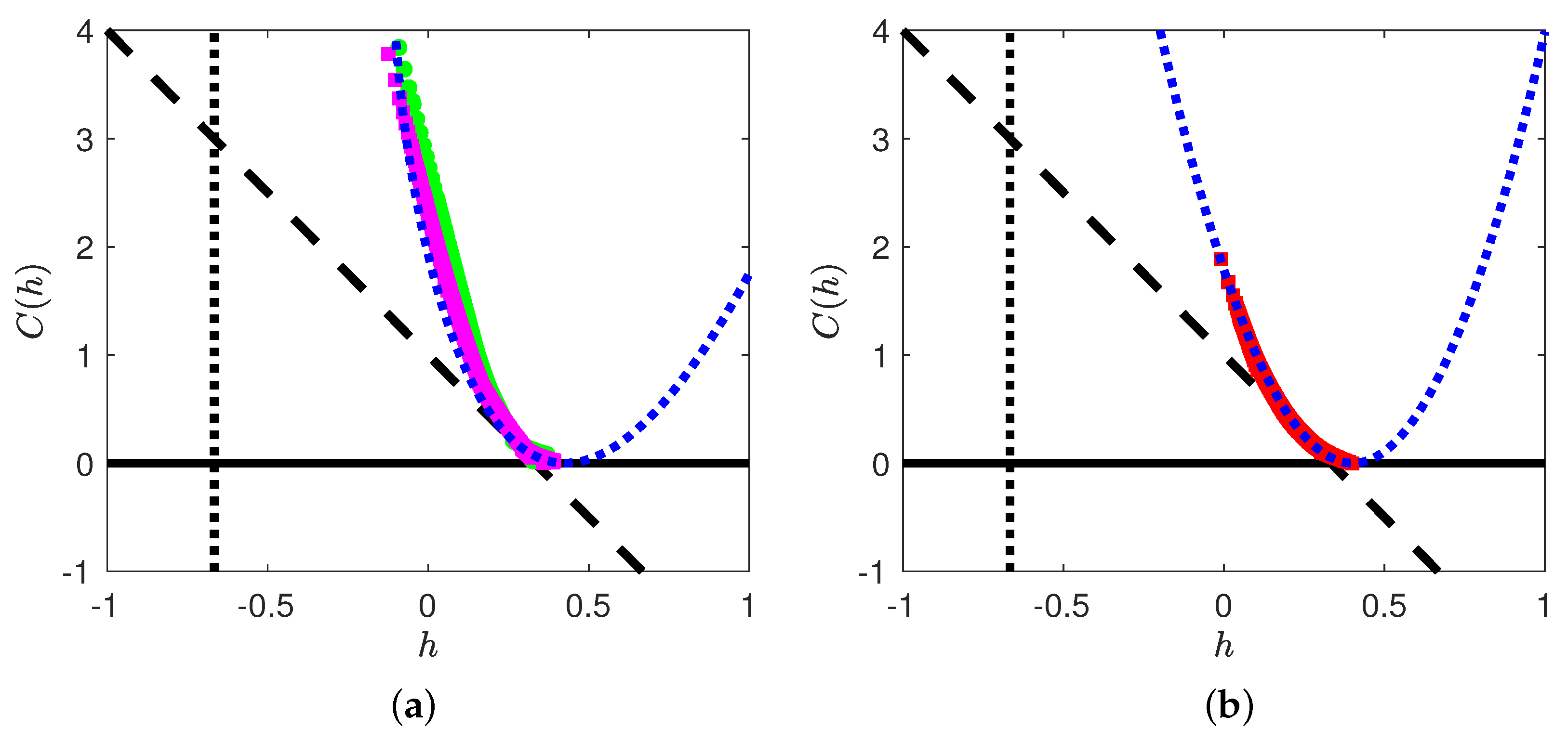
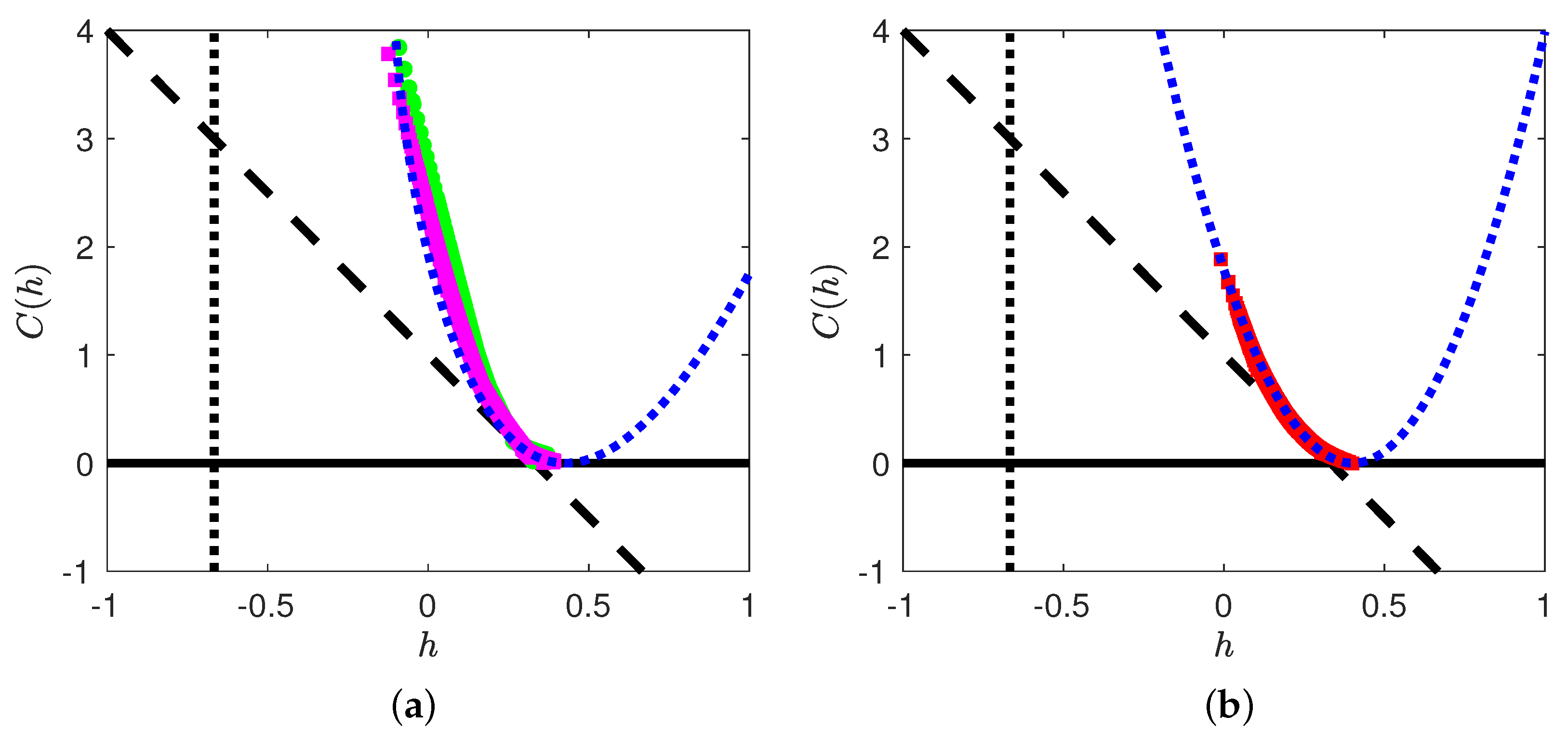
2.4. Observational Constraints on the MFR Spectrum
2.5. The Large Deviation Formulation and Thermodynamics
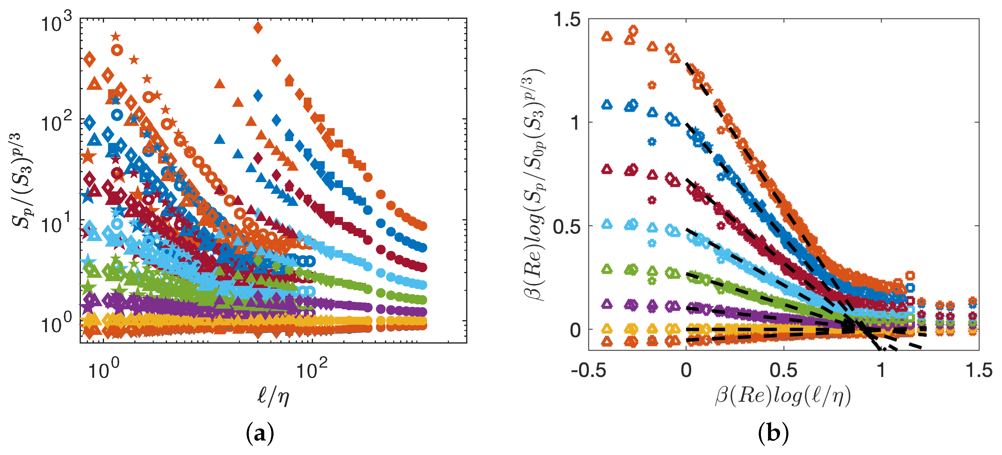
2.6. Recovering Universality
3. Local Multi-Fractal Analysis
3.1. Active Regions and the Nested (Concentration) Volume Interpretation
3.2. Connection with Multi-Fractal Formalism and Construction of Local Exponents
3.3. Link with Onsager Conjecture and Inertial Dissipation
3.4. Observation of Most Irregular Structure
4. Link with Singularity
4.1. Fluctuating Dissipative Scale in the Multi-Fractal Framework
4.2. Pressure Mediated Singularity
4.3. Singularity of Vortex Filaments
4.3.1. Curvature Gradient Blow-Up
4.3.2. Reconnection Blow-Up
4.4. Singularity in the Complex Plane
Singularity Strip
4.5. The Fluctuating Dissipation Scale and Correspondence Conjecture
5. Conclusions
Funding
Data Availability Statement
Acknowledgments
Conflicts of Interest
References
- Grant, H.L.; Stewart, R.W.; Moilliet, A. Turbulence spectra from a tidal channel. J. Fluid Mech. 1962, 12, 241–268. [Google Scholar] [CrossRef]
- Kolmogorov, A.N. The local structure of turbulence in incompressible viscous fluids for very large Reynolds number. Dokl. Akad. Nauk SSSR 1941, 30, 913. [Google Scholar]
- Geneste, D.; Faller, H.; Nguyen, F.; Shukla, V.; Laval, J.P.; Daviaud, F.; Saw, E.W.; Dubrulle, B. About Universality and Thermodynamics of Turbulence. Entropy 2019, 21, 326. [Google Scholar] [CrossRef]
- Dubrulle, B.; Daviaud, F.; Faranda, D.; Marié, L.; Saint-Michel, B. How many modes are needed to predict climate bifurcations? Lessons from an experiment. Nonlinear Process. Geophys. 2022, 29, 17–35. [Google Scholar] [CrossRef]
- Batchelor, G.K.; Townsend, A.A. The nature of turbulent motion at large wave-numbers. Proc. R. Soc. Lond. Ser. Math. Phys. Sci. 1949, 199, 238–255. [Google Scholar] [CrossRef]
- Landau, L.; Lifshitz, L. Fluid Mechanics; Pergamon Press: London, UK, 1959. [Google Scholar]
