Next Article in Journal
Phenomenological Semantic Factor Method for Risk Management of Complex Systems in Drifting
Previous Article in Journal
Applications of Artificial Intelligence in Fisheries: From Data to Decisions
 
 
Font Type:
Arial Georgia Verdana
Font Size:
Aa Aa Aa
Line Spacing:
Column Width:
Background:
Article

Driving Simulator Performance After Acquired Brain Injury: A Comparative Study of Neuropsychological Predictors

1
Department of Health Care and Population Protection, Faculty of Biomedical Engineering, Czech Technical University in Prague, 270 01 Kladno, Czech Republic
2
Institute for Evaluations and Social Analyses, Sokolovská 351/25, 186 00 Prague, Czech Republic
*
Authors to whom correspondence should be addressed.
Big Data Cogn. Comput. 2026, 10(1), 20; https://doi.org/10.3390/bdcc10010020
Submission received: 27 November 2025 / Revised: 23 December 2025 / Accepted: 25 December 2025 / Published: 6 January 2026

Abstract

Acquired brain injury (ABI) often results in cognitive and motor impairments that can compromise driving ability, an essential aspect of independence and social participation. This study utilized a custom-designed driving simulator to compare driving performance between individuals with ABI and controls, and to examine the relationship between cognitive performance and driving behavior within the control group. All participants completed a series of standardized driving simulation tasks of varying complexity. The control group also completed a neuropsychological battery that assessed attention, processing speed, executive function, and visuospatial abilities. Simulator data were analyzed using generalized linear mixed models to evaluate group differences and, for the control group, cognitive predictors of performance. Results showed that individuals with ABI performed comparably to controls in basic operational tasks but demonstrated reduced performance in cognitively demanding scenarios requiring sustained attention, visuospatial monitoring, and adaptive control, such as rural driving, vehicle following, and parking. In the control group, strong associations were found between simulator outcomes and measures of attention, processing speed, and spatial orientation. The findings support the use of simulator-based assessment as an objective tool sensitive to post-injury impairments and highlight its links to cognitive domains relevant to driving.

