Deep Neural Network Analysis for Environmental Study of Coral Reefs in the Gulf of Eilat (Aqaba)
Abstract
1. Introduction
Coral Classification in the Gulf of Eilat
2. Materials and Methods
2.1. Study Sites
- Photographing the corals.
- Line transects for estimating the cover percentage at the four test sites in the Gulf of Eilat.
- Deep learning convolutional neural networks as an efficient classification of coral species.
2.2. Coral Diversity and Coverage
2.3. Photographing and Analysis
2.4. Data Analysis
3. Results
- Coral species quantities and coverage percentage of each of the common coral species at each site (sites 1–4) using each method (point estimated and Fiji ImageJ)
- Deep learning coral classification data.
3.1. Coral Species Quantities
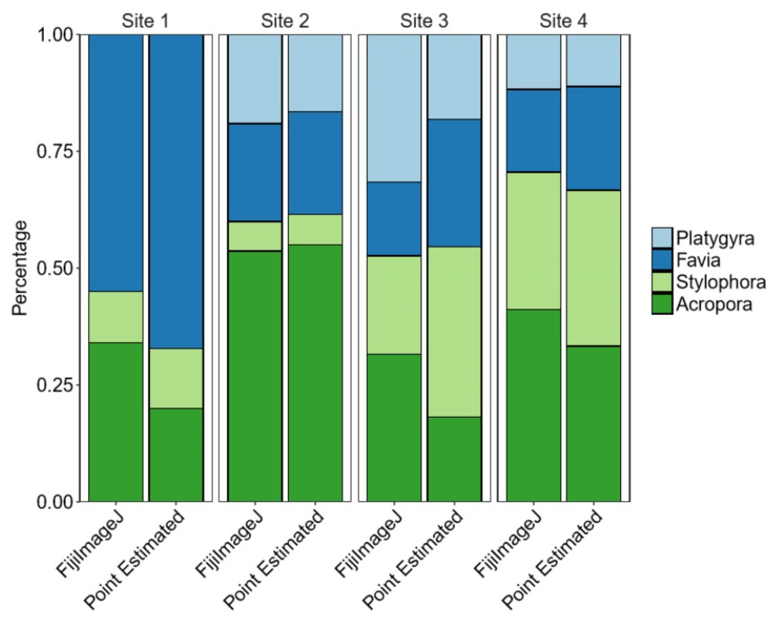
3.2. Comparison between Methods
3.3. Comparison between Sites
3.4. Comparison between Each Pair of Sites Using Each Method
3.5. Comparing the Coverage Percentages of Different Coral Species
3.5.1. One-Way ANOVA Test Results
3.5.2. Tukey Post Hoc Test
3.5.3. Coverage Estimation
3.6. Correlation of Coverage Percentage between the Different Sites
3.7. Comparing the Coverage Percentages of Eleven Coral Species
3.8. Deep Learning Results for Eleven Species (ResNet-50)
3.9. Comparing between Branching (B) and Massive (M) Species (ResNet-50)
3.10. Comparing between M Species
- There is no difference between the methods: Fiji ImageJ and “Point estimated”, applied at each site.
- There is a significant difference among live coral cover and number of coral colonies among the four sites, using any method.
- The difference in relative species’ coverage among the four sites using both methods was significant.
- The relative coral species cover among the four sites was not significantly different when determined using the two methods.
- The species differed significantly in their coverage percentage.
3.11. Deep Learning Results
- High accuracy of 90% was attained in a preliminary test by applying the method of deep learning for classifying 400 images of four common coral species.
- The method was proven by applying training results from three sites on a fourth external site with accuracy of 80.13%.
- Using cross validation results prove that the model can predict new data from additional sites that were not used in the training.
- The system has difficulty in distinguishing among similar coral species.
- Species with salient features are identified with high accuracy
4. Discussion
- Species with a unique shape like Platygyra showed highest accuracy results of 97.33%.
- Branching corals like Stylophora with typical finger-like branches that vary in width and have blunt tips are classified with slightly lower accuracy of 96%.
- Species like Lobophyllia with either flat or domed colonies were classified with accuracy of 93.33%.
- Acropora species that grow either as slender or broad branches achieved 86.66%.
- Species with a distinct morphology like Cyphastrea showed accuracy of 84%.
- Species like Montipora were classified with accuracy results of 74.66%.
- Dome-shaped or flat similar species like Favia, Goniastrea, Pavona, Porites and Echinopora are classified with accuracy results of 72%.
5. Conclusions
- DL is capable of distinguishing between coral and non-coral benthos.
- DL can reliably identify corals, based on colony morphology.
