Next Article in Journal
Lightweight GAN-Assisted Class Imbalance Mitigation for Apple Flower Bud Detection
Next Article in Special Issue
From Accuracy to Vulnerability: Quantifying the Impact of Adversarial Perturbations on Healthcare AI Models
Previous Article in Journal
Leveraging Open Big Data from R&D Projects with Large Language Models
Previous Article in Special Issue
DBSCAN SMOTE LSTM: Effective Strategies for Distributed Denial of Service Detection in Imbalanced Network Environments
 
 
Due to scheduled maintenance work on our servers, there may be short service disruptions on this website between 11:00 and 12:00 CEST on March 28th.
Font Type:
Arial Georgia Verdana
Font Size:
Aa Aa Aa
Line Spacing:
Column Width:
Background:
Article

Application of Symbolic Classifiers and Multi-Ensemble Threshold Techniques for Android Malware Detection

by
Nikola Anđelić
1,*,†,
Sandi Baressi Šegota
1,† and
Vedran Mrzljak
2
1
Faculty of Engineering, Department of Automation and Electronics, University of Rijeka, 51000 Rijeka, Croatia
2
Faculty of Engineering, Department of Thermodynamics and Energy Engineering, University of Rijeka, 51000 Rijeka, Croatia
*
Author to whom correspondence should be addressed.
These authors contributed equally to this work.
Big Data Cogn. Comput. 2025, 9(2), 27; https://doi.org/10.3390/bdcc9020027
Submission received: 23 December 2024 / Revised: 17 January 2025 / Accepted: 24 January 2025 / Published: 29 January 2025
(This article belongs to the Special Issue Big Data Analytics with Machine Learning for Cyber Security)

Abstract

Android malware detection using artificial intelligence today is a mandatory tool to prevent cyber attacks. To address this problem in this paper the proposed methodology consists of the application of genetic programming symbolic classifier (GPSC) to obtain symbolic expressions (SEs) that can detect if the android is malware or not. To find the optimal combination of GPSC hyperparameter values the random hyperparameter values search method (RHVS) method and the GPSC were trained using 5-fold cross-validation (5FCV). It should be noted that the initial dataset is highly imbalanced (publicly available dataset). This problem was addressed by applying various preprocessing and oversampling techniques thus creating a huge number of balanced dataset variations and on each dataset variation the GPSC was trained. Since the dataset has many input variables three different approaches were considered: the initial investigation with all input variables, input variables with high feature importance, application of principal component analysis. After the SEs with the highest classification performance were obtained they were used in threshold-based voting ensembles and the threshold values were adjusted to improve classification performance. Multi-TBVE has been developed and using them the robust system for Android malware detection was achieved with the highest accuracy of 0.98 was obtained.

1. Introduction

The detection of Android malware is critical due to the global prevalence of Android devices, which are highly attractive targets for cybercriminals [1]. With over 2 billion active devices, Android holds a dominant position in the mobile market, supporting a vast ecosystem of apps and services. However, its open-source architecture and comparatively lenient app review processes—unlike more restrictive platforms such as iOS—expose it to significant malware threats. These malicious programs can exfiltrate sensitive personal or financial information, compromise user privacy, disrupt device performance, and even grant unauthorized access to devices, leading to potentially severe consequences for both individuals and organizations. Robust malware detection mechanisms are essential for protecting user data and devices, fostering trust in mobile platforms, and supporting the sustainable growth of the mobile technology industry.
Cybercriminals are constantly developing more sophisticated and stealthy malware, making traditional signature-based detection methods less effective [2]. As malware evolves, it often employs polymorphic and metamorphic techniques, which allow it to modify its structure and behavior dynamically to evade detection. This highlights the need for advanced detection mechanisms that can adapt to and outsmart these evolving threats.
Artificial Intelligence (AI) has become an indispensable resource for detecting Android malware, thanks to its capacity to analyze extensive datasets and uncover intricate patterns. AI-driven approaches utilize methods such as machine learning (ML) and deep learning (DL) to evaluate and categorize applications as either benign or malicious. These models are trained using datasets that include features extracted from applications, such as permissions, API usage, network activity, and source code characteristics. After training, the models can identify previously unknown malware by detecting behavioral patterns associated with malicious activities.
AI-powered malware detection systems operate through various approaches. Static analysis examines an application’s code or metadata without execution, relying on AI models to detect anomalies or features associated with malicious behavior [3]. Dynamic analysis, on the other hand, involves executing the application within a controlled environment (sandbox) to observe its real-time actions, such as file alterations, network communications, and interactions with the operating system [4]. Hybrid methods integrate static and dynamic analyses to provide more thorough detection capabilities [5]. Additionally, recent innovations, such as reinforcement learning and adversarial training, have enhanced the resilience of AI models against sophisticated and evasive malware techniques [6].
One notable trend is the growing adoption of federated learning [7], a decentralized approach that allows collaborative training of AI models without sharing raw data. This method enhances data privacy while maintaining detection accuracy, making it particularly relevant for cybersecurity applications. Another significant development is the integration of explainable AI (XAI) techniques, such as SHAP (SHapley Additive exPlanations) and LIME (Local Interpretable Model-Agnostic Explanations), which provide greater transparency and interpretability in decision-making processes, addressing the critical need for trust in AI systems [8]. Additionally, increasing research is focusing on improving the adversarial robustness of AI models, as they remain vulnerable to adversarial attacks that can compromise detection performance. However, despite these advancements, challenges persist, including the need for larger labeled datasets, high computational costs, and generalization issues in detecting novel malware variants. These limitations underscore the importance of continued research and innovation in the field.
By automating malware detection and adapting to evolving attack strategies, AI significantly improves detection accuracy while reducing the time and resources required to mitigate threats. This capability is crucial for staying ahead in the rapidly changing cybersecurity landscape. In [9], the MaMaDroid system was introduced as a static-analysis-based malware detection approach for Android. It abstracts API calls to class, package, or family levels and models their sequences using Markov chains. The authors employed classifiers such as 1-Nearest Neighbor (1-NN), 3-Nearest Neighbor (3-NN), Random Forest Classifier (RFC), and Support Vector Machines (SVM) for detection. Tested on a dataset covering six years, MaMaDroid achieved an F1-Score of up to 0.99 and demonstrated long-term effectiveness, outperforming methods like DroidAPIMiner. In [10], a GA-StackingMD method was proposed for Android malware detection. This approach utilizes a stacking ensemble combining five different base classifiers, with the system’s optimal hyperparameters determined via a Genetic Algorithm (GA). The proposed method achieved accuracy rates of 98.43% and 98.66% on the AndMAL2017 and CICMalDroid2020 datasets, respectively.
The Time-Aware Machine Learning (TAML) framework, introduced in [11], has proven effective for Android malware detection. Using the KronoDroid dataset, which comprises 77,000 applications, the framework identified the “LastModDate” feature as particularly significant. TAML outperformed traditional machine learning models, achieving an F1-Score of 99.28%.
In [12], Convolutional Neural Networks (CNNs) were applied to detect Android malware, yielding an accuracy of 98%. Similarly, Recurrent Neural Networks (RNNs) were used in [13] to analyze API call sequences, successfully distinguishing between benign and malicious applications with an accuracy of 98.2%.
The Extra Trees Classifier (ETC) was utilized in [14] for malware detection, using a dataset balanced with the Synthetic Minority Oversampling Technique. By combining multiple ETC models into a voting ensemble, an accuracy of 98% was achieved. A deep learning framework employing Linux kernel system call graphs for Android malware detection was proposed in [15]. This method combined CNNs with graph embedding techniques, achieving an accuracy of 94.7%.
Swarm Intelligence (SI), Artificial Neural Networks (ANNs), and Genetic Algorithms (GAs) were integrated in [16] to detect both known and emerging Android malware. The investigation reported an average accuracy of 99.16%. In [17], a combination of classifiers, including ANN, Logistic Regression (LR), Decision Tree Classifier (DTC), K-Nearest Neighbors (KNN), and Random Forest Classifier (RFC), was used. ANN achieved the highest accuracy of 90% in this study.
The work in [18] converted Android APK files into binary codes and RGB images for use as inputs to deep learning models. Using models like DenseNet169, Xception, InceptionV3, ResNet50, and VGG16, the highest classification accuracies were achieved by DenseNet169 (95.2%), InceptionV3 (95.24%), and VGG16 (95.83%). Finally, ref. [19] compared RFC and CNN for Android malware classification, with RFC outperforming CNN, achieving a classification accuracy of 92.55%.
The results reported in previous research papers are summarized in the following Table 1.
In Table 1 the majority of research papers used the hardly explainable models to predict if the Android application is malware or not. The reported results are excellent however, the major problem is that the majority of these algorithms simply cannot be transformed into mathematical equations that can be easily used. This statement is especially valid for artificial neural networks (ANNs) that cannot be transformed into mathematical equations due to a large number of interconnected neurons.
The novelty in this paper is the application of genetic programming symbolic classifier which after training generates the symbolic expression (SE) that is easy to interpret and can be easily stored and easy to use. The GPSC will be applied to the publicly available dataset. Two major problems must be handled with this dataset before training GPSC on it and these are: the large number of input variables and the imbalance between class samples in the target variable. A large number of input variables will be handled by considering three different approaches i.e., use the dataset with all input variables, the dataset with a reduced number of input variables through feature importance obtained with Random Forest Classified, and the dataset with a reduced number of input variables using Principal component analysis. The imbalance between class samples will be solved with the application of different oversampling techniques. However, before the application of oversampling techniques, the scaling/normalization techniques will be applied since one of the ideas is to investigate the influence of scaling/normalization techniques on the classification performance of obtained SEs using GPSC. With the utilization of such an approach, multiple balanced dataset variations will be created and GPSC will be applied to each of them. The benefit of GPSC could be the generation of the SE however, the main disadvantage of the GPSC is that it has a lot of hyperparameters, and their values have to be finely tuned (optimized) to obtain SE with high classification performance. To solve this problem efficiently the random hyperparameter values search (RHVS) method will be developed and applied i.e., using this method the assumption is that the optimal combination of GPSC hyperparameter values will be found quickly. To achieve robustness the GPSC will be trained using 5-fold cross-validation (5FCV) on each balanced dataset variation. By doing so after the 5FCV process a total of 5 SEs will be obtained (1 per each split of 5FCV). After GPSC was applied to each of the balanced dataset variations the idea was to use the best sets of SEs and develop the Threshold Based Voting Ensemble (TBVE) and by adjusting its threshold value increase the classification performance as much as possible. Since three types of initial datasets were considered the three TBVEs were created. The TBVEs are: a TBVE that consists of SEs obtained on balanced dataset variations requiring all input variables, a TBVE that consists of SEs obtained on balanced dataset variations with a reduced number of input variables through feature importance obtained using RFC, and a TBVE with SEs obtained on balanced dataset variations with reduced number of input variables through PCA. Since three different TBVEs will be created the idea is also to investigate the the classification performance could be improved by creating TBVEs with majority and weighted voting. Based on a detailed literature review the following hypothesis will be investigated in this paper:
  • Is it possible to obtain the SEs that could detect the Android malware with the application of GPSC?
  • can use the balanced dataset variations obtained with data preprocessing techniques the GPSC generate SEs with high classification performance? Do preprocessing techniques have any effect on the classification performance of obtained SEs?
  • Is it possible to obtain a robust set of SEs with high classification performance using GPSC trained with 5FCV?
  • Is it possible to find the optimal combination of GPSC hyperparameter values using the RHVS method using which the obtained SEs have the highest classification performance?
  • Is it possible with a combination of SEs in TBVE and with threshold adjustment achieve even higher classification performance?
  • Is it possible to increase classification performance by combining multiple TBVEs into multi-TBVE with majority or weighted voting?
The rest of the paper consists of the following sections: Materials and Methods, Results, Discussion, and Conclusions. The materials and methods contain the research methodology, dataset description and statistical analysis, genetic programming symbolic classifier, evaluation metrics, train-test procedure, and threshold-based voting ensemble. The results section contains the comparison of the classification performance of the best SEs obtained on each balanced dataset variation. This section also includes the analysis of optimal hyperparameter values obtained with the RHVS method as well as the investigation and results of TBVE. The discussion section provides a detailed analysis of the obtained results and the proposed research methodology. The conclusions section consists of answers to hypotheses defined in this section, advantages and disadvantages of the proposed research methodology, and finally based on disadvantages the directions for future work.

2. Materials and Methods

The Materials and Methods section consists of the following subsections: Research methodology, Dataset Description and statistical analysis, Description and results of preprocessing and oversampling techniques, genetic programming symbolic classifier (GPSC) with random hyperparameter value search method (RHVS), the evaluation metric values, the training-testing procedure, and threshold-based voting ensembles.

2.1. Research Methodology

The research methodology is shown in Figure 1.
The research methodology shown in Figure 1 consist of the following steps:
  • Step 1: initial dataset statistical analysis with application of dataset preprocessing and oversampling techniques. It should be noted that at this stage three different approaches were considered i.e., the dataset with all input variables, the dataset with a reduced number of input variables by selecting those with high feature importance obtained through the Random Forest Classifier, and the reduction of dataset variables through principal component analysis. In each of these approaches, the obtained dataset will be subjected to scaling/normalization techniques and oversampling techniques to obtain balanced dataset variations.
  • Step 2: After balanced dataset variations were obtained each of these datasets will be used to train GPSC to obtain SEs. The GPSC will be trained using 5FCV so after each training is completed 5SEs will be obtained (one SE per one split of 5FCV). Since GPSC has a large number of hyperparameters the idea is to find the optimal combination of hyperparameter values using which the highest classification performance could be achieved on each balanced dataset variation. To find this optimal combination of GPSC hyperparameter values the random hyperparameter values search (RHVS) method will be developed and applied.
  • Step 3: When the best set of SEs is obtained on each balanced dataset variation the evaluation and analysis of these SEs will be performed and the best SEs with the highest classification performance will be selected for Threshold-based voting ensembles (TBVEs). Since there are three different approaches considered i.e., with all input variables, with a reduced number of variables through feature importance, and reduction of dataset variables through PCA three different TBVEs will be created. The idea of TBVE is to adjust the threshold value using which the highest classification performance could be achieved. In this investigation, the threshold value is the minimum number of the same predictions by SEs that must be taken into account to achieve the highest classification performance. In other words, the threshold value is the number of SEs that must be taken into account per sample to achieve the highest classification performance.
  • Step 4: Finally all three finely tuned TBVEs will be combined into one system and the number of included TBVEs versus classification performance will be investigated to see if eventually the classification performance could be increased.

2.2. Dataset Description and Statistical Analysis

In this paper the publicly available dataset was used (the link is provided in Data Availability Statement). The dataset consist of 4464 samples and 241 input variables and one target variable. However, one dataset sample contains NaN values and was removed from the dataset. It should be noted that from the original dataset three initial dataset variations will be created, and these are:
  • the dataset with all 241 input variables,
  • the dataset with reduced number of input variables that where selected using feature importance through Random Forest Classifier (RFC), and
  • the dataset with reduced number of input variables through the application of principal component analysis (PCA).
The flowchart of dataset investigation and statistical analysis is shown in Figure 2.
As seen from Figure 2 from the initial dataset three different dataset variations were created and these are: the dataset with all input variables, the dataset with reduced number of input variables through feature importance, and the dataset with reduced number of input variables through PCA.
Initially the statistical analysis of all three datasets consisted of: initial statistical analysis (min, max, mean, std) of all dataset variables, Pearson’s correlation analysis, and the boxplot for outlier detection. However, this was not possible for several reasons:
  • in the initial dataset there were too many input variables (241) so the table showing results of the initial statistical analysis would be too long (more than 15 pages). That is why the table is located on GitHub repository (check the appendix section for more information), the correlation analysis is conducted only between each input variable and the target variable and is shown in the paper. The outlier detection was not performed due to a large number of dataset variables.
  • the dataset with reduced number of input variables through RFC feature importance—since there is small number of input variables the initial statistical analysis is performed and shown in table in table form, the Pearson’s correlation analysis is performed and shown in form of a heatmap, as well as the boxplot for outlier detection.
  • the dataset with reduced number of input variables through PCA—due to a large number of dataset variables (146) the statistical analysis, correlation heatmap, and boxplot (outlier detection) could not be shown in the paper.
Since all datasets are derived from the initial dataset all of them have the same number of samples per class. The balance between class samples was investigated on the initial dataset.