- Kolmogorov, A.N. A refinement of previous hypotheses concerning the local structure of turbulence in a viscous incompressible fluid at high Reynolds number. J. Fluid Mech. 1962, 13, 82. [Google Scholar] [CrossRef]
- Frisch, U. Turbulence, the Legacy of A. N. Kolmogorov; Cambridge University Press: Cambridge, UK, 1996. [Google Scholar]
- Frisch, U.; Parisi, G. On the singularity structure of fully developed turbulence. In Proceedings of the Turbulence and Predictability in Geophysical Fluid Dynamics and Climate Dynamics; Gil, M., Benzi, R., Parisi, G., Eds.; Elsevier: Amsterdam, The Netherlands, 1985; pp. 84–88. [Google Scholar]
- Onsager, L. Statistical hydrodynamics. Il Nuovo Cimento (1943–1954) 1949, 6, 279–287. [Google Scholar] [CrossRef]
- Frisch, U.; Morf, R. Intermittency in nonlinear dynamics and singularities at complex times. Phys. Rev. A 1981, 23, 2673–2705. [Google Scholar] [CrossRef]
- Cheskidov, A.; Shvydkoy, R. Volumetric theory of intermittency in fully developed turbulence. arXiv 2022, arXiv:2203.11060. [Google Scholar]
- Mailybaev, A.A. Hidden scale invariance of intermittent turbulence in a shell model. Phys. Rev. Fluids 2021, 6, L012601. [Google Scholar] [CrossRef]
- Mailybaev, A.A. Hidden spatiotemporal symmetries and intermittency in turbulence. Nonlinearity 2022, 35, 3630–3679. [Google Scholar] [CrossRef]
- Mailybaev, A.A.; Thalabard, S. Hidden scale invariance in Navier-Stokes intermittency. Philos. Trans. R. Soc. Math. Phys. Eng. Sci. 2022, 380, 20210098. [Google Scholar] [CrossRef] [PubMed]
- Mailybaev, A.A. Solvable Intermittent Shell Model of Turbulence. Commun. Math. Phys. 2021, 388, 469–478. [Google Scholar] [CrossRef]
- Dubrulle, B.; Graner, F. Analogy between scale symmetry and relativistic mechanics. II. Electric analog of turbulence. Phys. Rev. E 1997, 56, 6435–6442. [Google Scholar] [CrossRef]
- Dubrulle, B. Anomalous Scaling and Generic Structure Function in Turbulence. J. Phys. II France 1996, 6, 1825–1840. [Google Scholar] [CrossRef][Green Version]
- Dubrulle, B.; Graner, F. Possible Statistics of Scale Invariant Systems. J. Phys. II France 1996, 6, 797–816. [Google Scholar] [CrossRef]