- Computerized coral image analyses are the most powerful, unique tools for studying the ecology of coral reefs, relying on vast real-time datasets that provide the information needed for the following:
- Comparing sites, as these are revealed by the DL study and suggest an explanation of differences among them in a real coverage and species abundance.
- Quantifying the differences in abundance among species and allowing attribution of such differences to sensitivity, longevity, competition and K vs. r strategies.
- Documenting the efficiency of legislative and bioremediation measures in coral reef conservation and recovery over time.
- Producing time series for long term trend analyses and predictions.
- Constructing the age structure of species, to analyze recruitment patterns.
- Generating species diversity estimates.
Author Contributions
Funding
Institutional Review Board Statement
Informed Consent Statement
Data Availability Statement
Acknowledgments
Conflicts of Interest
Appendix A
Appendix A.1. Applications Used
Appendix A.2. Coral Current Cover Using CPCe Software

Appendix B

References
- Bellwood, D.R.; Hughes, T.P.; Folke, C.; Nyström, M. Confronting the coral reef crisis. Nat. Cell Biol. 2004, 429, 827–833. [Google Scholar] [CrossRef] [PubMed]
- Maor-Landaw, K.; Karako-Lampert, S.; Ben-Asher, H.W.; Goffredo, S.; Falini, G.; Dubinsky, Z.; Levy, O. Gene expression profiles during short-term heat stress in the red sea coralStylophora pistillata. Glob. Chang. Biol. 2014, 20, 3026–3035. [Google Scholar] [CrossRef] [PubMed]
- Teplitski, M.; Krediet, C.J.; Meyer, J.L.; Ritchie, K.B. Microbial Interactions on Coral Surfaces and Within the Coral Holobiont. In The Cnidaria Past, Present and Future; Springer: Berlin/Heidelberg, Germany, 2016; pp. 331–346. [Google Scholar]
- Hoegh-Guldberg, O.; Mumby, P.J.; Hooten, A.J.; Steneck, R.S.; Greenfield, P.; Gomez, E.; Harvell, C.D.; Sale, P.F.; Edwards, A.J.; Caldeira, K.; et al. Coral Reefs Under Rapid Climate Change and Ocean Acidification. Science 2007, 318, 1737–1742. [Google Scholar] [CrossRef] [PubMed]
- Roberts, J.M.; Murray, F.; Anagnostou, E.; Hennige, S.; Gori, A.; Henry, L.A.; Fox, A.; Kamenos, N.; Foster, G.L. The Cnidaria, Past, Present and Future; Goffredo, S., Dubinsky, Z., Eds.; Springer International Publishing: Berlin/Heidelberg, Germany, 2016; pp. 593–606. [Google Scholar]
- McClanahan, T.R.; Ateweberhan, M.; Muhando, C.A.; Maina, J.; Mohammed, M.S. Effects of climate and seawater tem-perature variation on coral bleaching and mortality. Ecol. Monogr. 2007, 77, 503–525. [Google Scholar] [CrossRef]
- Gravili, C. Zoogeography of Hydrozoa: Past, Present and a Look to the Future. In The Cnidaria Past, Present and Future; Springer: Berlin/Heidelberg, Germany, 2016; pp. 95–107. [Google Scholar]
- Loya, Y.; Slobodkin, L.B. The coral reefs of Eilat (Gulf of Eilat, Red Sea). Symp. Zool. Soc. London 1971, 28, 117–139. [Google Scholar]
- Loya, Y. Community structure and species diversity of hermatypic corals at Eilat, Red Sea. Mar. Biol. 1972, 13, 100–123. [Google Scholar] [CrossRef]
- Loya, Y. Possible effects of water pollution on the community structure of Red Sea corals. Mar. Biol. 1975, 29, 177–185. [Google Scholar] [CrossRef]
- Loya, Y. The Coral Reefs of Eilat—Past, Present and Future: Three Decades of Coral Community Structure Studies. In Coral Health and Disease; Springer Science and Business Media LLC.: Berlin/Heidelberg, Germany, 2004; pp. 1–34. [Google Scholar]