2.2.1. Statistical Analysis of the Dataset with All Input Variables

As stated previously, the dataset consists of 241 input variables. The initial statistical analysis is performed however, due to a large number of dataset variables the table with results of statistical analysis is not shown here. The table with the results of statistical analysis is shown in the GitHub repository and how to access all the results please check the Appendix B.
The statistical analysis showed that the dataset consists of various permissions or attributes of applications, measured across 4464 samples. Each attribute is summarized using descriptive statistics (count, mean, standard deviation (std), minimum (min), and maximum (max)). It should be noted that 241 input variables in GPSC were labeled as X 0 , ⋯, X 240 while the target (output) variable is labeled as y. Some of the input variables and the target variable will be described here.
The dataset variables such as ACCESS_PROVIDER ( X 0 ), ACCESS_SERVICE ( X 11 ), ACTIVITY_RECOGNITION X 17 , ANT X 20 , and ANT_ADMIN ( X 21 ) have both mean and std values equal to 0. These values indicate that the aforementioned dataset variables are absent across all samples (i.e., their values are always zero). It should be noted that this dataset without any removal of dataset variables was used in GPSC to see which dataset variables will be included in obtained SEs.
Attributes with a very small mean (close to 0) and a low standard deviation such as ACCESS_ALL_DOWNLOADS ( X 0 ) (mean = 0.000896, std = 0.029924) are rare in the dataset, appearing in only a fraction of the dataset. The small standard deviation reflects that most samples have values close to the mean value.
Attributes with a high mean (close to 1 or significant) suggest frequent presence. For example INTERNET ( X 98 ) (mean = 0.7336, std = 0.4421) indicates that about 73.4% of applications require internet access. Another example is the ACCESS_NETWORK_STATE ( X 9 ) (mean = 0.5935, std = 0.4907) indicates that roughly 59.6% of applications access the network state.
For dataset variables where max = 1 and min = 0, the data can be treated as binary (either the attribute is presented or absent). This is true for most of the dataset variables in the dataset. For example, ACCESS_COARSE_LOCATION (mean = 0.0833, std = 0.2764) indicates that 8.33% of applications request coarse location permissions.
Some dataset variables exhibit a high standard deviation relative to their mean. For example, CAMERA ( X 55 ) (mean = 0.2264, std = 0.4186) indicates variability in whether apps require camera access. Despite a moderate mean, some samples may heavily influence the data due to outliers or clustered use cases.
Some dataset variables have a mean close to 0 but still show minor variability, indicating that while rare, these dataset variables do occur sporadically. For example ACCESS_FINE_LOCATION ( X 6 ) (mean = 0.0878, std = 0.2830) which suggests that 8.78% of applications request fine location permissions with minimal variations across samples.
From the results of the statistical analysis, it can be observed logical groupings based on permissions. There are location-related permissions, Bluetooth-related permissions, and network permissions.
The dataset variables such as ACCESS_SUPERUSER show a maximum value of 1 but have a very small mean and std. These dataset variables indicate rare outliers. The ACCESS_SUPERUSER () (mean = 0.0017, std = 0.0423) indicates that very few applications in the dataset use this high-privilege permission.
Certain dataset variables likely co-occur due to logical dependencies. For example, ACCESS_FINE_LOCATION is likely to also request the ACCESS_COARSE_LOCATION. Permissions like ACCESS_NETWORK_STATE and INTERNET may appear together, reflecting network-dependent applications.
The next step in the dataset analysis is to perform the correlation analysis. Pearson’s correlation analysis is used to investigate the correlation between the dataset variables. The correlation range between two dataset variables can be in the −1 to 1 range. The −1 indicates the perfect negative correlation while 1 indicates the perfect positive correlation. If the correlation value between two dataset variables is −1 this means that increasing the value of one variable will automatically decrease the value of the other variable and vice versa. If the correlation value between two dataset variables is 1 this means that if the value of one dataset variable increases the value of the other will also increase and vice versa. The worst correlation value between two variables is 0 which means that no matter if one input variable increases or decreases its value it would not have any effect on the other variable. Due to a large number of input variables the correlation heatmap is too large to be presented in this paper.
The correlations between input variables and the target variable (“Label”) shown in Figure 3 can be categorized into Positive, Negative, Moderate, Weak, and Null/Missing correlations. The positive correlations include RECEIVE_BOOT_COMPLETED (0.7604), GET_TASKS (0.5632), and WAKE_LOCK (0.4721), which suggest that malware often persists by starting at boot, exploits running application tracking, and uses wake locks to remain active for background operations. In contrast, the negative correlations include Ljava/net/URL;->openConnection (−0.7122), Landroid/location/LocationManager;->getLastKnownLocation (−0.6539), and Ljava/lang/System;->loadLibrary (−0.4708). These indicate that legitimate applications are more likely to rely on URL connections, location services, and library loading than malicious apps.
Some variables show moderate correlations, such as KILL_BACKGROUND_PROCESSES (0.438), SYSTEM_ALERT_WINDOW (0.281), and WRITE_EXTERNAL_STORAGE (−0.201). These suggest that malicious apps may kill background processes to gain resources, use alert windows for intrusive activities, or avoid external storage operations to evade detection. The weak correlations include ACCESS_FINE_LOCATION (−0.276) and ACCESS_COARSE_LOCATION (−0.267), suggesting that location-based services are less indicative of malware, while CAMERA (0.094) and RECORD_AUDIO (−0.135) hint at potential surveillance activities.
Finally, some variables, such as BODY_SENSORS (−0.002) and TRANSMIT_IR (−0.002), show negligible correlations, indicating limited use by malicious apps. Due to the large number of input variables, boxplot analysis and outlier detection were avoided, as even focusing on outliers resulted in excessive clutter. All input variables have a range between 0 and 1, meaning scaling and normalization are unnecessary. However, to evaluate their impact on classification performance, these techniques will still be applied in this study.
Besides the dataset with all the input variables used for this investigation the idea is to try to reduce the number of dataset vairables. The reduction of input variables will be conducted in two different ways i.e.,
  • using feature importance with random forest classifier, and
  • principal component analysis.

2.2.2. Dataset Reduction Through the Use of Feature Importance with Random Forrest Classifier

Feature selection simplifies datasets by identifying the most relevant features for training, improving efficiency and model performance. Random Forest Classifier (RFC) calculates feature importance based on metrics like Gini impurity, ranking features by their impact on predictions. By retaining features with importance scores of at least 0.01, the dataset was reduced to 24 input variables. This approach enhances interpretability, reduces overfitting, and uncovers meaningful data patterns, making RFC an excellent choice for feature selection.
The threshold of 0.01 for feature importance in the RFC was selected based on empirical observations. This value ensures that features contributing minimally to the model’s predictive performance are excluded, thereby reducing dimensionality while retaining the most relevant features for classification. A higher threshold may risk excluding potentially informative features, while a lower threshold could result in overfitting due to the inclusion of noise. The choice of 0.01 balances these considerations and effectively optimizes the model’s performance. The feature importances based on the conducated analysis are shoned in the Figure 4.
The most important features identified by the Random Forest Classifier (RFC) (Figure 4) for Android malware detection are RECEIVE_BOOT_COMPLETED (0.162467), Ljava/net/URL;->openConnection (0.087250), Landroid/location/LocationManager; ->getLastKnownLocation (0.071938), GET_TASKS (0.068060), and WAKE_LOCK (0.053321). These features play a critical role in distinguishing malicious from benign apps. RECEIVE_BOOT_COMPLETED has the highest importance, as it indicates malware that auto-starts on device boot. GET_TASKS suggests malware may analyze running processes, while Landroid/location/LocationManager;->getLastKnownLocation highlights risks from covert location tracking. WAKE_LOCK is linked to preventing sleep mode, enabling background tasks. Moderate features like KILL_BACKGROUND_PROCESSES (0.044276) and RECEIVE_SMS (0.026409) are less critical but relevant, while lower-impact features like ACCESS_NETWORK_STATE (0.010201) and Landroid/location/LocationManager;->getLastKnownLocation (0.010185) provide additional context, particularly for detecting malicious network or app inspection activities. The results of initial statistical analysis of the dataset with reduced number of input variables (reduced via feature importance using RF) is shown in Table 2.
The results of statistical analysis shown in Table 2 showed that all dataset variables have the same number of samples i.e., 4464. All input variables as well as the target variable have the same minimum and maximum values (0 and 1). For instance, the RECEIVE_BOOT_COMPLETED permission has a high mean value of 0.8436, indicating that this permission is frequently used across the dataset, with a standard deviation of 0.3632. Similarly, the WAKE_LOCK permission exhibits an even higher usage with a mean of 0.8855 and a lower standard deviation of 0.3184, suggesting consistent use across the applications. On the contrary, certain permissions or methods such as Ljava/lang/System;->loadLibrary (mean = 0.1046, std = 0.3061) and Landroid/telephony/TelephonyManager;->getSimOperatorName (mean = 0.0562, std = 0.2304) appear infrequently, with lower mean values and tighter standard deviations. Methods like Ldalvik/system/DexClassLoader;->loadClass (mean = 0.0587, std = 0.2351) and Landroid/content/pm/PackageManager;->getInstalledPackages (mean = 0.0520, std = 0.2220) are used the least, as reflected by their minimal mean values. Permissions related to networking, such as ACCESS_NETWORK_STATE and ACCESS_WIFI_STATE, exhibit moderate usage with mean values of 0.5963 and 0.3289, respectively, and standard deviations suggesting some variability. Interestingly, the Label column has a high mean value of 0.7986, which might indicate a strong prevalence of a specific classification label associated with these entries.
Key findings from Table 2 are:
  • Feature selection and representation—the table shows a reduced dataset consisting of 23 input variables selected using RFC feature importance. These features are represented in GPSC as symbolic variables ( Z 0 , Z 1 , ⋯, Z 22 ).
  • Binary features with Balanced distributions—Most features have values in the 0 to 1 range, indicating binary or normalized attributes. The mean values indicate varying levels of presence or activation of features. For example: WAKE LOCK has a high mean (0.89) which suggest a frequent occurence in the dataset. Landroid/telephony/TelephonyManager getSimOperatorNAme has a low mean (0.05), indicating rare occurence.
  • Standard Deviations highlight variability—Standard deviation values reveal the spread of data for each feature. Features like RECEIVE COMPLETED (Z_0) and GET TASKS (Z_3) show relatively low variability.
  • Label Distribution—The target variable (y) has a mean of 0.79, suggesting class imbalance with more samples labeled as 1 (positive class).
The Pearson’s correlation analysis was performed on the reduced dataset obtained through feature importance obtained with RFC. The Pearson’s correlation analysis is shown in Figure 5.
From Figure 5 it can be noticed that majority of input dataset variables have good correlation to the target variable “Label”. The Ljava/net/URL;->openConnection and Landroid/location/LocationManager;->GetLastK0wnLocation have high negative correlation of −0.71221 and −0.65387 with the output (target) variable Label. The 6 input variables have good negative correlation in −0.48 to −0.3 range with the output variable Label. The 11 input variables have low correlation with the output variable in −0.27 to 0.28 range. The KILL_BACKGROUND_PROCESSES and WAKE_LOCK have good positive correlation of 0.43 and 0.47 to the output variable. The GET_TASKS and RECEIVE_BOOT_COMPLETED have high correlation values of 0.56 and 0.76 with the output variable.
The boxplot showing the value ranges fro all the dataset variables including outliers is shown in Figure 6.
As seen from Figure 6 it can be noticed that all the dataset variables have 0 to 1 range. The majority of these dataset variables are continuous meaning that the distribution spreads across the aforementioned range. However, some of these variables are discrete like the target variable “Label” that have 0 and 1 values only.

2.2.3. Reduction of Dataset Input Variables Through PCA

Another approach considered was the reduction of the dataset input variables through the principal component analysis (PCA). The PCA is a widely used statistical method for dimensionality reduction that transform a high-dimensional dataset into a smaller set of components while retaining most of the original information [20]. The PCA aims to:
  • reduce the number of variables (dimensions) in the dataset
  • capture the most important patterns or features in the data
  • minimize information loss while simplifying the dataset’s structure.
This is especially valid in case of large dataset with many correlated variables, where working with all features may be computationally expensive or lead to overfitting in machine learning models. The PCA consist of several steps and these are:
  • Standardize the data—since PCA is sensitive to the scale of the data, it begins by standardizing the variables to have a mean of 0 and a standard deviaiton of 1. This ensures that variables with larger magnitudes don not dominate the analysis.
  • Compute the covariance matrix—PCA examines relationships between variables by calculating the covariance matrix, which shows how pairs of variables vary together.
  • Find the eigenvectors and eigenvalues—the eigenvectors represent the directions of the new dimensions (principal components) in the data
  • Sort principal components
  • Transform the data
Before application of PCA the dataset should be subjected ot scaling or noramlization technique and in this investigation all 6 scaling/normalization techniques will be applied before application of PCA reduction method. Due to 6 scaled and the initial (usncaled) dataset the statistica, correlation, and boxplot/outlier detection analysis will not be presented in this paper. However it should be noted that when the PCA was applied on each dataset the idea was to include as many PCA variables as needed so that PCA variables explain the variability of the entire dataset. This is done by calculating the cumulative explained variance in the dataset as seen form Figure 7.
As seen from Figure 7 based on the explained variance ratio the number of Principla component indexes that should be in the dataset is 146. The idea is to achieve the explained variance ration of 1.0 (100%). What was interesting to notice was that regardless of the unscaled/scaled variation of dataset the number of PCA variablesi n each dataset was 146. The only problem in this case represented the Normalizer in which PCA could not generate the dataset with more than one variable so these dataset (Normalizer + PCA) were excluded from further analysis.

2.2.4. Statistical Analysis of Target Variable

Regardless of the reduction techniques used to reduce the number of input variables the major problem in this dataset is the unbalance between class labels in the output variable “Label”. Since this is a binary classification problem all dataset samples classified as Android Malware (labeled 1) have a different number of samples than the Android Goodware (labeled 0). This is a major problem and this type of dataset cannot be used for training any machine learning algorithms since after training they will be bised to the class with a higher number of samples. The number of samples for each label in the dataset is shown in Figure 8 in the form of the bar plot.
As seen from Figure 8 Android Goodware (labeled 0) contains 899 samples while Android malware (labeled 1) contains 3565 samples. From the number of samples of both labels, it can be concluded that the output variable is highly imbalanced and can not be used in this form for training GPSC or any other ML algorithm. So the application of oversampling/undersampling techniques is mandatory. In this investigation, oversampling techniques will be used since they do not require additional tuning and can generally reach the class balance quickly when compared to undersampling techniques. After the SEs are obtained using GPSC the SEs in threshold-based voting ensembles will be tested on these imbalanced datasets to investigate the classification performance.

2.2.5. Description of Scaling/Normalization Techniques

Data scaling and normalization techniques are essential for preprocessing datasets, and each method has its specific purpose. MaxAbsScaler scales each feature by dividing it by its maximum absolute value, ensuring the data values fall within the range [−1, 1] [20]. It is particularly suitable for sparse datasets, as it preserves the sparsity (many zero values) of the data. MinMaxScaler, on the other hand, transforms features to a fixed range, typically [0, 1], by subtracting the minimum value of a feature and dividing by its range [20]. It’s useful when all features need to have a uniform scale without changing the data distribution. Normalizer normalizes each sample (not each feature) to have a unit norm, which means it scales data by dividing each sample’s values by its Euclidean norm, making it effective for algorithms sensitive to the magnitude of feature vectors, such as K-Nearest Neighbors [20].
PowerTransformer applies a power transformation, such as the Box-Cox or Yeo-Johnson method, to make the data more Gaussian-like, addressing skewness in the dataset and stabilizing variance [20]. RobustScaler scales features using statistics that are robust to outliers, such as the median and interquartile range (IQR), ensuring that extreme values have less influence on the scaling process [20]. Lastly, StandardScaler standardizes features by removing the mean and scaling them to unit variance (z-scores) [20]. It assumes a Gaussian distribution and is widely used for machine learning algorithms that expect normally distributed data, such as support vector machines or linear regression. Each of these methods serves specific purposes based on the dataset characteristics and the requirements of the analysis or model.