- Dubrulle, B.; Graner, F. Scale Invariance and Scaling Exponents in Fully Developed Turbulence. J. Phys. II France 1996, 6, 817–824. [Google Scholar] [CrossRef]
- Graner, F.; Dubrulle, B. Analogy between scale symmetry and relativistic mechanics. I. Lagrangian formalism. Phys. Rev. E 1997, 56, 6427–6434. [Google Scholar] [CrossRef]
- Dubrulle, B.; Bréon, F.M.; Graner, F.; Pocheau, A. Towards an universal classification of scale invariant processes. Eur. Phys. J. Condens. Matter Complex Syst. 1998, 4, 89–94. [Google Scholar] [CrossRef]
- Pocheau, A. Scale invariance in turbulent front propagation. Phys. Rev. E 1994, 49, 1109–1122. [Google Scholar] [CrossRef]
- Dubrulle, B. Intermittency in fully developed turbulence: Log-Poisson statistics and generalized scale covariance. Phys. Rev. Lett. 1994, 73, 959–962. [Google Scholar] [CrossRef] [PubMed]
- She, Z.S.; Leveque, E. Universal scaling laws in fully developed turbulence. Phys. Rev. Lett. 1994, 72, 336–339. [Google Scholar] [CrossRef] [PubMed]
- She, Z.S.; Waymire, E.C. Quantized Energy Cascade and Log-Poisson Statistics in Fully Developed Turbulence. Phys. Rev. Lett. 1995, 74, 262–265. [Google Scholar] [CrossRef] [PubMed]
- Schertzer, D.; Lovejoy, S.; Schmitt, F.; Chigirinskaya, Y.; Marsan, D. Multifractal cascade dynamics and turbulent intermittency. Fractals 1997, 5, 427–471. [Google Scholar] [CrossRef]
- Schertzer, D.; Lovejoy, S. Non-Linear Variability in Geophysics, Scaling and Fractals; Kluwer: Dordrecht, The Netherlands, 1991. [Google Scholar]
- Schertzer, D.; Lovejoy, S. Multifractals, generalized scale invariance and complexity in Geophysics. Int. J. Bifurc. Chaos 2011, 21, 3417–3456. [Google Scholar] [CrossRef]
- Dubrulle, B.; Gibbon, J.D. A correspondence between the multifractal model of turbulence and the Navier-Stokes equations. Philos. Trans. R. Soc. Math. Phys. Eng. Sci. 2022, 380, 20210092. [Google Scholar] [CrossRef] [PubMed]
- Gibbon, J.D. Intermittency, cascades and thin sets in three-dimensional Navier-Stokes turbulence. EPL Europhys. Lett. 2020, 131, 64001. [Google Scholar] [CrossRef]
- Muzy, J.F.; Bacry, E.; Arneodo, A. Wavelets and multifractal formalism for singular signals: Application to turbulence data. Phys. Rev. Lett. 1991, 67, 3515. [Google Scholar] [CrossRef]