1. Introduction

Acquired brain injury (ABI) is defined as damage that is not hereditary, congenital, or degenerative and commonly results in transient or permanent cognitive, emotional, motor, and behavioral impairments. Acquired brain injury includes both traumatic brain injuries (e.g., caused by accident or trauma) and nontraumatic injuries (e.g., brain tumor, infection, or stroke) [1]. Stroke is the second most common cause of death in developed countries, with ischemic stroke resulting from a blood clot blocking a blood vessel accounting for 80% of deaths [2]. Brain damage was previously perceived as an irreversible condition, but the potential of nervous tissue to regenerate and restore its function (neuroplasticity) has been identified, mainly in the context of rehabilitation exercise [3]. The most commonly cited consequences of brain damage are cognitive and motor impairment.
Driving was one of the essential daily activities in many patients’ lives before their brain injury. The ability to return to driving is one of the most crucial life factors for patients with ABI, as the ability to drive is associated with, among other things, returning to employment and maintaining social relationships and recreational activities. These findings are supported by research, although the number of studies is limited. Rapport et al. [4] discovered that perceived barriers to driving ability are negatively related to successful social integration in patients with traumatic brain injury, even when other variables (severity of injury, social support, or availability of alternative transportation) are controlled. Loss of driving ability also negatively affects independence and life satisfaction [5,6]. In contrast, clients who drive after traumatic brain injury are likelier to maintain stable employment [7]. Thus, the ability to drive affects subjective and objective brain injury recovery indicators. Given these profound consequences of driving loss, valid tools for objectively assessing and supporting return-to-driving decisions after ABI are essential.
Driving a car may appear to be an automatic activity. However, it is influenced by several cognitive functions that enable it to respond effectively to constant environmental changes and select appropriate responses. In the literature, visual, cognitive, and motor functions and their combinations are most commonly discussed. However, one of the most frequently studied variables, including visual attention and visual field loss, is visual acuity, which has not been shown to affect accident rates [8]. The essential physical functions required to master vehicle control include strength, coordination, firm grip, and reflexes in the upper and lower extremities [9]. Range of motion, muscle tension, coordination, and proprioception should be part of the fitness to drive test. In particular, patients with traumatic brain injury may experience impairment of these functions in rigidity, weakness, or hemiparesis [9,10]. Selective and divided attention, memory, and information processing are often identified as cognitive functions necessary to return to driving after a traumatic brain injury successfully [5,11]. The present study, therefore, focuses on cognitive domains commonly implicated in safe driving, such as selective attention, processing speed, executive control, and visuospatial navigation, which are captured by widely used neuropsychological tests.
Earlier reports indicated that 42% of individuals with traumatic brain injury (TBI) returned to driving one year after injury and 53% after five years. More recent TBI Model System studies demonstrate higher return-to-driving rates following moderate-to-severe TBI, with approximately 62% returning within two years and nearly 78% over longer-term follow-up [5]. Longitudinal data further show that 65% of individuals had returned to driving at one year and 70% at two years postinjury [6]. Although individuals with less severe injuries tend to resume driving earlier, injury severity plays a diminished role over time, with socioeconomic factors such as family income becoming more influential. Despite returning to driving, individuals with TBI report persistent changes in driving behavior compared with preinjury status, including reduced driving frequency and distance, avoidance of challenging situations such as heavy traffic, nighttime, or poor weather, and continued functional difficulties. Driving exposure remains lower than before injury, and although crash rates decline over time postinjury, they remain higher than population-based estimates, suggesting an elevated risk profile both before and after injury [5,6]. Most studies focus on cognitive deficits that can lead to risky driving in people with traumatic brain injury. For example, impaired attention [12,13], slowed reaction time [12], impaired visuospatial ability [14], or impaired executive ability [15] have been found in groups of patients with ABI compared with a control group of healthy volunteers.
Although several areas of importance in the driving process have been identified, there is no consensus on accurately assessing or predicting driving ability in post-ABI individuals and in healthy individuals. Moreover, while driving simulators and neuropsychological testing are both used in practice, there is limited evidence on how specific cognitive domains quantitatively predict performance across different simulated driving scenarios, particularly when modern regression frameworks for bounded and repeated measures are applied. In recent years, many modern technology methods have been developed to evaluate a person’s driving ability in a dynamic virtual environment that better simulates the real-world experience of driving a car. Some of these methods have also been used to assess people’s abilities with post-ABI, the most common being the virtual reality (VR) driving simulator. This has the advantage of providing a more realistic representation of individual model situations during driving and the ability to manipulate individual variables so that tasks can be graded according to difficulty or other criteria. Virtual scenarios can also include situations that cannot be safely trained in real traffic (e.g., unexpected passersby entering the road) [16,17]. Vickers et al. [16] also pointed out that driving simulations can detect subtle variables in patients after acquired brain injury that may not be obvious at first glance (unlike, for example, the number of collisions) but provide helpful insight into the changes that may occur after damage.
The primary goals of driving rehabilitation are to remediate behavioral changes that improve driving ability and to provide compensation that enables the individual to learn strategies to compensate for any limitations. Imhoff et al. [18] reiterated that driving simulators could be effective for individuals with ABI to rehabilitate and assess driving ability. However, more studies confirming their effectiveness are still needed.
Given the lack of conclusive evidence and the need to better characterize the cognitive factors influencing driving performance after acquired brain injury, this study compared a group of post-ABI patients with a healthy control group using a custom-designed driving simulator, and in the control group, examined how cognitive and visuospatial abilities relate to specific aspects of simulated driving behavior. The research investigates the relationship between cognitive and visuospatial abilities and specific aspects of simulated driving behavior across tasks of varying complexity. By integrating neuropsychological assessment with quantitative simulator data, the study aims to identify which cognitive domains are most closely linked to safe and efficient vehicle operation. The findings aim to support the development of objective, technology-assisted approaches for evaluating and facilitating the return-to-driving process in individuals following acquired brain injury.

2. Materials and Methods

This study employed a comparative design with two analytical components: (1) a between-group comparison of simulator performance in individuals after ABI and controls, and (2) within-control-group models examining neuropsychological predictors of task-specific driving performance. The experimental protocol included a standardized neuropsychological test battery and a diagnostic session conducted in a custom-designed driving simulator (see Figure 1). The simulation consisted of a sequence of scenarios of increasing complexity, designed to assess vehicle control, reaction time, attention, and overall driving behavior in various traffic conditions.
The study protocol was approved by the Ethical Review Board of the Faculty of Biomedical Engineering, Czech Technical University in Prague (case ID: A9/2020). Prior to enrollment, all participants were informed about the research objectives and experimental procedures, and they provided written informed consent to participate in the study.

2.1. Experimental Group

All subjects (n = 30), aged 23 to 79 years, who possessed a valid driver’s license prior to their acquired brain injury (ABI), were recruited from the ERGO Aktiv neurorehabilitation centre in Prague, Czech Republic. Patients with spinal cord injuries requiring manual vehicle control were excluded for technical reasons. Participants were eligible for inclusion if they were able to perform active movement in at least one upper and one lower limb and could transfer independently, with supervision if necessary. Both patients with left-sided hemiparesis, who were able to use a manual transmission, and those with right-sided hemiparesis, who required an automatic transmission, were included in the study. Cognitive prerequisites included adequate reaction time and the ability to perform multitasking.
All participants were required to understand audio instructions provided by the simulator and to demonstrate an adequate sensory response, including good reaction to auditory stimuli and minimal visual field impairment. Individuals presenting with ataxia, severe apraxia, markedly impaired executive functions (such as deficits in planning, decision-making, initiation or termination of tasks, or organization), severely impaired attention, neglect syndrome, or impaired spatial orientation were excluded. Additional exclusion criteria comprised global aphasia and severe hemisensory or quadrisensory deficits up to anesthesia. Post-ABI patients who met these criteria were selected for the experimental group based on in-depth interviews. The characteristics of the final sample are presented in Table 1. Due to the limited sample size, current drivers and non-drivers were combined in subsequent analyses; future studies with larger samples should explicitly examine these subgroups.