2.2.6. Description of Oversampling Techniques

As stated previously the dataset balancing is mandatory due to the high imbalance between class labels since the dataset in this form could not be used for training the GPSC or any other ML algorithm as it will be biased towards the class with a higher number of samples. The balance between class labels could be achieved in two ways i.e., with the application of oversampling or undersampling techniques. Some additional techniques combine oversampling/undersampling techniques. However, the idea is to apply only the oversampling techniques since compared to undersampling techniques they easily achieve class balance and do not require the fine-tuning of their parameters. The application of undersampling techniques usually requires a long time and requires fine-tuning of its parameters. So balance between class samples in this paper was achieved with ADASYN, BorderlineSMOTE, KMeansSMOTE, SMOTE, and SVMSMOTE using default parameters.
Oversampling techniques are used to address class imbalance in datasets by generating synthetic samples for the minority class, improving classification performance. SMOTE (Synthetic Minority Oversampling Technique) is one of the most popular methods, creating synthetic samples by interpolating between existing minority samples and their nearest neighbors, ensuring that the new samples lie along the feature space [21]. BorderlineSMOTE is an extension of SMOTE that focuses on samples near the decision boundary (the borderline) between classes, as these are the most difficult to classify correctly. Generating synthetic samples near these critical areas, enhances the classifier’s ability to differentiate between classes [22]. ADASYN (Adaptive Synthetic Sampling) further adapts SMOTE by focusing on generating more samples in regions where the minority class is more underrepresented or where classification difficulty is higher, ensuring a better balance and representation in the feature space [23].
KMeansSMOTE integrates clustering into the SMOTE process by first using K-means clustering to divide the minority class into smaller groups [24]. Synthetic samples are then generated within these clusters, ensuring that the new samples reflect the internal structure and distribution of the minority class more accurately. Finally, SVMSMOTE combines SMOTE with support vector machines (SVMs) by generating synthetic samples along the SVM decision boundary, particularly focusing on regions where the classifier might struggle [25]. This method enhances the ability of SVM-based models to separate classes effectively. Together, these techniques provide diverse strategies for addressing class imbalance based on the data distribution and complexity of the classification task.

2.2.7. The Results of Dataset Scaling/Normalization and Oversampling Techniques

After the application of all oversampling techniques on original/scaled/normalized dataset variations, a total of 35 balanced dataset variations were created. The number of balanced dataset variations presented in Figure 9 is only for a dataset with all input variables.
From Figure 9 it can be noticed that Android Malware (label_1) is always constant i.e., this label was not oversampled. However, the Android Goodware was oversampled (label_0) and from the results shown in Figure 9 it can be noticed that almost all balanced dataset variations contain the same number of samples as the Android Malware (label_1). However, it can be noticed that in the case of the ADASYN technique, the balanced dataset variations have a slight difference between label_0 and label_1. For example, the MinMaxScalerADASYN dataset has 3554 label_0 samples and 3565 label_1 samples. A similar difference between samples can be noticed for all balanced dataset variations that were balanced with the KMeansSMOTE technique. It should be noticed that these differences are very small compared to the initial imbalance so all these datasets will be used to train GPSC to obtain SEs. The balanced dataset variations obtained using oversampling techniques on the original/scaled/normalized dataset variations with a reduced number of input variables using feature importance through PCA are shown in Figure 10.
From Figure 10 it can be noticed similar behavior as in the previous case. The BorderlineSMOTE, SMOTE, and SVMSMOTE generated perfectly balanced dataset variations. However, in the case of ADASYN and KMeansSMOTE, there are some variations between label_0 and label_1. The differences between label_0 and label_1 are extremely small compared to the initial imbalance so all the balanced dataset variations will be used to train GPSC to produce the SEs. The results of the application of oversampling techniques on the original/scaled/normalized dataset with a reduced number of input variables through PCA are shown in Figure 11.
From Figure 11 it can be noticed that the application of oversampling techniques was successful. The ADASYN and KMeansSMOTE generated balanced dataset variations with small differences between label_0 and label_1 while the rest of oversampling techniques generated perfectly balanced datasets. Regardless of the small differences between label_0 and label_1 are negligible in the case of datasets balanced with ADSYN and KMeansSMOTE so all balanced dataset variations will be used to train GPSC to produce SEs.

2.3. Genetic Programming Symbolic Classifier

Genetic programming (GP) in general is an evolutionary algorithm that requires the dataset with defined input variables and the output (target) variable. Based on the provided dataset and with user-defined mathematical functions and constant values the GP generates symbolic expressions (SEs) i.e., population members that are initially unfit for a particular task. In other words, these population members very roughly estimate the target variable. However, with the application of genetic operations (Crossover and mutation) from generation to generation these population members in the end can estimate the target variable with high performance [26]. The genetic programming symbolic classifier (GPSC) is used for classification tasks i.e., when GPSC is terminated one SE is obtained that can be used for the classification of the target variable.
As mentioned previously the dataset is required for the GPSC and besides that to develop the population members the mathematical functions and range of constant values are also required. These three sets together form the primitive set. The input variables are automatically detected when the dataset is provided and these variables are labeled from X 0 , ⋯, X n . The range of constant values is defined by the user by defining the hyperparameter ConstRange value. The mathematical functions used in this research are addition, subtraction, multiplication, division, square root, cube root, natural logarithm, and logarithm with bases 2 and 10. However, some of these functions had to be modified to avoid infinite values, imaginary values, and not number values. These modifications are described in the Appendix A.
The size of the initial population is defined using the PopSize hyperparameter value and this population will be propagated to the arbitrary number of generations usually defined with the MaxGen hyperparameter value. It should be noted that the MaxGen is one of the termination criteria and if this value is reached by the GPSC then the execution is terminated.
Here, it should be noted how the population members are developed. In GPSC there are three methods i.e., full, grow, and ramped half-and-half [26]. However, the full nad grow method is used in the ramped half-and-half method. Half of the population is created using the full method and the other half using the grow method.
After the population is created the population members have to be evaluated using the fitness function and the procedure for obtaining the fitness function value consists of the following steps:
  • Step 1: the dataset input variables are provided with each symbolic expression to compute the output
  • Step 2: the output obtained for each SE is used as input in the Sigmoid function which can be written as:
    S ( x ) = 1 1 + e x .
    It should be noted that the output of the Sigmoid function can be in the 0 to 1 range.
  • Step 3: The output from the Sigmoid function is then used as input to the binary cross-entropy loss function which can be written in the following form
    L BCE = 1 N i = 1 N y i log ( y ^ i ) + ( 1 y i ) log ( 1 y ^ i )
    where N is the number of samples, y i is the true label (0 or 1) for the sample i, and y ^ i is the predicted probability for sample i.
After population members are evaluated, they undergo a tournament selection (TS) process to determine a single winner for genetic operations like crossover and mutation. The TS size, controlled by the TS hyperparameter, dictates the number of population members competing. Winners are selected based on fitness function value and size to prevent the bloat phenomenon, where population members grow excessively without improving fitness, causing longer execution times and potential memory overflow. The parsimony pressure method, regulated by the parsCoeff hyperparameter, discourages selecting overly large members. However, parsCoeff must be carefully tuned to avoid hindering evolution or allowing bloat.
This research employs three mutation types—subtree, hoist, and point mutations—in addition to crossover. Crossover requires two TS winners, where subtrees are exchanged to create new members. Subtree mutation replaces a randomly selected subtree with nodes from the primitive set. Hoist mutation selects a subtree, identifies a node within it, and replaces the entire subtree with the node. Point mutation replaces randomly selected nodes with equivalent-type elements from the primitive set. These operations are controlled by the cross, subMute, hoistMute, and pointMute hyperparameters.
GPSC uses two termination criteria: max generations (maxGen) and stopping criteria (stopCrit). MaxGen sets the maximum number of generations, while stopCrit terminates execution if a minimum fitness value is reached. This research used only maxGen as the termination criterion. Additionally, the MaxSamp hyperparameter splits the dataset into training and unseen data. Training data trains the GPSC, while unseen data is used to calculate Out-of-Bag Fitness, ensuring consistent performance across both datasets during training.
As seen from the previous description it is obvious that the GPSC has a lot of hyperparameters and the goal is to find the optimal combination using which GPSC when trained will generate SE with the highest classification performance. To solve this problem the random hyperparameter values search (RHVS) method was developed and used. The RHVS method consists of the following steps:
  • Step 1: Define the initial boundaries for each GPSC hyperparameter
  • Step 2: Test the GPSC with each boundary value and investigate if the execution was successful,
  • Step 3: In case the GPSC could not execute successfully repeat the process with modified boundary values,
After investigation, the boundary values for each GPSC hyperparameter are listed in Table 3.
From Table 3 it can be noticed that subMute probability will be dominating genetic operation when compared to the others since the probability range for this genetic operation is 0.95 to 1. The initial GPSC investigation showed that this hyperparameter has greater influence than other genetic operations and unlike crossover requires only one TS winner. The parsimony coefficient has a very narrow range and this range proved to be stable in the initial investigation. Higher values choked the evolution of the population, while smaller values than lower boundaries generated large SEs.

2.4. Evaluation Metric Methods

To determine the quality of obtained SEs by training GPSC the accuracy_score (ACC), the area under the receiver operating characteristics curve (AUC), precision_score, recall_score, F1-score, and Confusion matrix. However, all of these evaluation metric techniques use basic elements of classification metrics and these are true positive, true negative, false positive, and false negative.
The TP is the number of correctly predicted positive classes by SE when the true class value for the same sample from the dataset is also positive. An example could be if the SE detects an illness (positive) for the sample and the actual sample from the dataset is also positive. The TN is the number of correct predictions of the negative class by the SE if the actual class is negative. For example, if the SE correctly predicts that the healthy patient is healthy. The FP is the number of samples that were incorrectly predicted as positive by the SE where the actual class is negative. The FN is the number of samples that were incorrectly predicted as negative classes by the SE when the actual class is positive.
According to [27] the classification ACC is the evaluation metric that is used to measure the proportion of correctly predicted dataset samples out of the total number of dataset samples. The ACC gives a quick overview of how well a SE performs. The ACC in the case of binary classification is calculated using a formula which can be written in the following form:
A C C = T P + T N T P + T N + F P + F N .
The AUC [27] is the evaluation metric value used to evaluate the quality of the binary classification model in this case the obtained SE by measuring its ability to distinguish between two classes.
The ROC:
  • the ROC curve plots the TPR or true positive rate against the false positive rate (FPR), at various threshold levels.
  • The TPR also known as the sensitivity or recall, is the propagation of actual pass that is that are correctly identified by the model
  • The FPR is the false positive rate and is the proportion of actual negatives that are incorrectly classified as positive by the model.
The AUC:
  • The AUC is the total area under receiver operating characteristics curve, representing model SE ability to separate the positive and negative classes across all thresholds,
  • the AUC of 1.0 is the perfect classifier, and the AUC of 0.5 indicates a model with no discrimination ability, equivalent to random guessing. This value would be diagonal on the ROC plot.
  • the AUC between 0.5 and 1.0 represents a model that has some discriminatory power but isn’t perfect. The closer the AUC to 1.0 the better the SE performs in distinguishing between the classes.
The precision score [27] is the accuracy of the positive prediction which focuses on how many samples predicted are positive. The precision score is calculated using the following expression:
P r e c i s i o n = T P T P + F P
The high precision score means that the SE makes few false positive errors.
The recall score [27] which is also known as sensitivity or true positive rate is an evaluation metric that measures the SE’s ability to identify all actual positives in the dataset. The recall is calculated using the expression which can be written as:
R e c a l l = T P T P + F N
The high recall indicates that the model captures almost all positive samples with few false negatives.
The F1-score [27] is the harmonic mean between the precision and recall score and is calculated using the following expression:
F 1 - S c o r e = 2 P r e c i s i o n · R e c a l l P r e c i s i o n + R e c a l l
The F1-score ranges from 0 to 1 where 1 represents the perfect precision and recall.
The Matthews Correlation Coefficient (MCC) [28] is statistical measure used to evaluate the quality of binary (or mutliclass) classifications. It is particularly useful in assessing classifiers where there is an imbalance in the dataset (for example one class significantly outnumbers the other). The MCC is calculated using the formula:
M C C = T P · T N F P · F N ( T P + F P ) ( T P + F N ) ( T N + F P ) ( T N + F N )
The MCC value can be in −1 to 1 range where 1 is the perfect prediction, 0 is the random prediction or no correlation, and −1 is the total disagreement between prediction and actual values.
The advantages of MCC are:
  • Handles Imbalanced data—MCC is robust when the dataset has significantly more instances of one class than the other.
  • Holistic Assessment—It evaluates the performance considering true and false positives/negatives simultaneously.
  • Interpretability—a single metric represents the balance of the classifier’s predictions.
The limitations of the MCC are:
  • Binary or Mutliclass limitations—MCC was initially designed for binary classification but can be extended to mutliclass problem with adjustments.
  • Undefined for Zero Denomination—if any of the terms in the denominator are zero (a case with no positive predictions or no true negatives), MCC becomes undefined.
The CM is a table that visualizes the performance of the classification model with comparisons of the predicted values against the actual/True values from the datasets [27]. For binary classification problem it has four components that are shown in Table 4.

2.5. Train Test Procedure

The train test procedure is graphically represented in the following figure:
From Figure 12 it can be noticed that the train test procedure consists of the following steps:
  • Step 1—the preprocessed balanced dataset variation is divided into 70:30 and the RHVS method randomly selects the GPSC hyperparameter values from the predefined range.
  • Step 2—the GPSC is trained on 70% of the balanced dataset variation using 5FCV. Using this training method the GPSC is trained 5 times i.e., each time on the different split of the 5FCV process. For each of the SEs, the evaluation metrics are calculated on the train folds and validation folds. After the training process is completed the mean and standard deviation values are calculated. If all mean values are higher than 0.99 then the SEs proceed to the test phase. However, if these values are lower than 0.99 then the process starts from the beginning with a random selection of GPSC hyperparameter values using RHVS.
  • Step 3—the SEs are tested on the 30% of the balanced dataset variation and here the evaluation metric values are obtained. If the values are higher or equal to 0.99 then the process is completed. If however, these values are lower than 0.99 then the process starts from the beginning with a random selection of GPSC hyperparameter values using the RHVS method.
It should be noted that GPSC with the RHVS method will not generate the optimal combination of GPSC hyperparameter values from the first iteration so multiple iterations are required. However, in case the RHVS cannot find the optimal combination of GPSC hyperparameter values then after multiple attempts the combination of GPSC hyperparameter values that achieves the highest classification performance will be selected as the optimal combination.

2.6. Threshold Based Voting Ensemble

The Threshold-Based Voting Ensemble (TBVE) is a method designed to enhance classification performance by combining outputs from multiple classifiers in a structured and explainable way. It utilizes symbolic expressions (SEs) derived from genetic programming symbolic classifiers (GPSCs), each trained on balanced variations of an initially imbalanced dataset. Each SE acts as an independent classifier, contributing its prediction to the ensemble. The TBVE aggregates these predictions and determines the final class based on a voting threshold, which specifies the minimum number of SEs required to agree on a class label for it to be selected. The method operates in two phases: prediction aggregation and threshold-based decision-making. In the first phase, each SE casts a vote for its predicted class. In the second phase, the ensemble evaluates the total votes for each class and compares them to the threshold. If a class surpasses the threshold, it is assigned as the final prediction; otherwise, fallback strategies may be applied.
A key advantage of the TBVE is its tunable threshold, which allows balancing sensitivity and specificity. Lower thresholds prioritize sensitivity by reducing false negatives, while higher thresholds enhance specificity by minimizing false positives. This flexibility enables the TBVE to adapt to different application requirements. By leveraging multiple SEs and fine-tuning the threshold, the TBVE achieves robust and reliable classification, even in challenging scenarios involving imbalanced or noisy datasets. Furthermore, its reliance on symbolic expressions ensures interpretability and transparency in decision-making, making it an ideal tool for critical applications such as machine predictive maintenance, where understanding the rationale behind predictions is as important as achieving high accuracy.