- Carlson, D.F.; Fredj, E.; Gildor, H. The annual cycle of vertical mixing and restratification in the Northern Gulf of Ei-lat/Aqaba (Red Sea) based on high temporal and vertical resolution observations. In Deep Sea Research Part I: Oceanographic Research Papers; Springer: Berlin/Heidelberg, Germany, 2014; Volume 84, pp. 1–17. [Google Scholar]
- Lazar, B.; Erez, J.; Silverman, J.; Rivlin, T.; Rivlin, A.; Dray, M.; Iluz, D. Recent environmental changes in the chemicalbio-logical oceanography of the Gulf of Aqaba (Eilat). In Aqaba-Eilat, the Improbable Gulf. Environment, Biodiversity and Preservation; Magnes Press: Jerusalem, Israel, 2008; pp. 49–61. [Google Scholar]
- Genin, A.; Lazar, B.; Brenner, S. Vertical mixing and coral death in the Red Sea following the eruption of Mount Pinatubo. Nat. Cell Biol. 1995, 377, 507–510. [Google Scholar] [CrossRef]
- Dubinsky, Z.; Iluz, D. Corals and Light: From Energy Source to Deadly Threat. In The Cnidaria, Past, Present and Future; Springer Science and Business Media LLC.: Berlin/Heidelberg, Germany, 2016; pp. 469–487. [Google Scholar]
- Bhattacharya, D.; Agrawal, S.; Aranda, M.; Baumgarten, S.; Belcaid, M.; Drake, J.L.; Erwin, D.; Foret, S.; Gates, R.D.; Gruber, D.F.; et al. Comparative genomics explains the evolutionary success of reef-forming corals. eLife 2016, 5, 5741. [Google Scholar] [CrossRef] [PubMed]
- Beijbom, O.; Edmunds, P.J.; Kline, D.I.; Mitchell, B.G.; Kriegman, D.J. Automated annotation of coral reef survey images. In Proceedings of the 2012 IEEE Conference on Computer Vision and Pattern Recognition, Providence, RI, USA, 16–21 June 2012; pp. 1170–1177. [Google Scholar]
- Colwell, R.K.; Coddington, J.A. Estimating terrestrial biodiversity through extrapolation. Philos. Trans. R. Soc. B Biol. Sci. 1994, 345, 101–118. [Google Scholar] [CrossRef]
- Raphael, A.; Dubinsky, Z.; Iluz, D.; Netanyahu, N.S. Neural Network Recognition of Marine Benthos and Corals. Divers 2020, 12, 29. [Google Scholar] [CrossRef]
- Raphael, A.; Dubinsky, Z.; Iluz, D.; Benichou, J.I.C.; Netanyahu, N.S. Deep neural network recognition of shallow water corals in the Gulf of Eilat (Aqaba). Sci. Rep. 2020, 10, 12959. [Google Scholar] [CrossRef] [PubMed]











| Categories | Sites | |||||||
|---|---|---|---|---|---|---|---|---|
| Coral Species | Site-1 | Site-2 | Site-3 | Site-4 | ||||
| Method | Point Estimated | Fiji ImageJ | Point Estimated | Fiji ImageJ | Point Estimated | Fiji ImageJ | Point Estimated | Fiji ImageJ |
| Acropora | 14 | 31 | 50 | 59 | 2 | 6 | 3 | 7 |
| Platygyra | 0 | 0 | 15 | 21 | 2 | 6 | 1 | 2 |
| Favia | 47 | 50 | 20 | 23 | 3 | 3 | 2 | 3 |
| Stylophora | 9 | 10 | 6 | 7 | 4 | 4 | 3 | 5 |
| Total no. of coral sp. | 70 | 91 | 91 | 110 | 11 | 19 | 9 | 17 |
| Method | Sites | p-Value |
|---|---|---|
| FijiImageJ | 1–2 | <0.001 *** |
| FijiImageJ | 1–3 | <0.001 *** |
| FijiImageJ | 1–4 | 0.0254 * |
| FijiImageJ | 2–3 | 0.0921 |
| FijiImageJ | 2–4 | 0.08 |
| FijiImageJ | 3–4 | 0.673 |
| Point Estimated | 1–2 | <0.001 |
| Point Estimated | 1–3 | 0.0038 * |
| Point Estimated | 1–4 | 0.0154 * |
| Point Estimated | 2–3 | 0.0163 * |
| Point Estimated | 2–4 | 0.1008 |
| Point Estimated | 3–4 | 0.9999 |
| Df | Sum Sq. | Mean Sq. | F-Value | Pr (>F) | |
|---|---|---|---|---|---|
| Coral species | 3 | 55.67 | 18.557 | 11.9 | 0.0006 *** |
| Residuals | 12 | 18.71 | 1.559 |
| Coral Species | Mean Difference | 95% Confidence Interval of the Difference | Adjusted p-Value | |