2.2. Control Group

The control group consisted of 100 healthy volunteers recruited via convenience sampling at two locations. Data collection took place between May and October 2020 at two locations: the Faculty of Biomedical Engineering of the Czech Technical University in Prague (15 participants) and the INESAN research institute (85 participants). All participants possessed a valid driver’s license and provided written informed consent after being informed about the testing procedure and exclusion criteria, which included photosensitive epilepsy and other neurological disorders. The characteristics of the control sample, separated by gender, are presented in Table 2.
After signing the consent form, participants completed a questionnaire collecting basic demographic data and driving-related information, such as the length of license possession, average driving frequency, and self-assessed driving ability. They also filled in a short questionnaire assessing their current level of anxiety. Participants then completed a sequence of driving simulator tasks, including an introductory familiarization drive, a rural driving scenario, and an intersection right-of-way task. Six participants were unable to complete the session due to nausea, and their data were excluded from the analysis to avoid distortion of results. The final sample thus comprised 94 healthy individuals.

2.3. Neuropsychological Battery

Comprehensive screening of cognitive tests used for assessing driving abilities was conducted. The selection process considered tests commonly applied both in healthy driver populations and in individuals with medical conditions affecting cognitive or motor functioning, such as those after acquired brain injury. Particular attention was given to test batteries demonstrated in international studies to be reliable predictors of on-road driving performance. In the Czech context, the Trail Making Test (TMT-B) and the Stroop Test were identified as especially relevant.
Based on the expertise of a traffic psychologist (INESAN, Institute for Evaluation and Social Analyses) and a neurologist (ERGO Aktiv), four key domains were established for assessment: inhibition, attention, reaction time, and visual search. Selection criteria for the included methods emphasized administration time, feasibility, mode of administration, predictive validity for on-road performance, and applicability in individuals with ABI.
Consequently, the diagnostic simulator protocol incorporated a set of standardized neuropsychological tests selected in consultation with a traffic psychologist and a neurologist. The final battery included the Stroop Test [19], Trail Making Test [20,21], STAI X-1 scale [22], Money Road Map Test [23], and Symbol Coding subtest from the RBANS (Repeatable Battery for the Assessment of Neuropsychological Status) [24,25]. The neuropsychological tests were administered only in the control group in this study. This design decision was made to: (a) establish baseline cognitive-driving associations in a normative sample, (b) verify that the test battery was feasible and not overly fatiguing when combined with simulator assessment, and (c) pilot the assessment protocol before extending it to clinical populations. Consequently, all analyses examining relationships between cognitive performance and driving behavior are limited to the control group, and conclusions regarding cognitive predictors of driving in ABI remain indirect and should be interpreted with appropriate caution. Future research should directly assess neuropsychological function in ABI participants to validate whether the observed cognitive-driving relationships generalize to clinical populations.
The neuropsychological battery was administered prior to the simulator session and required approximately 25–30 min to complete. Administration times for individual tests were: Stroop Test (5 min), Trail Making Test Parts A and B (5 min combined), Symbol Coding subtest (2 min timed), Money Road Map Test (5–10 min depending on participant performance), and STAI X-1 (5 min). All tests were administered according to standardized protocols by trained research assistants.
The neuropsychological battery was selected based on established evidence linking specific cognitive domains to driving performance following acquired brain injury. The Trail Making Test (TMT; Parts A and B) was included due to its extensive validation in ABI populations and its sensitivity to deficits in visual search, working memory, mental flexibility, and divided attention, with TMT-B in particular demonstrating strong predictive validity for on-road driving outcomes and unsafe driving behavior [20,21,26,27,28]. The Stroop Test was used to assess selective attention and inhibitory control, cognitive functions that are frequently impaired after traumatic brain injury and have been shown to correlate with both driving errors and appropriate responses to unexpected driving events [19,29,30]. The Symbol Coding subtest of the RBANS provided a measure of processing speed and visual search, which are critical for responding effectively to rapidly changing traffic situations and have been consistently associated with driving performance and improvements following cognitive training interventions [31,32]. The Money Road Map Test was included to assess egocentric spatial orientation and mental rotation abilities, visuospatial skills implicated in route navigation and spatial decision-making during driving, with performance shown to differentiate between individuals who pass versus fail on-road driving evaluations [33]. Finally, the STAI X-1 was administered to assess state anxiety, as elevated anxiety may influence both neuropsychological test performance and simulator-based driving behavior [22].