2.7. Multi-TBVE

Based on the number of input variables in obtained SEs three different TBVEs will be developed in this paper and these are TBVE with all input variables, TBVE with a reduced number of input variables through RFC, and TBVE with a reduced number of input variables through PCA. Using these three TBVEs a multi-TBVE will be developed.
The multi-TBVE will act as a meta-ensemble, where the decisions of the three individual TBVEs are aggregated to make the final decision. Each TBVE already combines SEs for classification, so the multi-TBVE focuses on aggregating their outputs. The challenge in this paper is to see which strategy of mult-TBVE will achieve the highest classification performance and if the classification performance will be higher than the individual TBVE or higher than the best sets of highly accurate SEs. Two strategies will be investigated and these are:
  • Multi-TBVE with majority voting, and
  • Multi-TBVE with weighted voting,

2.7.1. Multi-TBVE with Majority Voting

In this ensemble of three TBVEs, each TBVE output is a binary value i.e., 0 or 1. Each TBVE is fed with its dataset variation and the output is combined using the majority rule. For example, if 2 out of 3 TBVEs predict 1, the final output is 1. If for example 1 out of 3 TBVEs predict 1, the final output is 0.

2.7.2. Multi-TBVE with Weighted Voting

Each TBVE is assigned with specific weight based on their accuracy or performance, and the weighted sum to decide the final output. Instead of accuracy, precision or recall can be used. Then the weight is calculated using the expression:
F i n a l S c o r e = w 1 T B V E 1 + w 2 T B V E 2 + w 3 T B V E 3
where T B V E 1 , T B V E 2 , and T B V E 3 are TBVE with SEs with all input variables, a TBVE with a reduced number of input variables through RFC, and a TBVE with a reduced number of input variables through PCA, respectively. The w 1 , w 2 , and w 3 are weights assigned to each TBVE.
Although each TBVE has a threshold already adjusted in the previous step where each TBVE was individually investigated. The final threshold of Multi-TBVE is used to make a final classification:
F i n a l O u t p u t = 1 if FinalScore > 0.5 0 otherwise

3. Results

The results in this section are broken down into six subsections:
  • the results obtained with GPSC + RHVS + 5FCV on balanced dataset variations with all input variables
  • the results obtained with GPSC + RHVS + 5FCV on balanced dataset variations with a reduced number of input variables obtained with feature selection using RFC and
  • the results obtained with GPSC + RHVS + 5FCV on balanced dataset variations with a reduced number of input variables obtained with PCA analysis,
  • Analysis of best-performing SEs for each case.
  • Development of TBVEs for each set of SEs obtained on datasets with all input variables, reduced number of input variables using RFC, and on datasets with reduced number of input variables reduced with PCA
  • combination of all three TBVE into multi TBVE ensemble.

3.1. Results Obtained with GPSC + RHVS + 5FCV on Balanced Dataset Variations with All Input Variables

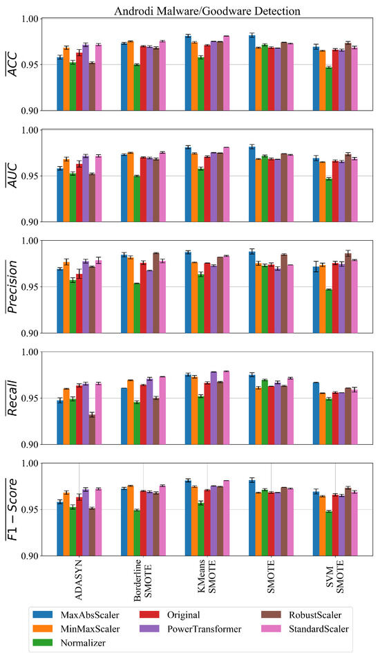
After GPSC was trained on all balanced dataset variations using 5 FCV the evaluation performance is shown in Figure 13.
The classification performance of the best symbolic expressions (SEs) obtained with GPSC on balanced datasets shown in Figure 13 generally ranges from 0.95 to 0.98, with small standard deviations, indicating consistent performance. The highest classification accuracy was achieved on datasets using MaxAbsScaler + KMeansSMOTE, MaxAbsScaler + SMOTE, and PowerTransformer + KMeansSMOTE, with ACC, AUC, Precision, Recall, and F1-Score values near 0.98, demonstrating strong balance across metrics. Moderate performance was observed with MinMaxScaler + ADASYN, StandardScaler + SMOTE, and RobustScaler + KMeansSMOTE, while lower performance was noted with Normalizer + ADASYN, Normalizer + BorderlineSMOTE, and StandardScaler + ADASYN. The poorest results came from Normalizer + SVMSMOTE and RobustScaler + ADASYN, with ACC and AUC values below 0.95, primarily due to reduced Recall impacting F1-Scores. Standard deviations for ACC, AUC, Precision, Recall, and F1-Score were small, reflecting consistent performance, although models using ADASYN and BorderlineSMOTE exhibited slightly higher variability. Overall, the SEs demonstrate reliable classification performance across most datasets. The optimal combinations of GPSC hyperparameter values obtained through RHVS method using which the SEs with highest classification performance were obtained on balanced dataset variations with all input variables are shown in Figure 14.
In Figure 14 all optimal hyperparameter vlaues are shown with the exception to the parsCoeff value. The ParsCoeff values are very small ( 10 4 ) are consistently observed. The population size (PopSize) varies widely across datasets, from 518 to 993. In case of MaxAbsScaler and StandardScaler techniques, larger population sizes are preferred (the values are closer to the upper boundary i.e., 993). The RobustScaler and PowerTransformer techniques exhibit moderate values in range of 540–970.
The MaxGen ranges from 100 to 199. The MinMaxScaler techniques favor higher MaxGen Values (169–198). RobustScaler and StandardSCaler favor extreme ends, with some low (100) and high (199) values. The Tournament size shows significant variability, ranging from 253 to 488. The lager values (400+) are associated with balanced datasets obtained using ADASYN and SMOTE. Techniques like SVMSMOTE exhibit smaller alues (e.g., 266–373). The initial tree depth (InitDepth) lower values are in 3 to 7 range. Lower values are favored by simpler balancing techniques (SMOTE, SVMSMOTE). The upper InitDepth values are in 12 to 18 range, with higher values for ADASYN and MinMaxScaler techniques.
The Crossover value is generally low (0.001–0.038). In case of most dataset on which GPSC was trained the optimal values are in 0.01–0.03 range, suggesting moderate exploitation of parent solution.
The SubMute rangesf
The stopping criterion (stopCrit) values are close to zero (e.g., 10 3 ). The MaxSamp values are close to 1 (e.g., 0.990–0.999), indicating almost full utilization of the train dataset during training. The ConstRange lower and upper values show extreme variability where lower values are from −982 to −3 while uuper values are from 32 to 962, respectively.

3.2. Results Obtained with GPSC + RHVS + 5FCV on Balanced Dataset Variations with Reduced Number of Input Variables Using RFC

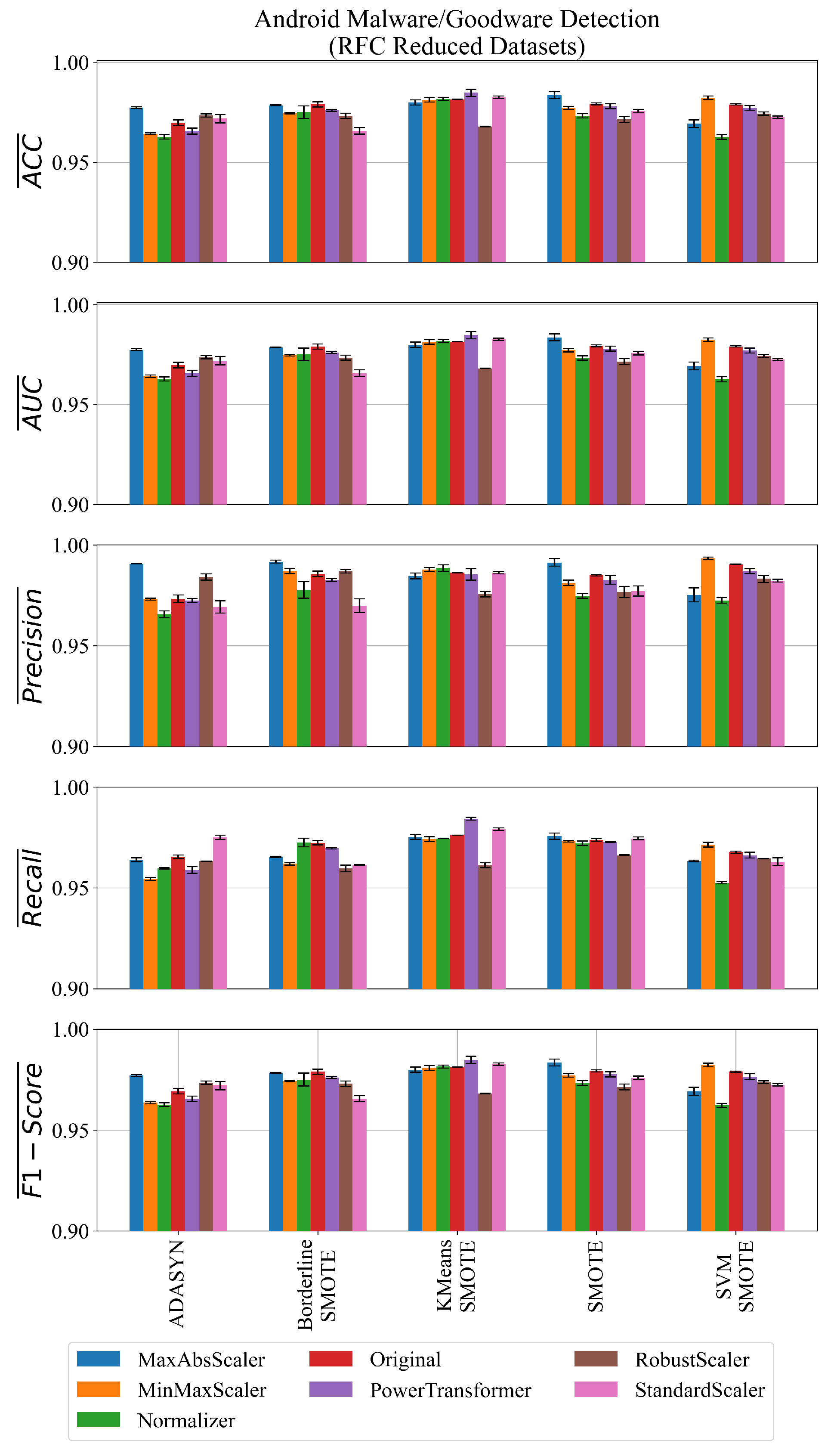
The results of best SEs obtained on the GPSC+RHVS+5FCV on each balanced dataset variation are shown in Figure 15.
As seen from Figure 15 in terms of ACC the best performance was achieved with SEs obtained on the PowerTransformer + KMeansSMOTE dataset with ACC of 0.9847 and the std of 0.0018. The next best SEs in terms of ACC are those obtained on the MaxAbsScaler + SMOTE dataset with ACC of 0.9837 and the std of 0.0017. These methods indicate strong performance and low variability.
The best SEs in terms of AUC are those obtained on PowerTransformer + KMeansSMOTE with an AUC of 0.9847 and a std of 0.0018. The next best SEs are those obtained on the MaxAbsScaler + SMOTE dataset with AUC of 0.9836 and std of 0.0017. The high AUC and low variability suggest these models are robust in distinguishing classes.
The best SEs in terms of Precision score are those obtained on MinMaxScaler + SVMSMOTE with a Precision of 0.09933 and a very low std of 0.0006. The next best SEs are those obtained on the MaxAbsScaler + SMOTE with a precision of 0.9913. These oversampling techniques show strong corrections in predicting the positive class (Android Malware—label_1).
The best SEs in terms of Recall score are those obtained on the PowerTransformer + KMeansSMOTE dataset with a Recall value of 0.9843. The next best SEs are those obtained on the MaxAbsScalerSMOTE dataset with a Recall value of 0.9757. In both case the std values are extremely small. It should be noted that the high recall score ensures fewer negatives, which is critical in many applications especially in Android Malware detection.
The best SEs in terms of F1-Score are those obtained on PowerTransformer + KMeansSMOTE dataset with an F1-Score value of 0.9848. The next best SEs are those obtained on the MaxAbsScaler + SMOTE dataset with F1-Score of 0.9835. As described in evaluation metric methods the F1-Score balances the precision and recall, showcasing the excellent performance for both sets of SEs.
Of course not all SEs achieved the high classification performances. The SEs obtained on the Normalizer + SVMSMOTE dataset achieved lowest ACC of 0.9627, with std of 0.0011 which is relatively high std. The same SEs achieved very low AUC, Precision, Recall, and F1-Score values in 0.96 to 0.97 range with high std values when compared to the best SEs. The similar classification performances where achieved with the SEs obtained on MinMaxScaler + ADASYN, Original + ADASYN, RobustScaler + KMeansSMOTE, and Normalizer + ADASYN.
As seen from Figure 16 the PopSize was in 511 to 975 range. The larger PopSize values where used on MaxAbsScaler + ADASYN (939) and StandardScaler + SVMSMOTE (975) dataset variations. The MaxGen is in 102 to 199 range. The higher generation values are observed with certain combinations like PowerTransformer + KMeansSMOTE (199) and PowerTransformer + BorderlineSMOTE (198) dataset. As in the previous case the crossover, hoistMute, and pointMute are extremely low while subMute is the dominating genetic operations. The reason for subMute dominance lies in the fact that initial investigation conducted during RHVS method revealed that subMute greatly decreases fitness function value while maintaining stable growth of the population. The ConstRange lower value greatly fluctuated in −870.88 to −2.20 range while its upper bound was in 8.34 to 999.26 range. The optimal configurations with wider ConstRange (e.g., MaxAbsScaler + SVMSMOTE) allowed more flexibility, which is beneficial for generating diverse SEs. The parsCoef values are generally small however, this range (0.0001–0.001) ensured that population growth during GPSC training did not induce the bloat phenomenon while it enabled stable growth of population size.

3.3. Results Obtained with GPSC + RHVS + 5FCV on Balanced Dataset Variations with Reduced Number of Input Variables Using PCA

The classification performance of the best SEs obtained using GPSC on the balanced dataset variations with reduced number of input variables using PCA is shown in Figure 17.
As seen from Figure 17 the ACC values are very high, most of them being above 0.94 and in may cases, closer to 0.97–0.98. The dataset preprocessed with Normalizer although balanced did not produce the SEs so the values are equal to 0. The problem with these dataset is after preprocessing with Normalizer and with applied PCA the dataset contained only one input variable and the GPSC generated SEs with extremely small classification performance. The highest ACC were achieved with SEs obtained using GPSC on the MaxAbsScaler + SMOTE and MinMaxScaler + KMeansSMOTE dataset (0.98) indicating strong classification performance.
The AUC values are similarly high and follow a similar trend to ACC. The AUC std values are low, ranging from 0.0002 to 0.0035 indicating consistent model performance across different SEs. For example the MaxAbsScaler + BorderlineSMOTE and MaxAbsScaler + KMeansSMOTE have exceptionally low std values for AUC (around 0.0007), which suggests very stable predictions in terms of classification performance. The SEs obtained using GPSC on the Original + ADASYN and Original + SVMSMOTE have slightly higher std values, indicating slightly less stability in their classification performance.
The classification performance in terms of Precision is mostly high across all SEs, particularly for SEs obtained on MaxAbsScaler + KMeansSMOTE (0.98) and MaxAbsScaler + SMOTE (0.99). The Precision std values are relatively low, typically below the 0.005, and often near or below 0.001 in many cases, reflecting stable results in identifying positive samples. In some cases, the SEs obtained on MaxAbsScaler + ADASYN or MaxAbsScaler SVMSMOTE have slightly higher std in precision, which might indicate some fluctuations in how well the SEs handle different classes.
The recall values are also quit high, especially for the KMeansSMOTE variaitons, showing strong identification of the positive class. The recall std values are somewhat higher than for precision, particularly in SEs obtained on MaxAbsScaler + KMeansSMOTE (0.0012) or PowerTransformer + ADASYN (0.002), suggesting that the SEs ability to correctly identify all positive samples is more variable in these cases. The SEs obtained on MinMaxScaler + SMOTE dataset show very stable recall with very low std (0.0002), implying consistent identification of positives.
The F1-Score values generally reflect a good balance between precision and recall. The F1-Score std values also have some fluctuations in certain SEs but generally very stable across all SEs, with most std values being below 0.001. The std deviations are low, indicating that the F1-Scores are not highly variable across the evaluations. The optimal combination of GPSC hyperparameter values obtained using RHVS method are shown in Figure 18.
As seen from Figure 18 the PopSize is in range from 507 to 996 (RobustScaler + ADASYN, MaxAbsScaler+ KMeansSMOTE). The larger population sizes are associated with KMeansSMOTE and SMOTE techniques. The MaxGen is from 100 to 194 range. The min value was used on the Original + KMeansSMOTE dataset while max value (194) was used on the StandardScaler + BorderlineSMOTE datasets. The higher maxGen values are associated with StandardScaler and MinMAxScaler combinations. The tourSize was in 251 to 500 range. The min values was used in case of MaxAbsScaler + SMOTE dataset, while larger or maxValue was used in case of PowerTransfromer + ADASYN dataset. The initDepth lower values are from 3 to 7 where initDepth were used on Original + SMOTE and StandardScaler + SMOTE dataset. The InitDeptj of 7 was used on various datasets. The InitDepth upper value of 12 (minimum of the upper value) was used on the RobustScaler + SVMSMOTE dataset while init depth of 18 was used on the MinMaxScaler + SMOTE and PowerTransformer + SVMSMOTE datasets. The genetic operations probabilities have the same behavior as in previous cases i.e., the subMute probability is the dominating genetic operation. The stopping criteria was extremely small and was never reached by any population in GPSC i.e., every training of the GPSC algorithm was terminated after maxGen value was reached.
The ConstRange values have high variability for lower and upper values. The Lower value was from −982.19 to −7.54 while the upper bound was from 9.33 up to 974.61, respectively. The parsCoeff value was of the 10 5 range which as in previous cases enable stable and steady growth of the population members during the GPSC execution.