- Chevillard, L.; Castaing, B.; Lévêque, E.; Arneodo, A. Unified multifractal description of velocity increments statistics in turbulence: Intermittency and skewness. Phys. Nonlinear Phenom. 2006, 218, 77–82. [Google Scholar] [CrossRef]
- Faller, H.; Geneste, D.; Chaabo, T.; Cheminet, A.; Valori, V.; Ostovan, Y.; Cappanera, L.; Cuvier, C.; Daviaud, F.; Foucaut, J.M.; et al. On the nature of intermittency in a turbulent von Karman flow. J. Fluid Mech. 2021, 914, A2. [Google Scholar] [CrossRef]
- Iyer, K.P.; Sreenivasan, K.R.; Yeung, P.K. Scaling exponents saturate in three-dimensional isotropic turbulence. Phys. Rev. Fluids 2020, 5, 054605. [Google Scholar] [CrossRef]
- Dubrulle, B. Beyond Kolmogorov cascades. J. Fluid Mech. 2019, 867, P1. [Google Scholar] [CrossRef]
- Eyink, G.L. Turbulence Theory. Course Notes. The Johns Hopkins University. 2007–2008. Available online: http://www.ams.jhu.edu/eyink/Turbulence/notes/ (accessed on 12 October 2022).
- Bohr, T.; Rand, D. The entropy function for characteristic exponents. Phys. D Nonlinear Phenom. 1987, 25, 387–398. [Google Scholar] [CrossRef]
- Rinaldo, A.; Maritan, A.; Colaiori, F.; Flammini, A.; Rigon, R.; Rodriguez-Iturbe, I.; Banavar, J.R. Thermodynamics of fractal networks. Phys. Rev. Lett. 1996, 76, 3364. [Google Scholar] [CrossRef]
- Frisch, U.; Vergassola, M. A Prediction of the Multifractal Model: The Intermediate Dissipation Range. Europhys. Lett. (EPL) 1991, 14, 439–444. [Google Scholar] [CrossRef]
- Castaing, B.; Gagne, Y.; Marchand, M. Log-similarity for turbulent flows? Phys. D Nonlinear Phenom. 1993, 68, 387–400. [Google Scholar] [CrossRef]
- Chae, D. Nonexistence of Self-Similar Singularities for the 3D Incompressible Euler Equations. Commun. Math. Phys. 2007, 1, 203–215. [Google Scholar] [CrossRef]
- Nguyen, F.; Laval, J.P.; Kestener, P.; Cheskidov, A.; Shvydkoy, R.; Dubrulle, B. Local estimates of Holder exponents in turbulent vector fields. Phys. Rev. E 2019, 99, 053114. [Google Scholar] [CrossRef]