2.4. Driving Simulator

For the simulation of driving with the possibility of processing simulator data, a custom-designed automotive simulator (see Figure 1) meeting the requirements according to the legislation of the Czech Republic was used. The simulator provides information about the state of the virtual environment, including a timestamp, allowing synchronization with other devices. Information about the vehicle includes its speed, position, and orientation in 3D space. All simulator-derived driving parameters are listed in Table A1.
The simulator software also recorded the subject’s behavior in a virtual environment, such as the position of pedals, steering wheel, handbrake, turn signals, and speed in gear. It also captured the activation of wipers, function buttons on the steering wheel, deviation from the ideal route, and reaction times. The deviation from the ideal route was determined by an algorithm based on a pre-programmed or recorded driving route of the car in the virtual environment. Reaction times were analyzed first using a special go/no-go test and then in the virtual world by measuring the subject’s reaction time to specific events. The output of the simulator is a CSV file with a record of the diagnostic run, which is available after the run is completed (i.e., only offline processing is possible).
In addition to driving-related parameters, the simulator is equipped with sensors capable of monitoring various biomedical signals, such as heart rate, respiration, bioimpedance, and eye-tracking data, allowing for the potential evaluation of stress, attention, and physiological responses during driving. Although these biomedical data were not analyzed in this study, their integration provides opportunities for future comprehensive assessment of driver behavior and state. In addition to their diagnostic purpose, these tests were included to explore whether prescreening cognitive measures could serve as predictors of simulator-based cognitive performance and overall driving simulation scores.

2.5. Diagnostic Simulation

Based on the assessment of the difficulty of the traffic situations by experts from the Prague Public Transit Company, the key traffic situations that were included in the ride were evaluated. The difficulty of the traffic situations was rated according to their level of cognitive load. Situations at the operational level of driving, i.e., situations without the presence of traffic and without the need to evaluate other circumstances, were evaluated as the least stressful. Such situations could be defined as, for example, driving on an empty surface without the possibility of collision with another vehicle or an external obstacle. As the number of factors to be monitored during driving increases, the cognitive demand increases. Since the aim of the ride is not to test the participant’s knowledge of traffic regulations, but their basic knowledge is a prerequisite for driving in a car, the following traffic regulations were selected after consultation and were also monitored during the ride:
  • Running red lights,
  • Ignoring the stop sign,
  • Crossing the full line,
  • Non-compliance with the speed limits,
  • Failure to yield right of way.
In addition, specific traffic situations were identified that would occur during the diagnostic simulation:
  • Driving in a parking lot, where the participant will learn the controls,
  • Driving on a highway/circuit road (wide road) without traffic,
  • Driving outside the village,
  • Driving in a village without traffic,
  • Driving in a village with traffic,
  • Crisis situations (inspired by research conducted by Ba et al. [34]).
For test management, a GUI application in MATLAB (version R2021b) was implemented to enable efficient setup of individual scenarios, activation/deactivation of applications for recording data from individual devices, recording of activity (subject identification, start/end time and date of the simulator, and other devices, a path to individual records) and analysis of simulator data depending on the selected scenario (e.g., maximum pedal presses, speed of responses to stimuli in the simulation, deviations from the ideal route). The total duration of the diagnostic simulation was approximately 45 min per participant. The course of the diagnostic run, along with the duration of each scenario, is shown in Figure 2.
During each diagnostic run in the simulator, each subject underwent a five-minute introduction session. In another so-called Pen and paper (5 min) part, the subjects completed a set of tests whose area was devoted to cognition and mood testing. The diagnostic simulation itself then began with a familiarisation session with the simulator, during which the subjects tried out the controls of the simulator and orientation in the virtual environment on the flat surface of the airport (5 min). In another short follow-up part (Simulator test (1 min)), reaction time and cognitive flexibility were tested by using go/no-go tests.
The Parking lot (5 min) was the first of the main scenarios that tested motor skills, including reaction time. The scenario involved driving in a car park (a large flat area with no restrictions) in which basic car control skills were assessed. During this ride, the subjects were given sequential tasks that addressed basic vehicle control and simple driving.
The next scenario, Highway/circuit (3 min) (wide road, two lanes, no traffic, milder curves, climbs, and descents), tested first the field of view and multitasking while driving straight. Then, the ability to maintain a constant speed and direction within a given route, where the subjects had to stay in their lane as accurately as possible. Following this scenario, the subjects were shown an instructional video with commentary (the need to stop at a stop sign or red light, obey the speed limit, right of way, full line, or other comments according to the specific scenarios), which served as preparation for the next parts.
Furthermore, a traffic-free run (Driving without traffic (5 min)) was conducted, which included the first set of evaluated traffic situations. Subjects were navigated while driving on a first no-go highway, then outside the village, and then in the village. Driving in the village included the traffic situations proposed by Ba et al. [34]. This was followed by the Vehicle following (3 min) part, in which the subjects had to first line up behind the correct colored car. During the course of this scenario, however, the conditions changed so that the subjects then had to follow the red car, for example. It was then possible to evaluate how far along they were, how quickly they were adapting to the new conditions, and how long it would take them to line up behind the specified car.
The last part of the simulation consisted of Driving in heavy traffic (3 min) and Crisis situation (5 min) scenarios, based on previous traffic situations but under denser traffic conditions with traffic dilemmas. The crisis situation scenario included three unexpected events during variable driving conditions: a pedestrian suddenly entering the roadway from behind a parked vehicle, an oncoming vehicle crossing the center line, and a lead vehicle performing emergency braking. These events were based on the framework proposed by Ba et al. [34] and were designed to assess reactive hazard avoidance and emergency decision-making under time pressure. Example views from the simulator are shown in Figure 3.