3.4. The Analysis of Best Sets of SEs

In this subsection the best set of SEs will be analyzed that were obtained on balanced dataset variations using GPSC with all input variables, with reduced number input variables through feature importance by RFC, and reduced number of input variables through PCA. From Figure 13 it can be noticed that the best set of SEs obtained on balanced dataset variations with all input variables were obtained on the MaxAbsScaler + SMOTE dataset. The 5 SEs obtained on this dataset are shown in Equations (10)–(14).
y f u l l 1 = max ( X 100 , X 152 ) + log ( 0.434294 log ( cos max ( X 132 , X 78 ) X 149 + cos ( X 191 cos ( X 43 ) + X 50 ) 3 ) ) + max ( tan ( X 149 ) + log ( 0.434294 log ( sin ( X 228 ) ) ) + X 86 , tan ( X 152 ) ) + tan ( X 138 ) + tan ( X 149 ) + log ( 0.434294 log ( cos ( X 152 1 . cos ( X 190 ) ) ) ) + X 182 + log 0.434294 log tan ( X 220 ) 8 + X 86
y f u l l 2 = 1 . max ( X 172 , X 217 ) + | X 86 | + X 100 1 . cos ( X 100 ) + X 129 1 . X 135 + 3 . X 149 + 1.4427 log ( 0.434294 log ( X 149 ) ) + 4 . X 152 + X 182 2 . X 190 + X 191 1 . X 200 2 . X 220 + X 222 2 . X 228 2 . cos ( X 229 ) 1 . X 231 1 . X 43 1 . X 5 1 . X 62 3 + X 86 + X 98
y f u l l 3 = 1 . log ( min ( tan ( cos ( X 154 ) ) , max ( X 43 , 1.20112 log ( X 138 ) , tan X 233 tan ( cos ( X 149 ) ) X 221 ) ) 1.4427 log ( tan ( cos ( X 237 ) ) ) ) 1 . max ( X 108 X 113 , X 190 ) 1 . log ( max cos ( sin ( X 152 + X 86 ) ) , tan X 62 X 152 + X 86 1.4427 log ( tan ( X 191 ) ) ) 1 . X 5 X 138 + X 149 1 . tan ( X 9 ) X 216 2 . X 220 1 . cos ( X 229 )
y f u l l 4 = 1 . tan 1.4427 log ( sin ( 0.434294 log ( 2 . X 191 1 . X 220 1 . X 225 ) ) ) X 107 1 . X 149 1.4427 log 0.434294 log X 149 1 . cos ( X 155 ) 9 1 . cos ( X 190 ) X 19 1 . cos ( X 53 ) + X 182 1 . tan ( X 228 ) 1 . X 5 1 . X 62
y f u l l 5 = 1 . ( X 190 + X 236 ) X 100 + X 100 + X 138 + 4 . X 149 + tan ( X 152 ) + 2 . X 163 + X 182 1 . cos ( X 182 ) 1 . X 190 1 . X 190 3 1 . cos ( X 191 ) 3 . X 220 1 . X 228 3 + X 232 2 . X 237 + X 25 + X 30 2 . X 43 2 . X 53 1 . X 62 + X 86
The Equations (10)–(14) where obtained on MaxAbsScaler dataset which means that the input variables must be preprocessed using MaxAbsScaler before calculating the output. Otherwise, you will get wrong output with low classification performance. From Equations (10)–(14) it can be noticed that the following input variables are included: X_5, X_9, X_19, X_25, X_30, X_43, X_50, X_53, X_62, X_62, X_78, X_86, X_98, X_100, X_107, X_113, X_129, X_132, X_135, X_149, X_152, X_154, X_155, X_160, X_163, X_172, X_182, X_190, X_191, X_200, X_217, X_220, X_225, X_228, X_229, X_231, X_232, X_236, and X_237. These variables are: ACCESS_FINE_LOCATION, ACCESS_NETWORK_STATE, ADD_VOICEMAIL, BATTERY_STATS, BIND_DEVICE_ADMIN, BLUETOOTH, BROADCAST_STICKY, CALL_PHONE, CHANGE_NETWORK_STATE, CHANGE_NETWORK_ STATE, EXPAND_STATUS_BAR, GET_TASKS, INTERNET, KILL_BACKGROUND_ PROCESSES, MEDIA_BUTTON, MOUNT_UNMOUNT_FILESYSTEMS, READ_EXTERNAL_ STORAGE, READ_GSERVICES, READ_LOGS, RECEIVE_BOOT_COMPLETED, RECEIVE_ SMS, RECEIVE_WAP_PUSH, RECORD_AUDIO, SDCARD_WRITE, SEND_SMS, SET_ PROCESS_LIMIT, SYSTEM_ALERT_WINDOW, VIBRATE, WAKE_LOCK, WRITE_ EXTERNAL_STORAGE, Ljava/lang/System;->load, Ljava/net/URL;->openConnection, Landroid/media/AudioRecord;->startRecording, Landroid/location/LocationManager;->getLastK0wnLocation, Landroid/telephony/TelephonyManager;->getDeviceId, Landroid/content/pm/PackageManager;->getInstalledPackages, Landroid/telephony/ TelephonyManager;->getLine1Number, Landroid/telephony/TelephonyManager; ->getSimOperator, and Landroid/telephony/TelephonyManager;->getSimOperatorName. These variables are permissions, system calls, or methods related to the Android operating system that allow applications to access sensitive data or perform critical functions on the device. The description of why these variables are required for Android Malware Detection:
  • ACCESS_FINE_LOCATION: Allows access to precise GPS location. Malware can track user movements or exploit location-based vulnerabilities.
  • ACCESS_NETWORK_STATE: Provides information about network connectivity. Malware might misuse it to monitor or manipulate network traffic.
  • ADD_VOICEMAIL: Allows adding a voicemail message. Potentially used by malicious apps to alter voicemail settings or divert communications.
  • BATTERY_STATS: Access to battery usage statistics. Malware may use this to monitor battery status for timing attacks.
  • BIND_DEVICE_ADMIN: Grants admin privileges. Malware might exploit this to gain control over device settings or security.
  • BLUETOOTH: Access to Bluetooth functionality. Malware can exploit Bluetooth to remotely connect to devices or intercept communications.
  • BROADCAST_STICKY: Allows receiving sticky broadcasts. Malware can use it to get notifications about system or app states, potentially to track user behavior.
  • CALL_PHONE: Permission to initiate phone calls. This can be exploited to make unwanted calls or use premium rate services.
  • CHANGE_NETWORK_STATE: Enables changing network state. Malware could disrupt connectivity or redirect traffic.
  • EXPAND_STATUS_BAR: Allows expanding the status bar. This could be used to hide malicious notifications or trick users.
  • GET_TASKS: Provides information about currently running tasks. Malware can use this to gather information about other apps and exploit it. INTERNET: Permission to access the internet. Malware may use this to send or receive data from a remote server.
  • KILL_BACKGROUND_PROCESSES: Allows terminating background processes. Malware could kill security apps or prevent updates.
  • MEDIA_BUTTON: Allows control over media buttons. Potentially used to monitor user activity or simulate user input.
  • MOUNT_UNMOUNT_FILESYSTEMS: Gives access to mounting and unmounting file systems. Malware could use this to tamper with file storage or access sensitive files.
  • READ_EXTERNAL_STORAGE: Access to external storage (SD card). Malware can read private files, including photos, contacts, or documents.
  • READ_GSERVICES: Allows reading Google services information. Malware may use this to gather sensitive data for exploitation.
  • READ_LOGS: Access to system logs. Malware can read logs to gather information about system vulnerabilities or user activity.
  • RECEIVE_BOOT_COMPLETED: Triggered when the device finishes booting. Malware could use this to run automatically after device startup.
  • RECEIVE_SMS: Permission to receive SMS messages. Malware could intercept or send malicious messages.
  • RECEIVE_WAP_PUSH: Enables receiving WAP push messages. Can be exploited for sending malicious links or payloads.
  • RECORD_AUDIO: Access to the microphone. Malware can record conversations or ambient sounds for spying.
  • SDCARD_WRITE: Permission to write to external storage. Malware can modify or delete important files, or plant malicious files.
  • SEND_SMS: Permission to send SMS messages. Malware can send unwanted texts or participate in fraud.
  • SET_PROCESS_LIMIT: Allows setting process limits. Malware can manipulate system processes to avoid detection or crash the device.
  • SYSTEM_ALERT_WINDOW: Enables drawing on top of other apps. Can be used for phishing attacks or creating fake UI elements.
  • VIBRATE: Permission to control the device’s vibration. Malware might use it to create distractions or mimic normal behavior.
  • WAKE_LOCK: Allows preventing the device from sleeping. Can be used to keep the device running for malicious operations.
  • WRITE_EXTERNAL_STORAGE: Permission to write to external storage. Malware can modify or overwrite files on the device.
  • Ljava/lang/System;->load: Loads native libraries. Malware can use this to load malicious code or external libraries.
  • Ljava/net/URL;->openConnection: Opens network connections. Malware could use this to establish unauthorized network communication.
  • Landroid/media/AudioRecord;->startRecording: Starts audio recording. Malware could use this to record conversations or user sounds covertly.
  • Landroid/location/LocationManager;->getLastKnownLocation: Retrieves the device’s last known location. Useful for tracking the device’s position without user consent.
  • Landroid/telephony/TelephonyManager;->getDeviceId: Retrieves the device’s IMEI number. This unique identifier can be used for tracking or theft.
  • Landroid/content/pm/PackageManager;->getInstalledPackages: Retrieves a list of installed apps. Malware can gather information about other apps on the device for further exploits.
  • Landroid/telephony/TelephonyManager;->getLine1Number: Retrieves the phone number. This can be used for personal tracking or social engineering.
  • Landroid/telephony/TelephonyManager;->getSimOperator: Retrieves the SIM operator. Malware can use this for network-related attacks or identity theft.
  • Landroid/telephony/TelephonyManager;->getSimOperatorName: Retrieves the SIM operator name. Malware could use this to identify and exploit specific carriers.
The relevance of these input variables to Android malware detection is that many of these permissions and system calls provide access to sensitive user data or critical system functions. Malware may exploit these permissions to spy on users, intercept communication, track location, manipulate device settings, or perform other harmful activities without the user’s consent. Dedicating misuse of these permissions can help identify malicious apps or behaviors that are indicative of malware. Monitoring access to such features is essential for protecting user privacy and ensuring device security.
The best set of SEs obtained on balanced dataset variations with a reduced number of input variables through RFC were those obtained on PowerTransformer + KMeansSMOTE dataset. These SEs can be written as:
y R F C 1 = 1.4427 log ( max ( Z 1 , 0.434294 log ( tan ( min ( max ( Z 10 , 0.00237553 Z 18 , Z 21 ) , 1.12995 log ( Z 3 ) 3 ) ) ) ) ) + Z 0 + Z 13 1 . Z 15 1 . Z 2 + Z 6
y R F C 2 = tan ( sec ( Z 0 ) | max ( Z 11 , Z 6 ) | ) 1 . log ( Z 1 ( max ( cos ( min ( Z 11 , cos ( Z 9 ) ) ) , cot Z 14 Z 2 ( log ( max ( Z 13 , cos ( Z 10 1 . Z 19 ) ) ) 1 . Z 4 ) ) + max ( Z 15 , Z 9 ) 0.434294 log ( Z 20 ) sin ( Z 7 ) + Z 5 ) ) + sin ( max ( Z 13 , Z 3 ) 1 . max ( Z 17 , sin ( Z 12 ) ) ) 1 . Z 1 + Z 13 1 . Z 2
y R F C 3 = cos ( Z 2 ) min Z 1 0.434294 log ( Z 4 ) , Z 3 3 min 433.695 Z 18 max ( Z 10 , Z 4 ) , max ( Z 17 , log ( Z 6 ) ) 1.4427 log ( log ( 1.4427 log ( min ( Z 19 + Z 8 , cos 0.65901 log ( Z 12 ) 1 . Z 13 1 . Z 13 , max ( Z 1 , log ( Z 6 ) ) ) ) ) ) + Z 0 1 . Z 1 1 . Z 15 + Z 3 + Z 6
y R F C 4 = 1.4427 log ( min ( Z 6 + Z 7 , 1.4427 log cos Z 14 max ( Z 0 , Z 13 , tan ( min ( Z 18 , Z 9 ) ) 1 . Z 10 + Z 14 ) ) ) 1 . tan cos min Z 13 , log ( Z 9 ) cos max 0.434294 log ( Z 10 ) , Z 15 3 Z 0 + cos ( log ( Z 13 ) 1.4427 log ( max ( Z 3 , Z 5 1.4427 log ( Z 20 ) ) ) ) 1 . Z 1 1 . Z 2
y R F C 5 = min ( tan ( max ( Z 7 , tan ( max ( Z 7 , tan ( Z 6 ) ) ) ) ) , 1 . tan min Z 2 Z 4 , Z 0 1 . min ( Z 21 , | Z 19 | ) + tan | Z 8 Z 19 | 3 + Z 13 ) 1 . cos 1.4427 log 1.4427 log log min sin Z 0 Z 10 3 , tan ( Z 20 Z 6 ) + | Z 15 | + | Z 2 | Z 18 1 . Z 1
As seen from the Equations (15)–(19) the equations need the following variables to compute the output all the input variables are required with the exception of Z6 (Landroid/ telemphony (TelephonyManagergetNteworkOperator)) Z 0 , Z 1 , Z 2 , Z 3 , Z 4 , Z 5 , Z 6 , Z 7 , Z 8 , Z 9 , Z 10 , Z 11 , Z 12 , Z 13 , Z 14 , Z 15 , Z 17 , Z 18 , Z 19 , Z 20 , and Z 21 . All real names of these variables are given in Table 2.
In case of balacned dataset variations with reduced number of input variables through PCA the highest classification perfromance was acheved with SEs obtained on MinMaxScaler + KMeansSMOTE dataset (Figure 17). The SEs obtained on this dataset are shown in Equations (20)–(24).
y P C A 1 = max P 18 , min ( P 121 P 44 , | P 117 | ) + P 11 P 132 3 + min ( | P 19 P 0 | , 1.4427 | log ( P 63 ) | ) + min ( P 14 , P 144 ) + cos ( log ( P 125 ) ) + cos ( log ( P 132 ) ) 3 . P 2 2 . P 21 + sin ( P 25 ) 2 . P 3 + P 31 1 . P 33 + 2 . P 4 1 . P 5 + P 6 9 + P 8 + cos ( log ( P 85 ) )
y P C A 2 = 0.65901 log min 271.297 P 21 , 0.434294 log ( max ( P 143 , P 88 ) ) + cos 0.434294 log P 0 + P 2 + P 5 log ( max ( P 26 , sin ( P 36 ) ) ) P 72 P 94 3 1 . P 3 + 2 . P 4
y P C A 3 = max ( max ( 1.4427 | log ( P 19 ) | 1 . P 19 + P 26 , max ( max ( log ( P 15 ) , max P 87 , max P 1 , 1.20112 log ( P 46 ) 1 . P 21 3 3 . P 3 , tan P 8 1 . P 3 ) 1 . P 3 , max ( P 56 , max ( P 138 , 1.4427 log ( P 44 tan ( P 105 ) ) 1.4427 log ( P 5 ) ) 1 . sin ( P 2 ) ) 1 . P 128 3 2 . P 14 3 1 . P 2 1 . P 21 3 + 2 . P 4 1 . P 41 1 . P 47 1.12995 log ( P 5 ) 3 ) 1 . P 2 ) 0.693147 | log ( max ( P 120 , P 130 ) ) log ( 1.4427 log ( P 58 ) ) | 1 . P 2 , min ( 113.92 , P 1 ) ) 1 . P 3
y P C A 4 = cos | max sin ( P 100 ) , P 86 3 | + sin ( P 10 P 124 ) 1 . tan ( P 129 1 . P 130 ) + 0.832555 log ( P 34 ) log ( P 145 ) ( 1 . min ( P 2 , 1.4427 log ( max ( P 3 , P 83 ) ) 0.434 log ( P 139 ) ) 1 . max ( P 115 , P 5 ) + cos ( log ( P 125 ) ) 3 + 1.4427 P 132 4 log ( P 128 ) ) 1 . min ( P 2 , tan ( P 19 ) 1.4427 log ( P 0 ) ) 1 . min ( P 2 , sin ( tan ( P 2 ) ) 1.4427 log ( P 0 ) ) 2 . P 14 2 . P 2 1 . P 21 + P 31 3 + 3 . P 4 1 . P 5 0.434294 log ( P 5 )
y P C A 5 = min ( 249.374 , log ( 1.4427 | log ( | P 75 | + 0.434294 log ( P 108 ) ) ( 1 . P 4 + 0.434294 log ( P 47 ) + min ( P 27 + P 5 , P 32 + 1.4427 log ( max ( P 114 , cos ( P 42 ) + P 3 3 ) ) ) ) min ( | log max ( P 110 , P 25 , P 49 , | P 65 | ) P 141 3 max ( P 2 , P 20 , P 74 ) | + 1.4427 log P 125 3 , tan ( P 108 ) ) | ) ) 1 . P 2 + P 4 + cos ( P 5 )
To compute the output on these 5SEs (Equations (20)–(24)) for each variable in the original dataset the min and max values must be found. After they are found for the new sample which contains 241 input variables each input variable value must be scaled in the following way:
To compute the output from all five equations (Equations (20)–(24)) the following input variables are required: P 0 , P 1 , P 2 , P 3 , P 4 , P 5 , P 6 , P 8 , P 10 , P 11 , P 14 , P 15 , P 18 , P 19 , P 21 , P 25 , P 26 , P 27 , P 31 , P 32 , P 33 , P 34 , P 36 , P 41 , P 42 , P 44 , P 46 , P 47 , P 49 , P 56 , P 58 , P 63 , P 65 , P 72 , P 74 , P 75 , P 83 , P 85 , P 86 , P 87 , P 88 , P 94 , P 100 , P 105 , P 108 , P 110 , P 114 , P 115 , P 117 , P 120 , P 121 , P 124 , P 125 , P 128 , P 129 , P 130 , P 132 , P 138 , P 139 , P 141 , P 143 , P 144 , and P 145 .
The classification performance of all each of the best set SEs is shown in Figure 19 in form of CMs.
From Figure 19a it can be noticed that CS obtained using SEs with all input variables has good classification performance. The SEs have classified 3468 samples as malware out of 3565 samples while 97 that are malware are classified as benign. The SEs have successfully classified 881 out of 899 samples as benign while 18 samples were miss classified as malware.
The best SEs obtained on balanced dataset variations with a reduced number of input variables through RFC have good classification performance in terms of malware classification as seen from Figure 19b. The SEs have successfully classified 3561 samples out of 3565 samples as malware and the remaining 4 as benign. However, the SEs have poor classification performance in terms of benign samples since 239 out of 899 were classified as benign, and the remaining 660 were classified as malware.
The best SEs obtained on the balanced dataset variations with a reduced number of input variables through PCA showed similar performance (Figure 19c) when compared to the results shown in Figure 19a. The SEs have successfully classified 3534 out of 3565 samples as malware while remaining 34 as benign. The SEs have successfully classified 817 out of 899 samples as benign while 82 samples have been classified as malware.