- Nguyen, F.; Laval, J.P.; Dubrulle, B. Characterizing most irregular small-scale structures in turbulence using local Hölder exponents. Phys. Rev. E 2020, 102, 063105. [Google Scholar] [CrossRef]
- Duchon, J.; Robert, R. Inertial energy dissipation for weak solutions of incompressible Euler and Navier-Stokes equations. Nonlinearity 2000, 13, 249. [Google Scholar] [CrossRef]
- Cheminet, A.E.A. Eulerian vs. Lagrangian irreversibility in an experimental turbulent swirling flow. Phys. Rev. Lett. 2022, 129, 124501. [Google Scholar] [CrossRef] [PubMed]
- Harekrishnan, A. Direct Numerical and Experimental Observation of Reconnection in a Turbulent Swirling Flow; University Paris Saclay, SPEC: Gif sur Yvette, France, 2022; to be submitted. [Google Scholar]
- Paladin, G.; Vulpiani, A. Degrees of freedom of turbulence. Phys. Rev. A 1987, 35, 1971–1973. [Google Scholar] [CrossRef] [PubMed]
- Luo, G.; Hou, T.Y. Potentially singular solutions of the 3D axisymmetric Euler equations. Proc. Natl. Acad. Sci. USA 2014, 111, 12968–12973. [Google Scholar] [CrossRef] [PubMed]
- Barkley, D. A fluid mechanic’s analysis of the teacup singularity. Proc. R. Soc. Math. Phys. Eng. Sci. 2020, 476, 20200348. [Google Scholar] [CrossRef]
- Ostilla-Mónico, R.; McKeown, R.; Brenner, M.P.; Rubinstein, S.M.; Pumir, A. Cascades and reconnection in interacting vortex filaments. Phys. Rev. Fluids 2021, 6, 074701. [Google Scholar] [CrossRef]
- Harekrishnan, A. (Warwick University, Coventry, UK). Private Communication, 2022. [Google Scholar]
- Hasimoto, H. A soliton on a vortex filament. J. Fluid Mech. 1972, 51, 477–485. [Google Scholar] [CrossRef]
- Konopelchenko, B.G.; Ortenzi, G. Gradient catastrophe and flutter in vortex filament dynamics. J. Phys. Math. Theor. 2011, 44, 432001. [Google Scholar] [CrossRef][Green Version]
- Moffatt, H.K.; Kimura, Y. Towards a finite-time singularity of the Navier-Stokes equations Part 1. Derivation and analysis of dynamical system. J. Fluid Mech. 2019, 861, 930–967. [Google Scholar] [CrossRef]
- Moffatt, H.K.; Kimura, Y. Towards a finite-time singularity of the Navier-Stokes equations. Part 2. Vortex reconnection and singularity evasion. J. Fluid Mech. 2019, 870, R1, Corrigendum in J. Fluid Mech. 2020, 887, E2. [Google Scholar] [CrossRef]