2.6. Simulation Scoring

Participants were evaluated in each of the core simulator tasks using a standardized scoring scale ranging from 0 to 100 points, where a score of 100 represented the best possible performance based on an ideal driving model. For each task, domain-specific composite scores were computed from a predefined set of simulator parameters (see Appendix A, Table A1).
Composite scores for each driving task were computed using weighted combinations of task-relevant parameters. The weighting scheme was developed in consultation with driving rehabilitation specialists and prioritized parameters reflecting safety-critical behaviors. Parameters contributing to each composite score are listed in Appendix A (Table A1), along with their theoretical minimum, maximum, and ideal values. The composite scoring algorithms are available from the corresponding author upon request.
In addition to the on-road simulation scenarios, participants completed a Go/No-go attention test, which was administered on the simulator’s computer screen rather than within the driving environment itself. This test assessed sustained attention and response inhibition by instructing participants to press a button on the steering wheel when the letter P appeared and to withhold a response when the letter R was displayed.
Performance on the simulator was assessed across the following domains: motor vehicle control, attention (Go/No-go), spatial attention (Neglect), rural driving, and city driving. The motor control domain evaluated parameters such as steering range, braking pressure, and the ability to achieve and maintain the target speed. The Neglect task assessed the participant’s capacity to detect and respond to visual stimuli appearing in the peripheral visual field during a simulated highway drive or reach and maintain a specific speed. The rural driving scenario primarily measured lane-keeping ability and adherence to traffic regulations, while the city driving scenario focused on compliance with right-of-way rules in a city environment (turning, driving straight, following cars appropriately). Each task generated a composite score that contributed to the participant’s overall driving performance index, enabling comparison both within and across participant groups. Although an overall driving performance index was computed for potential clinical use, the present analyses focused on task-specific scores to better characterize domain-specific impairments and cognitive predictors.

2.7. Statistical Analysis

All analyses were performed in R (version 4.5.1). Computed performance scores from the driving simulations were first transformed to a proportion scale to allow appropriate modeling of bounded data. Each score (0–100) was rescaled to the open interval ( 0 , 1 ) . Participant identifiers (ID), group membership (ParticipantType: Control or Patient), and task type (Task) were treated as categorical variables. Because the dependent variable was continuous and bounded between 0 and 1, a generalized linear mixed model (GLMM) with a beta distribution and logit link was used to account for the non-normal distribution and ceiling effects. Age and sex were not included as covariates in the between-group GLMM due to the limited sample size in the ABI group (n = 30), which would have compromised model stability and increased the risk of overfitting. This analytical decision implies that observed group differences may partly reflect demographic differences between groups rather than ABI-specific effects.
Pairwise correlations among cognitive test scores and simulator-based performance measures were examined using correlation coefficients, calculated with pairwise complete observations. Given the approximately linear relationships and the predominance of continuous measures, Pearson correlations were used; non-parametric (Spearman) correlations yielded similar patterns (results available upon request). To manage the number of pairwise tests, p-values were adjusted using the Benjamini–Hochberg FDR procedure. The resulting correlation matrix was visualized with color-coded values displayed in the upper triangle.
For each simulator task, a separate beta regression model was fitted, with the specific task performance score as the dependent variable and cognitive predictors as independent variables. The general model structure was:
Task Score j Stroop + Symbols + TMT + MoneyRoad + Age × Sex
This model was estimated independently for each driving scenario (control, gonogo, neglect, rural, turning, speed, straight, following, and parking) and only for control group. Furthermore, to evaluate group-level effects and interactions across all driving tasks, an additional generalized linear mixed-effects model (GLMM) was fitted using the combined dataset of control and patient participants. The model was specified as:
Task Score i j Group i × Task j + ( 1 | ID i ) ,
where the random intercept term ( 1 | ID ) accounted for repeated measures within participants across different tasks. Model estimation was conducted using the glmmTMB package. Model assumptions were examined both analytically and visually. Residual distributions, variance homogeneity, and influential observations were inspected using quantile–quantile plots and standardized residuals. Visual diagnostics confirmed approximate uniformity and absence of strong deviations from model assumptions. Model diagnostics were inspected using the performance package. Estimated marginal means (EMMs) and pairwise contrasts were computed using the emmeans package, with post-hoc pairwise comparisons between participant groups (Control vs. Patient) performed within each task.
For each measured driving parameter, the mean, standard deviation, and selected quantiles were computed separately for the control and experimental group. The normality of each parameter’s distribution within both groups was assessed using the Shapiro–Wilk test. For parameters that met the assumption of normality in both groups, Levene’s test was applied to verify the equality of variances. If both normality and homogeneity of variance were confirmed, group differences were evaluated using a two-sample independent t-test. In cases where either group violated the assumption of normality, differences between the control and experimental group were analyzed using the Wilcoxon rank-sum test. To account for the number of comparisons across parameters, p-values were adjusted using the Benjamini–Hochberg false discovery rate (FDR) correction. The level of significance was set at α < 0.05 .