3.5. The Development and Investigation of TBVEs

Using the obtained SEs with the highest classification performance on balanced dataset variations with all input variables, with a reduced number of input variables through RFC, and a reduced number of input variables through PCA for each case the TBVE will be developed to see if the classification performance could be increased by adjusting the threshold value. The threshold value is the number of SEs that must have the same prediction per sample.
The goal is to find the threshold value using which the highest classification performance could be achieved. The investigation of the threshold value for each TBVE will be conducted on the imbalanced datasets i.e., developed before the application of oversampling techniques.
The 175 SEs were used to develop the TBVE for a dataset with all input variables and TBVE with a reduced number of input variables through RFC. Each set of SEs was developed by training the GPSC on 35 balanced variations through 5FCV and after each training 5 SEs were obtained (one per each split of 5FCV) which in total resulted in 170 SEs. However, the number of SEs for TBVE with a reduced number of input variables through PCA consists of a total of 150 SEs since 5 datasets were not created (Normalizer + oversampling techniques) and the GPSC was not trained on them. So 30 balanced dataset variations and on each 5SEs were obtained through GPSC + 5FCV and the total number of SEs on which this TBVE consists is 150. Based on the conducted investigation the TBVE classification performance is shown in Figure 20.
From Figure 20a it can be noticed that ACC, AUC, Precision, and F1-Score increase as the threshold value increases. However, as the threshold value increases further the evaluation metric values tend to decrease. The only exception in these evaluation metric values versus threshold is the Recall score which starts with a maximum value (1.0) for the threshold value of 1 and tends to decrease as the threshold value increases. The red dashed lines in Figure 20a represent the threshold value range where classification performance is the highest (threshold range 26–31), and the blue line represents the highest possible classification performance achieved (threshold value 29). For the threshold value 29, the ACC, AUC, Precision, Recall, F1-Score, and MCC values are 0.9778, 0.9636, 0.9848, 0.9873, 0.9861, and 0.93081 respectively.
The classification performance of TBVE with 175 SEs tested on an imbalanced dataset with a reduced number of input variables through RFC showed in Figure 20b achieved similar performance as TBVE shown in Figure 20a. All evaluation metric values gradually increase as the threshold value increases which indicates consistent refinement of TBVE predictions. ACC increases from 0.7986 up to 0.9621 and the AUC improves from initial 0.5 up to 0.963 as the threshold value increases. The Recall value remains consistently high (close to 1), suggesting the TBVE effectively identifies all relevant instances (low false negatives). The Precision score improves steadily as the threshold value increases, with the highest precision values nearing 0.996. This suggests fewer false positives as the threshold value increases. The F1-Score, which balances the precision and recall score, follows a similar upward trajectory and stabilizes above 0.97. As the threshold values increase above 125 all the evaluation metric values except Precision decrease and for threshold values above 160 all evaluation metric values drastically decrease. The red lines in Figure 20b indicate the threshold value in the range 56 to 61 where the classification performance is high. However, with the optimal threshold value of 60, the TBVE achieves the highest classification performance i.e., the ACC, AUC, Precision, Recall, F1-Score, and MCC vales are equal to 0.9637, 0.9639, 0.9907, 0.9635, 0.9769, and 0.89352 respectively.
The classification performance of the TBVE with 150 SEs obtained on the balanced dataset variations with a reduced number of input variables through PCA and tested on an imbalanced dataset with the same reduced number of input variables through PCA increases as the threshold value increases. The ACC starts at 0.7986 for threshold value 1, peaks at 0.978 for the 20 to 50 threshold range, and as the threshold value increases the ACC values gradually decrease reaching 0.75 for the threshold value 150. The AUC value starts at 0.5 for the threshold value 1. Then it steadily increases and peaks at 0.9836 at a threshold value of 63 and beyond the threshold the AUC value starts to decrease reaching 0.84 for a threshold value of 150. The Precision Increases gradually from 0.7986 to a maximum of 0.9991 at thresholds between 68–77 and after that threshold remains constant as the threshold value increases. The high precision value indicates the minimal false positives in this range. The Recall value starts at 1.0 and gradually decreases until a threshold value of 125. After that point the drop in recall value is rapid. The F1-Score follows a similar pattern as the precision and recall, peaking at 0.9872 for the threshold of 22 and maintaining near-optimal values beyond the threshold value of 20.
The optimum threshold value is the value where all evaluation metric values are high. However, this is not the case for this TBVE since each evaluation metric value reaches a maximum at different thresholds. So the optimal threshold value in this case is where the average of all evaluation metric values is the highest. The threshold range where evaluation metric values are high is from 43 to 47 (red dashed lines), while the highest evaluation metric values are at threshold value 45. At this value, the ACC, AUC, Precision, Recall, F1-Score, and MCC values are 0.97782, 0.9811, 0.9965, 0.9755, 0.9859, and 0.93433 respectively.
The confusion matrices of TBVEs with optimal threshold values (blue lines in Figure 20) are shown in Figure 21.
The CM shown in Figure 21a showed that TBVE with an optimal threshold value of 29 (Figure 20a) have successfully classified 3520 out of 3565 samples as malware while 45 samples were misclassified as benign. The same TBVE successfully classified 845 out of 899 samples as benign with 54 samples misclassified 54 samples as malware. The CM shown in Figure 21b showed that TBVE with an optimal threshold value of 60 has successfully classified 3435 out of 3565 samples as malware with 130 samples misclassified as benign. The same TBVE has successfully classified 867 out of 899 samples as benign with 32 misclassified as malware. In Figure 21c the CM of TBVE with optimal threshold value of 45 is shown and this TBVE has successfully classified 3478 out of 3565 samples as malware with 87 misclassified. The TBVE has successfully classified 887 out of 899 samples as benign with 12 samples misclassified as malware.
When the results of CMs are compared it can be noticed that the highest classification performance of malware has the TBVE with optimal threshold 29 shown in Figure 21a. The best classification of benign samples has the TBVE with threshold 54 shown in Figure 21c.

3.6. The Development and Investigation of Multi-TBVE

In the case of majority voting multi TBVE the output of each TBVE is used and if it was higher or equal to 2 then the final output was Android malware. Otherwise, the value was 0. The value of 2 means that at least 2 TBVE must detect Android malware so that the final output would be Android malware (label 1).
In the case of the Multi-TBVE with weighted voting the weights ( w 1 , w 2 , and w 3 ) were randomly selected in the −100 to 100 range before each calculation of Multi-TBVE was performed on the entire dataset. The final weights using which the highest classification performance was achieved are:
  • w 1 = 4.4606 that multiples the TBVE1 which is the TBVE based on SEs obtained on balanced dataset variations with all input variables,
  • w 2 = 20.1911 that multiples the TBVE2 which is the TBVE based on SEs obtained on balanced dataset variations with reduced number of input variables through RFC,
  • w 3 = 24.1078 that multiplies the TBVE3 which is the TBVE based on SEs obtained on balanced dataset variations with reduced number of input variables through PCA.
From the weight values it can be noticed that the third weight (−24.1078) has the highest positive value, meaning that TBVE3 contributes the most to the overall prediction. The second weight (−20.1911) is significantly negative, suggesting that this TBVE2 may counteract or correct the predictions from other ensembles. The first eight (4.4606) have a smaller positive magnitude, indicating a moderate contribution of TBVE1.
The classification performance of Multi-TBVE with majority voting and Multi-TBVE with weighted voting are listed in Table 5.
As seen from Table 5 the Multi-TBVE with weighted voting achieved a slightly higher ACC of 0.9805 compared to majority voting at 0.9751. This indicates that the weighted voting approach classified more instances correctly. The AUC for weighted voting (0.9719) is marginally lower than for majority voting (0.971). This small difference suggests that both methods are highly effective in classification, but majority voting might have a slight edge in separating the classes effectively. The Precision is higher in majority voting (0.99202) when compared with weighted voting (0.9893). This means that the majority voting approach is slightly better at avoiding false positives, as it correctly identifies positive instances with fewer errors. The recall score value in weighted voting is higher (0.9862) compared to majority voting (0.9767). This indicates that weighted voting performs better at identifying true positives, capturing more relevant instances in the dataset. The F1-Score in weighted voting is slightly higher (0.9877) compared to majority voting (0.9843), which indicates a better overall balance between precision and recall. The MCC value in Multi-TBVE with majority voting is equal to 0.925, while with weighted voting it is 0.9379.These results indicate that the weighted voting approach slightly outperforms the majority voting approach in terms of classification performance.
The higher MCC in weighted voting suggests that this method better captures the relative importance or confidence of individual ensemble members when contributing to the final decision. Weighted voting likely mitigates the influence of weaker or less reliable ensemble members, enhancing the overall robustness and accuracy of the classifier. While both MCC values are high and indicative of excellent classification performance, the incremental improvement with weighted voting underscores its value in fine-tuning ensemble methods to achieve optimal results.

3.7. Computational Resources and Time

The entire investigation presented in this paper was conducted on a laptop equipped with an AMD Ryzen 5 Mobile 5500U CPU (6 cores, 12 threads) and 16 GB of DDR4-3200 RAM. The training of the GPSC was performed using Python, leveraging key libraries such as scikit-learn, gplearn, matplotlib, and seaborn.
Training the GPSC on a single split of 5-fold cross-validation (5FCV) took approximately 10 min. Consequently, completing the entire 5FCV process required 50 min. Since the study involved training the GPSC on 105 balanced dataset variations, the total theoretical time for the initial training was approximately 5250 min (87.5 h).
However, the optimal SEs were not identified during the initial training because the RHVS method was used to fine-tune the GPSC hyperparameters. This iterative process aimed to find the best combination of hyperparameter values to achieve high classification performance. On average, the GPSC was trained three times for each balanced dataset variation, resulting in a total training time of approximately 15,750 min (262.5 h or 10.93 days). This training process was the most time-intensive computation in the investigation.
Once the best SEs were obtained and the TBVEs were developed, their evaluation on the initial imbalanced datasets was performed. Evaluating a single TBVE on the 4461 samples took approximately 5 min. Since three TBVEs were created, the total evaluation time for all TBVEs was 15 min. This step was necessary to compute the evaluation metrics for the entire imbalanced dataset and to determine the threshold value.