- Buaria, D.; Pumir, A.; Bodenschatz, E. Self-attenuation of extreme events in Navier–Stokes turbulence. Nat. Commun. 2020, 11, 5852. [Google Scholar] [CrossRef]
- Calogero, F. Motion of poles and zeros of special solutions of nonlinear and linear partial differential equations and related solvable many-body problems. Il Nuovo Cimento B (1971–1996) 1978, 43, 177–241. [Google Scholar] [CrossRef]
- Senouf, D.; Caflisch, R.; Ercolani, N. Pole dynamics and oscillations for the complex Burgers equation in the small-dispersion limit. Nonlinearity 1996, 9, 1671–1702. [Google Scholar] [CrossRef][Green Version]
- Buaria, D.; Sreenivasan, K.R. Dissipation range of the energy spectrum in high Reynolds number turbulence. Phys. Rev. Fluids 2020, 5, 092601. [Google Scholar] [CrossRef]
- Canet, L.; Rossetto, V.; Wschebor, N.; Balarac, G. Spatiotemporal velocity-velocity correlation function in fully developed turbulence. Phys. Rev. E 2017, 95, 023107. [Google Scholar] [CrossRef] [PubMed]
- Debue, P.; Kuzzay, D.; Saw, E.W.; Daviaud, F.m.c.; Dubrulle, B.; Canet, L.; Rossetto, V.; Wschebor, N. Experimental test of the crossover between the inertial and the dissipative range in a turbulent swirling flow. Phys. Rev. Fluids 2018, 3, 024602. [Google Scholar] [CrossRef]
- Benzi, R.; Paladin, G.; Parisi, G.; Vulpiani, A. On the multifractal nature of fully developed turbulence and chaotic systems. J. Phys. Math. Gen. 1984, 17, 3521–3531. [Google Scholar] [CrossRef]
- Boffetta, G.; Mazzino, A.; Vulpiani, A. Twenty-five years of multifractals in fully developed turbulence: A tribute to Giovanni Paladin. J. Phys. Math. Theor. 2008, 41, 363001. [Google Scholar] [CrossRef]
- Meneveau, C.; Sreenivasan, K.R. The multifractal nature of turbulent energy dissipation. J. Fluid Mech. 1991, 224, 429–484. [Google Scholar] [CrossRef]
- Chevillard, L.; Roux, S.G.; Lévêque, E.; Mordant, N.; Pinton, J.F.; Arnéodo, A. Intermittency of Velocity Time Increments in Turbulence. Phys. Rev. Lett. 2005, 95, 064501. [Google Scholar] [CrossRef]