3. Results

The results section presents the outcomes of the comparative analyses between the control and post-ABI groups, as well as the associations between cognitive performance and simulator-derived driving measures. Descriptive statistics are provided for all neuropsychological tests and driving task scores, followed by model-based analyses examining the relationships among cognitive domains, demographic variables, and driving performance across different simulation scenarios. The findings highlight both group-level differences and task-specific patterns of performance, offering insight into how cognitive abilities contribute to driving behavior under varying levels of cognitive demand.

3.1. Associations Between Cognitive Performance and Driving Behavior

Bivariate correlations between cognitive test performance and simulator-derived driving outcomes in the control group are summarized in Table 3 and visualized in Figure 4. In general, better scores on measures of attention, processing speed, and executive control were moderately associated with better performance in more demanding driving tasks, whereas slower or less efficient cognitive performance tended to co-occur with less stable vehicle control and less adaptive driving behavior.
Processing speed and selective attention showed the most consistent relationships with simulator outcomes. Faster processing speed on the Trail Making Test Part A (TMT A; lower completion time indicates better performance) was associated with better lane-keeping and speed maintenance on the highway (speed task; r = 0.35 , p < 0.001 ) and with better following behavior (following task; r = 0.26 , p = 0.025 ). Higher accuracy on the Color–Word interference condition of the Stroop test (Stroop BS) was positively correlated with several aspects of simulated driving performance, such as vehicle following ( r = 0.29 , p = 0.015 ) and city turning/right-of-way decisions (turning task; r = 0.18 , p = 0.089 ). Although not all Stroop–driving associations reached conventional significance after correction, the direction of effects suggests that participants with stronger interference control and inhibition tended to perform better in dynamic city traffic situations where rule compliance and rapid prioritization are required.
The sustained attention and response inhibition task administered in the simulator (gonogo) showed small-to-moderate negative associations with Stroop S ( r = 0.24 , p = 0.018 ) and generally weak associations with the other neuropsychological measures ( | r | < 0.20 , p > 0.05 for most pairs; see Figure 4). By contrast, performance in the visuospatial neglect scenario (neglect, which required lateral stimulus detection while driving) was more strongly linked to spatial orientation and navigation skills than to classic processing-speed measures. Specifically, poorer visuospatial orientation (longer Money Road Map completion time) was associated with worse peripheral detection during simulated highway driving ( r = 0.22 , p = 0.036 ). This suggests that hazard monitoring in the periphery may depend more on spatial scanning and situational awareness than on general psychomotor speed.
Highway speed control (speed) and vehicle following (following), two tasks that tax continuous monitoring, adaptive control, and divided attention, showed the clearest cognitive signatures. Better highway speed maintenance was associated with better selective attention (Stroop S; r = 0.33 , p = 0.0014 ), faster visual scanning/psychomotor speed (Symbols; r = 0.34 , p < 0.001 ), and faster basic processing speed (lower TMT A time; r = 0.35 , p < 0.001 ). Speed maintenance was also moderately related to better spatial orientation on the Money Road Map task, scored for correct orientation (Money Road SO; r = 0.35 , p < 0.001 ). In parallel, following performance was positively associated with Stroop S ( r = 0.28 , p = 0.018 ) and Stroop BS ( r = 0.29 , p = 0.015 ), and negatively associated with Money Road Map time ( r = 0.42 , p < 0.001 ). Participants who had difficulty maintaining a safe headway to a lead vehicle also tended to show weaker route planning and spatial navigation abilities. These patterns are illustrated in Figure 5A–C, where better attention/processing-speed scores predict higher task performance on speed maintenance, rural driving, and parking.
Parking accuracy (parking) also showed a notable association with spatial navigation skill: slower Money Road Map performance (longer completion time) predicted poorer parking performance ( r = 0.30 , p = 0.0038 ). This supports the interpretation that controlled low-speed maneuvers (braking, orienting, aligning the vehicle) draw on egocentric spatial updating and planning, not just reaction time.