4. Discussion

The dataset used in this study consists of 241 input variables and one binary target variable. It contains 4464 samples, where the target variable labels are Android Malware (1) and Android Goodware (0). Two primary challenges with the dataset are the large number of input variables and the significant class imbalance. Initially, the dataset with all input variables was used for training the genetic programming symbolic classifier (GPSC) because the symbolic expressions (SEs) generated by GPSC typically do not include all 241 variables. To address the large number of input variables, two reduction techniques were employed: feature importance derived from a Random Forest Classifier (RFC) and Principal Component Analysis (PCA).
Class imbalance was addressed using oversampling techniques. The minority class (label_0) needed to be increased from 899 samples to match the 3565 samples of the majority class (label_1). Random undersampling was avoided as it would have significantly reduced the number of malware samples (label_1), potentially leading to overfitting. Various oversampling methods, including ADASYN, BorderlineSMOTE, KMeansSMOTE, SMOTE, and SVMSMOTE, were applied successfully across datasets with all input variables, reduced variables via RFC, and reduced variables via PCA. While ADASYN and KMeansSMOTE achieved near balance between classes, BorderlineSMOTE, SMOTE, and SVMSMOTE ensured perfect balance. These oversampling techniques yielded consistent performance improvements, regardless of scaling or normalization methods applied prior to oversampling.
The SEs trained on balanced datasets with all input variables demonstrated strong classification performance, particularly on datasets processed with MaxAbsScaler + KMeansSMOTE, MaxAbsScaler + SMOTE, and PowerTransformer + KMeansSMOTE. These combinations achieved high accuracy (ACC), precision, recall, AUC, and F1-scores. Other combinations, such as MinMaxScaler + ADASYN and StandardScaler + SMOTE, produced balanced precision and recall but slightly lower ACC and AUC. In contrast, SEs trained on Normalizer + SVMSMOTE and RobustScaler + ADASYN showed relatively lower performance due to reduced recall and AUC. Overall, the best results were achieved with MaxAbsScaler + SMOTE or MaxAbsScaler + KMeansSMOTE, which provided excellent classification metrics with minimal variability. While StandardScaler + SMOTE and PowerTransformer + SMOTE achieved higher precision, they had lower recall. For balanced performance, MinMaxScaler + ADASYN and RobustScaler + KMeansSMOTE were viable alternatives.
For datasets with reduced input variables via RFC, the top-performing scaling methods included PowerTransformer and MaxAbsScaler, with KMeansSMOTE emerging as the most effective oversampling technique. These combinations achieved high ACC, AUC, and F1-scores, with minimal variability. In contrast, ADASYN consistently underperformed across all metrics, and combinations such as Normalizer + ADASYN and MinMaxScaler + ADASYN yielded poor results. Based on the analysis, PowerTransformer + KMeansSMOTE was identified as the best combination for generating SEs with balanced precision, recall, and F1-scores. MaxAbsScaler + SMOTE and MinMaxScaler + SVMSMOTE also provided strong results, the latter being ideal for applications requiring high precision.
For datasets reduced using PCA, the best SEs were obtained with MaxAbsScaler and oversampling techniques like ADASYN, BorderlineSMOTE, and KMeansSMOTE. These combinations achieved consistent performance with low standard deviations across all metrics. MinMaxScaler techniques showed similar trends but with slightly lower AUC and F1-scores. Normalizer techniques were entirely ineffective, yielding zero scores across all metrics. Datasets processed with PowerTransformer and RobustScaler also performed well, with low variability in metrics. Overall, MaxAbsScaler + SMOTE and MinMaxScaler + KMeansSMOTE stood out as the top-performing combinations.
The Multi-TBVE framework was evaluated using both majority voting and weighted voting strategies. Weighted voting demonstrated superior classification performance, achieving higher accuracy (0.9805), recall (0.9862), and F1-score (0.9877), making it more effective at identifying true positives and balancing precision with recall. On the other hand, majority voting slightly outperformed weighted voting in precision (0.99202) and AUC (0.972), making it preferable in applications requiring minimal false positives. When compared to individual TBVEs, the Multi-TBVE with weighted voting achieved the highest classification performance, slightly outperforming models with all input variables or reduced variables through PCA. Furthermore, the Multi-TBVE framework demonstrated comparable performance to state-of-the-art models (Table 1) such as CNNs, RNNs, and ensemble classifiers reported in the literature.
The MCC evaluation metric was employed to assess the classification performance of the TBVE framework on the initial imbalanced dataset. The results demonstrate the effectiveness of different configurations and approaches. When SEs obtained from balanced dataset variations with all input variables were applied, the TBVE achieved a highest MCC value of 0.93081 on the imbalanced dataset. However, when the number of input variables was reduced using RFC and SEs were derived from balanced dataset variations, the MCC value of TBVE with aforementioned SEs decreased to 0.89352. On the other hand, the TBVE with SEs obtained on balanced dataset variations with reduced number of input variables through PCA, improved MCC of 0.93433 on the imbalanced dataset.
For Multi-TBVE, the voting strategy significantly influenced performance. Multi-TBVE with majority voting achieved an MCC value of 0.925, while the weighted voting strategy outperformed majority voting, achieving the highest MCC of 0.9379. These results highlight the importance of input variable selection and voting mechanisms in optimizing classification performance, particularly for imbalanced datasets.
The use of symbolic classifiers, such as the Genetic Programming Symbolic Classifiers (GPSC) employed in this study, offers several distinct advantages compared to deep learning models. One of the primary benefits of symbolic expressions is their inherent interpretability. Unlike deep learning models, which often operate as black boxes, symbolic classifiers provide explicit mathematical equations that reveal the relationships between input features and outputs. This interpretability is crucial in domains like cybersecurity, where understanding the rationale behind a detection decision is essential for trust, transparency, and compliance with regulatory standards.
Another significant advantage is computational efficiency. Symbolic classifiers are less resource-intensive during both training and inference compared to deep learning models, which often require extensive computational power and specialized hardware (e.g., GPUs). This makes symbolic classifiers more accessible for deployment in resource-constrained environments, such as mobile or embedded systems.
Additionally, symbolic expressions are inherently robust to overfitting, particularly when combined with techniques like dimensionality reduction and regularization. They generalize well to unseen data without requiring the massive amounts of labeled data typically needed for training deep learning models.
While deep learning models excel in handling highly complex, high-dimensional data, their reliance on large datasets and computational resources can pose practical limitations. In contrast, symbolic classifiers offer a lightweight, interpretable, and efficient alternative for many real-world applications, including malware detection, where explainability and resource efficiency are often critical.

5. Conclusions

In this paper, the publicly available dataset was used to train GPSC to obtain SEs that could detect if the Android application is malware or not with high classification performance. The major challenge was the initial dataset contained a large number of input variables and was highly imbalanced. Not only that but the input variables are at different scales. So the application of variable reduction methods, scaling/normalization techniques, and oversampling techniques were mandatory. Although the initial investigation was conducted with all input variables the dataset variations were created with a reduced number of input variables using Random Forrest Classifier and Principal Component Analysis. After the application of the previously mentioned techniques, a huge number of balanced dataset variations were obtained. On this balanced dataset variations, the GPSC was applied and a large number of SEs were obtained. To achieve the high classification performance the optimal combination of GPSC hyperparameter values had to be found through the RHVS method. When the best SEs were obtained on each balanced dataset variation the different variations of TBVEs were developed and the threshold value was adjusted to improve classification performance. Finally, the TBVES were combined into multi-TBVE to see if the classification performance could be improved. Using the proposed methodology the classification performance was slightly improved when compared to individual SEs. Not only that but the system consisting of multiple TBVE increased robustness in Android Malware detection. Based on the detailed investigation of the proposed research methodology the following conclusions are:
  • The GPSC could be used to obtain SEs for Android Malware Detection. However, obtaining only a single SE on the initial dataset could result in overfitting so a combination with 5FCV or development of TBVE is required.
  • The application of variable reduction techniques is important since the initial dataset contains a large number of input variables. Although the training GPSC with the dataset containing all variables did produce the SEs with high classification performance the idea was to see if using a smaller number of variables the same or similar performance could be achieved. The conducted investigation showed that using datasets with fewer input variables as well as reduction of variables with PCA did in the end produce SEs with similar or in some cases higher classification performance.
  • The application of scaling/normalization techniques as well as oversampling techniques did generate a large number of balanced dataset variations. By doing so especially with oversampling techniques a diversity in balanced dataset variations with the creation of synthetic samples. The application of oversampling techniques did prevent the biased decisions of SEs towards specific classes since all the datasets on GPSC trained were perfectly or at least perfectly balanced.
  • The application of the RHVS method proved very useful in finding the optimal combination of GPSC hyperparameters since in some cases the optimal combination was found in just a few iterations. Using this method the optimal combination was found very quickly when compared to the grid search methods.
  • The application of 5FCV did contribute to robustness since for each training of GPSC 5 different SEs were obtained.
  • The development of TBVEs and adjustment of threshold value did improve classification performance when compared to the single SEs. The development of TBVEs did increase robustness since to achieve this level of classification performance some number of SEs must have the same prediction on each sample.
  • The classification performance of the multi-TBVE is almost the same as the individual TBVE with the exception to multi-TBVE with weighted voting that achieved the highest classification accuracy
The proposed research methodology in this paper has its advantages and disadvantages. The advantages of this research methodology are:
  • with the application of reduction of dataset variables through RFC and PCA and the application of the different scaled/normalization and oversampling techniques a huge number of balanced dataset variations were created which contributed to dataset diversity on which GPSC was trained and produced an enormous amount of SEs,
  • The RHVS method proved to be very useful in finding the optimal combination of GPSC hyperparameter values in just a few repetitions of GPSC training
  • The 5FCV training method contributed to robustness since after each training of GPSC on balanced dataset variation 5SEs were obtained.
  • the TBVE contributed to robustness and classification performance since 150 or 175 SEs were required to develop specific TBVEs. The other benefit of TBVE is in adjusting/finding optimal threshold value using which the highest classification performance was obtained.
  • The concept of TBVE contributed to the robustness since for predicting Android malware the output of three TBVEs is required.
The disadvantages of the research methodology are:
  • The major disadvantage is that GPSC training on each dataset can be time-consuming,
  • The RHVS method did not find the optimal combination from the first GPSC execution. In some cases, the GPSC had to be executed multiple times with different combinations of hyperparameter values.
  • the execution of TBVE is too slow since for testing one TBVE on the dataset 170 SEs had to be evaluated on each dataset sample.
While the proposed methodology demonstrates strong performance in Android malware detection, improvements are possible to address its limitations. One direction is to explore smaller population sizes and reduced tournament selection values in the GPSC to lower computational costs without sacrificing performance. Additionally, future work will integrate advanced hyperparameter optimization techniques, such as Bayesian optimization, to improve efficiency compared to the random search method used in this study. Dynamic and adaptive parameter tuning during GPSC execution, leveraging approaches like reinforcement learning, will also be explored to enhance flexibility and scalability for larger datasets and real-time applications. These refinements aim to make the GPSC framework more efficient and adaptable while maintaining its high classification accuracy and robustness.

Author Contributions

Conceptualization, N.A. and S.B.Š.; methodology, N.A.; software, N.A.; validation, N.A., S.B.Š. and V.M.; formal analysis, N.A.; investigation, N.A.; resources, N.A.; data curation, N.A.; writing—original draft preparation, N.A., S.B.Š. and V.M.; writing—review and editing, N.A., S.B.Š. and V.M.; visualization, N.A.; supervision, N.A.; project administration, N.A.; funding acquisition, S.B.Š. All authors have read and agreed to the published version of the manuscript.

Funding

This research received no external funding.

Data Availability Statement

The dataset used in this research can be downloaded from https://www.kaggle.com/datasets/joebeachcapital/tunadromd-malware-detection (accessed on 3 January 2025).

Conflicts of Interest

The authors declare no conflicts of interest.

Appendix A. Modification of GPSC Mathematical Functions

As stated in the description of GPSC the division, square root, natural logarithm, and logarithms with bases 2 and 10 are modified to avoid early termination of GPSC or to avoid NaN and inf values. The modified division function can be written as:
y d i v ( x 1 , x 2 ) = x 2 x 1 x 1 > 0.001 1 x 1 < 0.001
The modified square root function can be written as:
y s q r t ( x ) = | x |
The modified natural logarithm and logarithms with bases 2 and 10 can be written as:
y l o g i ( x ) = log i ( | x | ) | x | > 0.001 1 x < 0.001
where i indicates bases of natural logarithm, base 2 and base 10.

Appendix B. Where to Find and How to Use the Obtained SEs

The obtained SEs can be found on the Github and can be downloaded from https://github.com/nandelic2022/MULTI_TBVE_AMD (accessed on 3 January 2025). To use this SEs first find the datasets with the same number of input variables. After the dataset is applied to the SEs and the output is computed a Sigmoid function must be used to determine the 0 or 1 class. On this site the results of the initial statistical analysis of all dataset variables are available.