|---|---|---|---|---|
| Lower | Upper | |||
| Favia-Acropora | −4.49 | −7.111 | −1.868 | <0.001 *** |
| Platygyra-Acropora | −4.64 | −7.261 | −2.018 | 0.01 * |
| Stylophora-Acropora | −2.91 | −5.531 | −0.288 | 0.028 * |
| Platygyra-Favia | −0.15 | −2.771 | 2.471 | 0.998 |
| Stylophora-Favia | 1.58 | −1.041 | 4.201 | 0.324 |
| Stylophora-Platygyra | 1.73 | 0.891 | 4.351 | 0.255 |
| Site1 | Site2 | Correlation Coefficient | p-Value |
|---|---|---|---|
| 1 | 2 | 0.907 | 0.092 |
| 1 | 3 | 0.949 | 0.05 * |
| 1 | 4 | 0.892 | 0.107 |
| 2 | 3 | 0.922 | 0.077 |
| 2 | 4 | 0.872 | 0.127 |
| 3 | 4 | 0.987 | 0.012 * |
| T-Test | Df | p-Value |
|---|---|---|
| 1.17 | 3.574 | 0.314 |
| Mean in Group B | Mean in Group M |
|---|---|
| 0.857 | 0.773 |
| X-Squared | Df | p-Value |
|---|---|---|
| 25.101 | 6 | 0.0003 |
| Labels | Coral Species | True | False | Percent True |
|---|---|---|---|---|
| 0 | Acropora | 65 | 10 | 86.66 |
| 1 | Cyphastrea | 63 | 12 | 84 |
| 2 | Echinopora | 54 | 21 | 72 |
| 3 | Favia | 54 | 21 | 72 |
| 4 | Goniastrea | 54 | 21 | 72 |
| 5 | Lobophyllia | 70 | 5 | 93.33 |
| 6 | Montipora | 56 | 19 | 74.66 |
| 7 | Pavona | 54 | 21 | 72 |
| 8 | Platygyra | 73 | 2 | 97.33 |
| 9 | Porites | 54 | 21 | 72 |
| 10 | Stylophora | 72 | 3 | 96 |
| Cross Fold | Accuracy |
|---|---|
| Cross_fold_0 | 81.54% |
| Cross_fold_1 | 82.27% |
| Cross_fold_2 | 82.81% |
| Cross_fold_3 | 81.54% |
| Cross_fold_4 | 81.90% |
| Average Accuracy | 82.01% |
| Acropora | Cyphastrea | Echinopora | Favia | Goniastrea | Lobophyllia | Montipora | Pavona | Platygyra | Porites | Stylophora | |
|---|---|---|---|---|---|---|---|---|---|---|---|
| Fold0 | 93 | 89 | 79 | 72 | 73 | 96 | 80 | 75 | 85 | 70 | 85 |
| Fold1 | 91 | 86 | 69 | 74 | 80 | 99 | 80 | 78 | 87 | 77 | 84 |
| Fold2 | 95 | 82 | 83 | 70 | 79 | 98 | 83 | 67 | 92 | 71 | 91 |
| Fold3 | 90 | 84 | 73 | 76 | 71 | 93 | 81 | 79 | 88 | 71 | 91 |
| Fold4 | 91 | 76 | 88 | 77 | 73 | 87 | 80 | 65 | 96 | 76 | 92 |
| Average | 92 | 83.4 | 78.4 | 73.8 | 75.2 | 94.6 | 80.8 | 72.8 | 89.6 | 73 | 88.6 |
| Total Average | 82.01 | ||||||||||
Publisher’s Note: MDPI stays neutral with regard to jurisdictional claims in published maps and institutional affiliations. |
© 2021 by the authors. Licensee MDPI, Basel, Switzerland. This article is an open access article distributed under the terms and conditions of the Creative Commons Attribution (CC BY) license (https://creativecommons.org/licenses/by/4.0/).
Share and Cite
Raphael, A.; Dubinsky, Z.; Netanyahu, N.S.; Iluz, D. Deep Neural Network Analysis for Environmental Study of Coral Reefs in the Gulf of Eilat (Aqaba). Big Data Cogn. Comput. 2021, 5, 19. https://doi.org/10.3390/bdcc5020019
Raphael A, Dubinsky Z, Netanyahu NS, Iluz D. Deep Neural Network Analysis for Environmental Study of Coral Reefs in the Gulf of Eilat (Aqaba). Big Data and Cognitive Computing. 2021; 5(2):19. https://doi.org/10.3390/bdcc5020019
Chicago/Turabian StyleRaphael, Alina, Zvy Dubinsky, Nathan S. Netanyahu, and David Iluz. 2021. "Deep Neural Network Analysis for Environmental Study of Coral Reefs in the Gulf of Eilat (Aqaba)" Big Data and Cognitive Computing 5, no. 2: 19. https://doi.org/10.3390/bdcc5020019
APA StyleRaphael, A., Dubinsky, Z., Netanyahu, N. S., & Iluz, D. (2021). Deep Neural Network Analysis for Environmental Study of Coral Reefs in the Gulf of Eilat (Aqaba). Big Data and Cognitive Computing, 5(2), 19. https://doi.org/10.3390/bdcc5020019