By contrast, the basic vehicle-control familiarization task (control), the intersection straight scenario, and the city turning/right-of-way scenario (turning) showed only weak or nonsignificant zero-order associations with most cognitive tests (generally | r | < 0.20 , p > 0.05 ). This suggests that early, lower-complexity segments of the simulation (e.g., initial motor handling, simple intersection clearance) may not be strongly limited by attention or executive control in a neurologically healthy sample.
To further assess predictive value, we fit separate beta regression models for each simulator task score using cognitive test performance plus demographic covariates (age, sex, and their interaction) as predictors. Representative partial effects are visualized in Figure 5. For highway speed maintenance, higher Stroop S scores significantly predicted better task performance ( β = 0.013 , z = 3.41 , p < 0.001 ), while slower set-shifting/working memory (higher TMT B time) predicted poorer performance ( β = 0.0029 , z = 2.16 , p = 0.031 ). Better spatial orientation (Money Road SO) was also associated with better speed control ( β = 0.020 , z = 2.15 , p = 0.032 ). Age and sex were meaningful covariates: increasing age was linked to lower speed-control scores ( β = 0.0198 , z = 2.96 , p = 0.003 ), and males scored lower than females on average ( β = 0.597 , z = 2.05 , p = 0.041 ), but this difference narrowed (and partially reversed) with age, as indicated by a significant age × sex interaction ( β = 0.021 , z = 2.82 , p = 0.0049 ). A similar interaction pattern emerged in several other tasks (e.g., rural driving and parking), where younger males tended to underperform relative to females, whereas performance differences diminished or inverted with increasing age (Figure 5D–F). To check for multicollinearity among cognitive predictors, variance inflation factors (VIFs) were computed and remained below 3, indicating acceptable levels. Given the modest sample size, coefficients should be interpreted cautiously and considered as preliminary rather than definitive estimates.
In the rural driving model (lane keeping and rule compliance outside dense traffic), older age was associated with poorer performance ( β = 0.0517 , z = 2.81 , p = 0.0049 ), and males again performed worse than females on average ( β = 1.98 , z = 2.41 , p = 0.0158 ), but the age × sex interaction was positive and significant ( β = 0.0596 , z = 2.83 , p = 0.0046 ). Importantly, slower basic processing speed (higher TMT A time) predicted worse rural driving ( β = 0.0339 , z = 2.36 , p = 0.018 ), consistent with the zero-order associations between lane keeping and psychomotor speed reported above. Although the coefficient for TMT-A is positive on the logit scale of the beta-regression, model-predicted mean performance decreases across the observed range of TMT-A values, consistent with the zero-order correlations reported earlier.
Following behavior in traffic (following model) also showed selective cognitive influences: better Stroop S performance predicted safer following distance ( β = 0.040 , z = 2.50 , p = 0.0125 ), whereas poorer basic color-naming/attention (Stroop B; β = 0.070 , z = 2.46 , p = 0.0140 ) and a trend-level effect of interference control (Stroop BS; β = 0.046 , z = 1.81 , p = 0.071 ) suggested that divided attention and rapid stimulus discrimination are critical when adapting to a changing lead vehicle.
Finally, precise low-speed maneuvering during parking was best explained by spatial navigation skill: longer Money Road Map completion time significantly predicted poorer parking scores ( β = 0.0093 , z = 2.78 , p = 0.0055 ). An age × sex interaction was also present in this model ( β = 0.0567 , z = 2.28 , p = 0.0229 ), indicating sex-related differences in how age relates to fine motor/spatial vehicle handling.
In contrast, the regression models for control, straight, and turning did not identify any single cognitive predictor that reached significance (all p > 0.05 ), consistent with the weak simple correlations noted earlier. The Go/No-Go attention task score was also not robustly predicted by the neuropsychological battery once covariates were included. These findings indicate that continuous, cognitively loaded driving behaviors, such as maintaining target speed, staying in lane in rural driving, adapting headway to a lead car, and controlled parking, are systematically related to individual differences in attention, processing speed, and spatial navigation; and age and sex moderate performance in a task-specific manner, rather than uniformly degrading or improving driving ability. The overall correlational structure between cognitive tests and simulator-derived metrics is shown in Figure 4, descriptive summary statistics of the included neuropsychological measures are reported in Table 3, and representative model-based partial effects of cognitive and demographic predictors are visualized in Figure 5.