References

  1. Talal, M.; Zaidan, A.; Zaidan, B.; Albahri, O.S.; Alsalem, M.; Albahri, A.S.; Alamoodi, A.H.; Kiah, M.L.M.; Jumaah, F.; Alaa, M. Comprehensive review and analysis of anti-malware apps for smartphones. Telecommun. Syst. 2019, 72, 285–337. [Google Scholar] [CrossRef]
  2. Aslan, Ö.A.; Samet, R. A comprehensive review on malware detection approaches. IEEE Access 2020, 8, 6249–6271. [Google Scholar] [CrossRef]
  3. Gaber, M.G.; Ahmed, M.; Janicke, H. Malware detection with artificial intelligence: A systematic literature review. ACM Comput. Surv. 2024, 56, 1–33. [Google Scholar] [CrossRef]
  4. Vidas, T.; Christin, N. Evading android runtime analysis via sandbox detection. In Proceedings of the 9th ACM Symposium on Information, Computer and Communications Security, Kyoto, Japan, 4–6 June 2014; pp. 447–458. [Google Scholar]
  5. Damodaran, A.; Troia, F.D.; Visaggio, C.A.; Austin, T.H.; Stamp, M. A comparison of static, dynamic, and hybrid analysis for malware detection. J. Comput. Virol. Hacking Tech. 2017, 13, 1–12. [Google Scholar] [CrossRef]
  6. Manju; Rana, C. Application of Deep Reinforcement Learning in Adversarial Malware Detection. In Deep Reinforcement Learning and Its Industrial Use Cases: AI for Real-World Applications; Scrivener Publishing: Austin, TX, USA, 2024; pp. 91–113. [Google Scholar]
  7. Fang, W.; He, J.; Li, W.; Lan, X.; Chen, Y.; Li, T.; Huang, J.; Zhang, L. Comprehensive android malware detection based on federated learning architecture. IEEE Trans. Inf. Forensics Secur. 2023, 18, 3977–3990. [Google Scholar] [CrossRef]
  8. Saqib, M.; Mahdavifar, S.; Fung, B.C.; Charland, P. A Comprehensive Analysis of Explainable AI for Malware Hunting. ACM Comput. Surv. 2024, 56, 1–40. [Google Scholar] [CrossRef]
  9. Mariconti, E.; Onwuzurike, L.; Andriotis, P.; De Cristofaro, E.; Ross, G.; Stringhini, G. Mamadroid: Detecting android malware by building markov chains of behavioral models. arXiv 2016, arXiv:1612.04433. [Google Scholar]
  10. Xie, N.; Qin, Z.; Di, X. GA-StackingMD: Android malware detection method based on genetic algorithm optimized stacking. Appl. Sci. 2023, 13, 2629. [Google Scholar] [CrossRef]
  11. AlSobeh, A.M.; Gaber, K.; Hammad, M.M.; Nuser, M.; Shatnawi, A. Android malware detection using time-aware machine learning approach. Clust. Comput. 2024, 27, 12627–12648. [Google Scholar] [CrossRef]
  12. McLaughlin, N.; Martinez del Rincon, J.; Kang, B.; Yerima, S.; Miller, P.; Sezer, S.; Safaei, Y.; Trickel, E.; Zhao, Z.; Doupé, A.; et al. Deep android malware detection. In Proceedings of the Seventh ACM on Conference on Data and Application Security and Privacy, Scottsdale, AZ, USA, 22–24 March 2017; pp. 301–308. [Google Scholar]
  13. Yuan, X.; He, P.; Zhu, Q.; Li, X. Adversarial examples: Attacks and defenses for deep learning. IEEE Trans. Neural Networks Learn. Syst. 2019, 30, 2805–2824. [Google Scholar] [CrossRef] [PubMed]
  14. Jyothsna, V.; Dasari, K.P.; Inuguru, S.; Gowni, V.B.R.; Kudumula, J.T.R.; Srilakshmi, K. Unified Approach for Android Malware Detection: Feature Combination and Ensemble Classifier. In Proceedings of the International Conference on Computational Innovations and Emerging Trends (ICCIET-2024), Odalarevu, India, 4–5 April 2024; Atlantis Press: Amsterdam, The Netherlands, 2024; pp. 485–495. [Google Scholar]
  15. Hou, S.; Saas, A.; Chen, L.; Ye, Y. Deep4maldroid: A deep learning framework for android malware detection based on linux kernel system call graphs. In Proceedings of the 2016 IEEE/WIC/ACM International Conference on Web Intelligence Workshops (WIW), Omaha, NE, USA, 13–16 October 2016; pp. 104–111. [Google Scholar]
  16. Alotaibi, S.D.; Alabduallah, B.; Said, Y.; Hassine, S.B.H.; Alzubaidi, A.A.; Alamri, M.; Al Zanin, S.; Majdoubi, J. Bioinspired artificial intelligence based android malware detection and classification for cybersecurity applications. Alex. Eng. J. 2024, 100, 142–152. [Google Scholar] [CrossRef]
  17. Xiong, S.; Chen, X.; Zhang, H.; Wang, M. Domain Adaptation-Based Deep Learning Framework for Android Malware Detection Across Diverse Distributions. Artif. Intell. Adv. 2024, 6, 13–24. [Google Scholar] [CrossRef]
  18. Ksibi, A.; Zakariah, M.; Almuqren, L.; Alluhaidan, A.S. Efficient android malware identification with limited training data utilizing multiple convolution neural network techniques. Eng. Appl. Artif. Intell. 2024, 127, 107390. [Google Scholar] [CrossRef]
  19. Alrabaee, S.; Al-kfairy, M.; Taha, M.B.; Alfandi, O.; Taher, F.; El Fiky, A.H. Using AI to Detect Android Malware Families. In Proceedings of the 2024 IEEE 20th International Conference on the Design of Reliable Communication Networks (DRCN), Montreal, QC, Canada, 6–9 May 2024; pp. 1–8. [Google Scholar]
  20. Pedregosa, F.; Varoquaux, G.; Gramfort, A.; Michel, V.; Thirion, B.; Grisel, O.; Blondel, M.; Prettenhofer, P.; Weiss, R.; Dubourg, V.; et al. Scikit-learn: Machine Learning in Python. J. Mach. Learn. Res. 2011, 12, 2825–2830. [Google Scholar]
  21. Fernández, A.; Garcia, S.; Herrera, F.; Chawla, N.V. SMOTE for learning from imbalanced data: Progress and challenges, marking the 15-year anniversary. J. Artif. Intell. Res. 2018, 61, 863–905. [Google Scholar] [CrossRef]
  22. Han, H.; Wang, W.Y.; Mao, B.H. Borderline-SMOTE: A new over-sampling method in imbalanced data sets learning. In Proceedings of the International Conference on Intelligent Computing, Hefei, China, 23–26 August 2005; Springer: Berlin/Heidelberg, Germany, 2005; pp. 878–887. [Google Scholar]
  23. He, H.; Bai, Y.; Garcia, E.A.; Li, S. ADASYN: Adaptive synthetic sampling approach for imbalanced learning. In Proceedings of the 2008 IEEE International Joint Conference on Neural Networks (IEEE World Congress on Computational Intelligence), Hong Kong, China, 1–8 June 2008; pp. 1322–1328. [Google Scholar]
  24. Fonseca, J.; Douzas, G.; Bacao, F. Improving imbalanced land cover classification with K-Means SMOTE: Detecting and oversampling distinctive minority spectral signatures. Information 2021, 12, 266. [Google Scholar] [CrossRef]
  25. Bagui, S.S.; Mink, D.; Bagui, S.C.; Subramaniam, S. Determining Resampling Ratios Using BSMOTE and SVM-SMOTE for Identifying Rare Attacks in Imbalanced Cybersecurity Data. Computers 2023, 12, 204. [Google Scholar] [CrossRef]
  26. O’Neill, M. Riccardo Poli, William B. Langdon, Nicholas F. McPhee: A Field Guide to Genetic Programming: Lulu. com, 2008, 250 pp, ISBN 978-1-4092-0073-4. In Genetic Programming and Evolvable Machines; Springer: Berlin/Heidelberg, Germany, 2009. [Google Scholar]
  27. Christopher, M.; Nasrabadi, N.M. Pattern Recognition and Machine Learning; Springer: Berlin/Heidelberg, Germany, 2006; p. 183. [Google Scholar]
  28. Jurman, G.; Riccadonna, S.; Furlanello, C. A Comparison of MCC and CEN Error Measures in Multi-Class Prediction. PLoS ONE 2012, 7, e41882. [Google Scholar] [CrossRef] [PubMed]
Figure 1. The graphical representation of research methodology.
Figure 1. The graphical representation of research methodology.
Bdcc 09 00027 g001
Figure 2. The flowchart of initial dataset generation and statistical analysis.
Figure 2. The flowchart of initial dataset generation and statistical analysis.
Bdcc 09 00027 g002
Figure 3. The correlation between input variables and the “Label” (output/target variable).
Figure 3. The correlation between input variables and the “Label” (output/target variable).
Bdcc 09 00027 g003
Figure 4. The feature importances obtained using RFC.
Figure 4. The feature importances obtained using RFC.
Bdcc 09 00027 g004
Figure 5. The correlation heatmap for dataset with reduced number of variables that were selected based on feature importance after training of RFC.
Figure 5. The correlation heatmap for dataset with reduced number of variables that were selected based on feature importance after training of RFC.
Bdcc 09 00027 g005
Figure 6. The boxplot analysis showing the number of samples correlated to target variable.
Figure 6. The boxplot analysis showing the number of samples correlated to target variable.
Bdcc 09 00027 g006
Figure 7. The Explained Variance ratio versus Principal component index.
Figure 7. The Explained Variance ratio versus Principal component index.
Bdcc 09 00027 g007
Figure 8. The number of samples versus class labels.
Figure 8. The number of samples versus class labels.
Bdcc 09 00027 g008
Figure 9. The results of application of oversampling techniques on original/scaled/normalized dataset variations with all input variables.
Figure 9. The results of application of oversampling techniques on original/scaled/normalized dataset variations with all input variables.
Bdcc 09 00027 g009
Figure 10. The results of application of oversampling techniques on original/scaled/normalized dataset variations with reduced number of input variables using RFC.
Figure 10. The results of application of oversampling techniques on original/scaled/normalized dataset variations with reduced number of input variables using RFC.
Bdcc 09 00027 g010
Figure 11. The results of application of oversampling techniques on original/scaled/normalized dataset variations with reduced number of input variables using PCA.
Figure 11. The results of application of oversampling techniques on original/scaled/normalized dataset variations with reduced number of input variables using PCA.
Bdcc 09 00027 g011
Figure 12. The train-test procedure used in this research.
Figure 12. The train-test procedure used in this research.
Bdcc 09 00027 g012
Figure 13. The classification performance of the best SEs obtained with GPSC on balanced dataset variations with all input variables.
Figure 13. The classification performance of the best SEs obtained with GPSC on balanced dataset variations with all input variables.
Bdcc 09 00027 g013
Figure 14. The graphical representation of optimal combination of GPSC hyperparameter values obtained using RHVS method on balanced dataset variations with all input variables.
Figure 14. The graphical representation of optimal combination of GPSC hyperparameter values obtained using RHVS method on balanced dataset variations with all input variables.
Bdcc 09 00027 g014
Figure 15. The classification performance of the best SEs obtained on each balanced dataset variation.
Figure 15. The classification performance of the best SEs obtained on each balanced dataset variation.
Bdcc 09 00027 g015
Figure 16. The optimal combinations of GPSC hyperparameter values obtained using RHVS method on each of the balanced dataset variations with reduced number of input variables through RFC.
Figure 16. The optimal combinations of GPSC hyperparameter values obtained using RHVS method on each of the balanced dataset variations with reduced number of input variables through RFC.
Bdcc 09 00027 g016
Figure 17. The classification performance of SEs obtained using GPSC on the balanced dataset variations with reduced number of input variables using PCA.
Figure 17. The classification performance of SEs obtained using GPSC on the balanced dataset variations with reduced number of input variables using PCA.
Bdcc 09 00027 g017
Figure 18. The optimal combination of GPSC hyperparameter values obtained on each balanced dataset variation using RHVS method.
Figure 18. The optimal combination of GPSC hyperparameter values obtained on each balanced dataset variation using RHVS method.
Bdcc 09 00027 g018
Figure 19. Confusion matrices generated using (a) SEs with all input variables, Confusion matrix obtained using Equations (10)–(14). (b) SEs with reduced number of input variables through RFC, Confusion matrix obtained using Equations (15)–(19). and (c) SEs with reduced number of input variables through PCA, Confusion matrix obtained using Equations (20)–(24).
Figure 19. Confusion matrices generated using (a) SEs with all input variables, Confusion matrix obtained using Equations (10)–(14). (b) SEs with reduced number of input variables through RFC, Confusion matrix obtained using Equations (15)–(19). and (c) SEs with reduced number of input variables through PCA, Confusion matrix obtained using Equations (20)–(24).
Bdcc 09 00027 g019
Figure 20. The classification performance of three different TBVEs versus threshold value. (a) The classification performance of TBVE consisting of 175 SEs that were obtained on balanced dataset variations with all input variables. (Red dashed lines (threshold range 26–31) represents an interval range with high classification performance, the blue line represents the highest classification performance (threshold value 29)). (b) The classification performance of TBVE consisting of 175 SEs tested on the imbalanced dataset with reduced number of input variables through RFC. (Red dashed lines (threshold range 56–61) represents an interval range with high classification performance, the blue line represents the highest classification performance (threshold value 60)). (c) The classification performance of TBVE consisting of 150 SEs tested on the imblanced dataset with reduced number of input variables through PCA. (Red dashed lines (threshold range 43–47) represents an interval range with high classification performance, the blue line represents the highest classification performance (threshold value 45)).
Figure 20. The classification performance of three different TBVEs versus threshold value. (a) The classification performance of TBVE consisting of 175 SEs that were obtained on balanced dataset variations with all input variables. (Red dashed lines (threshold range 26–31) represents an interval range with high classification performance, the blue line represents the highest classification performance (threshold value 29)). (b) The classification performance of TBVE consisting of 175 SEs tested on the imbalanced dataset with reduced number of input variables through RFC. (Red dashed lines (threshold range 56–61) represents an interval range with high classification performance, the blue line represents the highest classification performance (threshold value 60)). (c) The classification performance of TBVE consisting of 150 SEs tested on the imblanced dataset with reduced number of input variables through PCA. (Red dashed lines (threshold range 43–47) represents an interval range with high classification performance, the blue line represents the highest classification performance (threshold value 45)).
Bdcc 09 00027 g020
Figure 21. CM for TBVEs optimal threshold values (a) The CM for TBVE consists of SEs obtained on balanced dataset variations with all input variables, with optimal threshold value 29, (b) The CM for TBVE consists of SEs obtained on balanced dataset variations with a reduced number of input variables through RFC and with optimal TBVE threshold value 60, and (c) The CM for TBVE consisting of SEs obtained on balanced dataset variations with a reduced number of input variables through PCA and with optimal TBVE threshold value 45.
Figure 21. CM for TBVEs optimal threshold values (a) The CM for TBVE consists of SEs obtained on balanced dataset variations with all input variables, with optimal threshold value 29, (b) The CM for TBVE consists of SEs obtained on balanced dataset variations with a reduced number of input variables through RFC and with optimal TBVE threshold value 60, and (c) The CM for TBVE consisting of SEs obtained on balanced dataset variations with a reduced number of input variables through PCA and with optimal TBVE threshold value 45.
Bdcc 09 00027 g021
Table 1. The summary of achieved results and used methodology in literature.
Table 1. The summary of achieved results and used methodology in literature.
LiteratureMethodsAccuracy (%)
 [9]RFC, 1-NN, 3-NN, SVMF1-Score 99
 [10]Stacking Ensemble + Genetic Algorithm98.43 and 98.43
 [11]TAMLF1-Score: 99.28
 [12]CNN98
 [13]RNN98.2
 [14]ETC, Voting Ensemble98
 [15]CNN with graph embedding techniques94
 [16]SI, GA, ANN99.16
 [17]ANN, LR, DTC, KNN, RFC90
[18]DenseNET169, Xception, InceptionV3,
ResNet50, and VGG16
95
 [19]RFC, CNN92.55
Table 2. The results of initial statistical analysis of the dataset with reduced number of input variables (reduced via feature importance using RFC).
Table 2. The results of initial statistical analysis of the dataset with reduced number of input variables (reduced via feature importance using RFC).
Dataset VariablesCountMeanstdMinMaxGPSC Variable
Representation
RECEIVE
BOOT
COMPLETED
44640.8436380.36323901 Z 0
Ljava/net/URL
openConnection
44640.1796590.38394701 Z 1
Landroid/location/LocationManager
getLastK0wnLocation
44640.1225360.3279401 Z 2
GET
TASKS
44640.6413530.47965701 Z 3
WAKE
LOCK
44640.8855290.31841901 Z 4
KILL
BACKGROUND
PROCESSES
44640.5042560.50003801 Z 5
Ljava/lang/System
load
44640.1129030.3165101 Z 6
RECEIVE
SMS
44640.154570.36153501 Z 7
Ljava/lang/System
loadLibrary
44640.1046150.30609101 Z 8
READ
PHONE
STATE
44640.5353940.49880201 Z 9
Landroid/telephony/TelephonyManager
getNetworkOperator
44640.245520.43044301 Z 10
SYSTEM
ALERT
WINDOW
44640.3987460.48969501 Z 11
VIBRATE44640.2002690.40024601 Z 12
Ldalvik/system/DexClassLoader
loadClass
44640.0586920.23507301 Z 13
Ljava/lang/Runtime
exec
44640.3413980.47423201 Z 14
WRITE
EXTERNAL
STORAGE
44640.4413080.49659901 Z 15
Landroid/telephony/TelephonyManager
getSimOperatorName
44640.0562280.23038701 Z 16
ACCESS
WIFI
STATE
44640.3288530.46984901 Z 17
DISABLE
KEYGUARD
44640.2800180.44905801 Z 18
Ljavax/crypto/Cipher
doFinal
44640.5165770.49978101 Z 19
Landroid/telephony/TelephonyManager
getDeviceId
44640.4269710.49469301 Z 20
ACCESS
NETWORK
STATE
44640.5963260.49068901 Z 21
Landroid/content/pm/PackageManager
getInstalledPackages
44640.0519710.22199401 Z 22
Label44640.7986110.40108301y
Table 3. The boundary values of GPSC hyperparameters used in RHVS method.
Table 3. The boundary values of GPSC hyperparameters used in RHVS method.
GPSC Hyperparametr ValueLower BoundaryUpper Boundary
PopSize5001000
NumGen100200
TS250500
InitDepth318
Crossover0.0011
SubMute0.951
HoistMute0.0011
PointMute0.0011
StopCrit 1 · 10 6 1 · 10 3
MaxSamp0.991
ConstRange−10001000
ParsCoeff 1 · 10 4 1 · 10 3
Table 4. The example of CM table.
Table 4. The example of CM table.
Predicted PositivePredicted Negative
Actual PositiveTPFN
Actual NegativeFPTN
Table 5. The classification performance of Multi-TBVE with majority voting and with weighted voting.
Table 5. The classification performance of Multi-TBVE with majority voting and with weighted voting.
TBVE Type ACC AUC Precision Recall F 1 - Score MCC
Multi-TBVE with majority voting0.97510.9720.992020.97670.98430.925
Multi-TBVE with weighted voting0.98050.97190.98930.98620.98770.9397
Disclaimer/Publisher’s Note: The statements, opinions and data contained in all publications are solely those of the individual author(s) and contributor(s) and not of MDPI and/or the editor(s). MDPI and/or the editor(s) disclaim responsibility for any injury to people or property resulting from any ideas, methods, instructions or products referred to in the content.

Share and Cite

MDPI and ACS Style

Anđelić, N.; Baressi Šegota, S.; Mrzljak, V. Application of Symbolic Classifiers and Multi-Ensemble Threshold Techniques for Android Malware Detection. Big Data Cogn. Comput. 2025, 9, 27. https://doi.org/10.3390/bdcc9020027

AMA Style

Anđelić N, Baressi Šegota S, Mrzljak V. Application of Symbolic Classifiers and Multi-Ensemble Threshold Techniques for Android Malware Detection. Big Data and Cognitive Computing. 2025; 9(2):27. https://doi.org/10.3390/bdcc9020027

Chicago/Turabian Style

Anđelić, Nikola, Sandi Baressi Šegota, and Vedran Mrzljak. 2025. "Application of Symbolic Classifiers and Multi-Ensemble Threshold Techniques for Android Malware Detection" Big Data and Cognitive Computing 9, no. 2: 27. https://doi.org/10.3390/bdcc9020027

APA Style

Anđelić, N., Baressi Šegota, S., & Mrzljak, V. (2025). Application of Symbolic Classifiers and Multi-Ensemble Threshold Techniques for Android Malware Detection. Big Data and Cognitive Computing, 9(2), 27. https://doi.org/10.3390/bdcc9020027

Article Metrics

Back to TopTop