- Borgas, M.S. The multifractal lagrangian nature of turbulence. Philos. Trans. R. Soc. Lond. Ser. Phys. Eng. Sci. 1993, 342, 379–411. [Google Scholar] [CrossRef]
- Biferale, L.; Boffetta, G.; Celani, A.; Devenish, B.J.; Lanotte, A.; Toschi, F. Multifractal Statistics of Lagrangian Velocity and Acceleration in Turbulence. Phys. Rev. Lett. 2004, 93, 064502. [Google Scholar] [CrossRef] [PubMed]
- Arnèodo, A.; Benzi, R.; Berg, J.; Biferale, L.; Bodenschatz, E.; Busse, A.; Calzavarini, E.; Castaing, B.; Cencini, M.; Chevillard, L.; et al. Universal Intermittent Properties of Particle Trajectories in Highly Turbulent Flows. Phys. Rev. Lett. 2008, 100, 254504. [Google Scholar] [CrossRef] [PubMed]






| Relativity | Multi-Fractal | |
|---|---|---|
| Time | T | |
| Space | X | |
| Speed | ||
| Group structure | velocity composition | relative exponent composition |
| Limiting speed(s) | c | and |
| Thermodynamics | Turbulence | |
|---|---|---|
| Temperature | ||
| Energy | E | |
| Entropy | S | , |
| Number of d.f. | N | |
| Volume | V | |
| Free energy | F |
Publisher’s Note: MDPI stays neutral with regard to jurisdictional claims in published maps and institutional affiliations. |
© 2022 by the author. Licensee MDPI, Basel, Switzerland. This article is an open access article distributed under the terms and conditions of the Creative Commons Attribution (CC BY) license (https://creativecommons.org/licenses/by/4.0/).
Share and Cite
Dubrulle, B. Multi-Fractality, Universality and Singularity in Turbulence. Fractal Fract. 2022, 6, 613. https://doi.org/10.3390/fractalfract6100613
Dubrulle B. Multi-Fractality, Universality and Singularity in Turbulence. Fractal and Fractional. 2022; 6(10):613. https://doi.org/10.3390/fractalfract6100613
Chicago/Turabian StyleDubrulle, Bérengère. 2022. "Multi-Fractality, Universality and Singularity in Turbulence" Fractal and Fractional 6, no. 10: 613. https://doi.org/10.3390/fractalfract6100613
APA StyleDubrulle, B. (2022). Multi-Fractality, Universality and Singularity in Turbulence. Fractal and Fractional, 6(10), 613. https://doi.org/10.3390/fractalfract6100613