3.2. Driving Performance Across Simulator Tasks

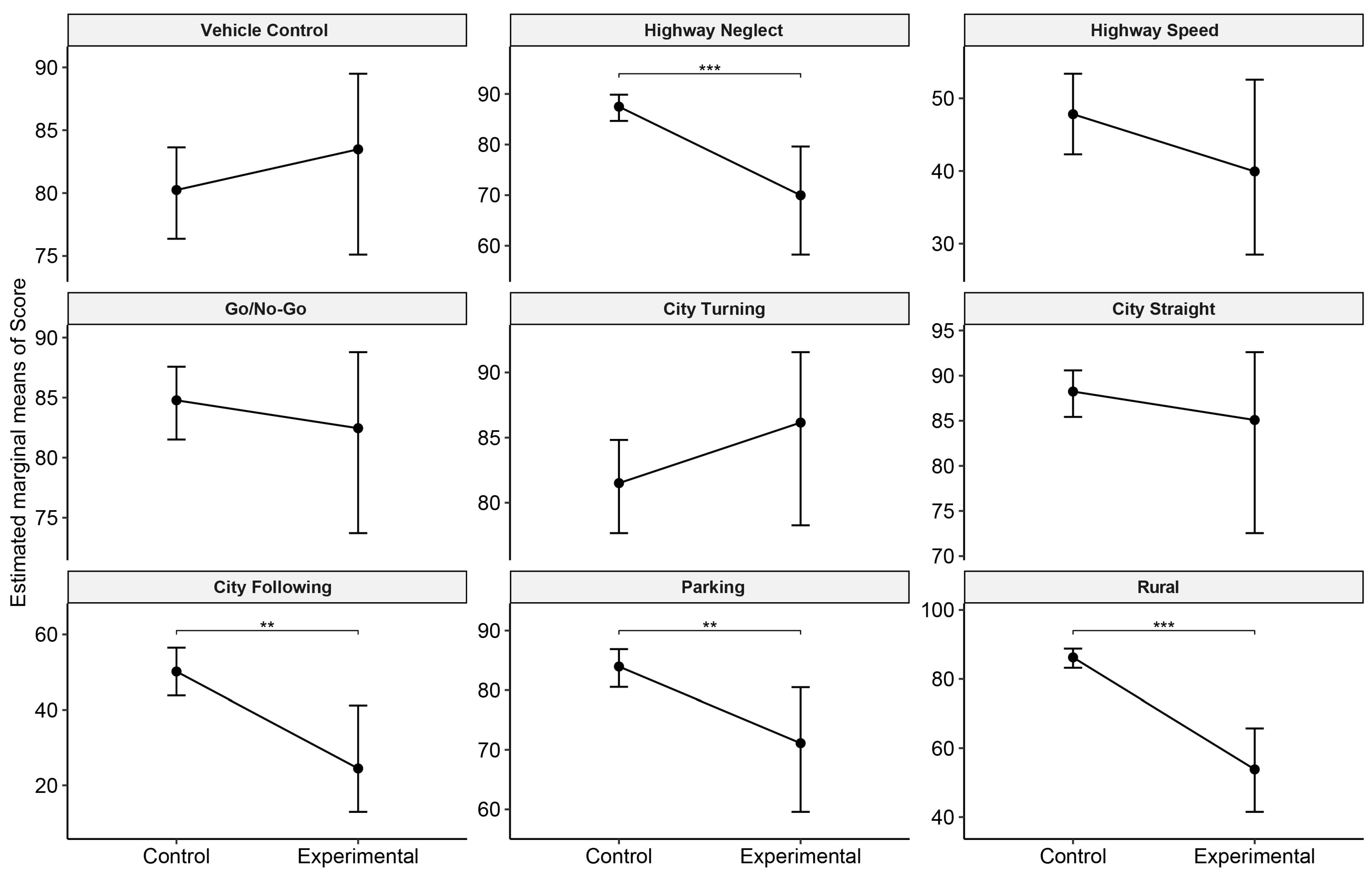
To compare driving performance between participants with acquired brain injury and controls across the nine simulated driving tasks, a generalized linear mixed model with a beta distribution and logit link was fitted. Mean task performance M and model-estimated marginal means M ˆ are reported throughout. The model included fixed effects for Participant Type (Experimental vs. Control), Task, and their interaction, with random intercepts for participant ID to account for repeated measures.
Significant main effects of Task confirmed that task difficulty and performance levels varied substantially across simulation contexts (p < 0.001 for most pairwise task contrasts). As shown in Table 4 and Figure 6, mean performance among control participants was highest in the city “straight” intersection ( M = 0.879 , 95% CI [0.851, 0.902]) and highway neglect scenarios ( M = 0.871 , 95% CI [0.843, 0.895]), while the most demanding tasks were the highway speed maintenance ( M = 0.478 , 95% CI [0.424, 0.534]) and city following tasks ( M = 0.501 , 95% CI [0.439, 0.564]).
A significant Participant Type × Task interaction (p < 0.001) indicated that group differences were strongly task-dependent. The largest performance gaps were observed in the rural, highway neglect, and following tasks, all requiring continuous monitoring, attention shifting, and adaptive control. Specifically, compared with controls, participants with ABI performed markedly worse in:
  • Rural driving: M ˆ C o n t r o l = 0.859 [0.829, 0.884] vs. M ˆ E x p e r i m e n t a l = 0.538 [0.416, 0.656]; z = 5.99 , p < 0.0001.
  • Highway neglect: M ˆ C o n t r o l = 0.871 [0.843, 0.895] vs. M ˆ E x p e r i m e n t a l = 0.698 [0.582, 0.793]; z = 3.82 , p = 0.0001.
  • City following: M ˆ C o n t r o l = 0.501 [0.439, 0.564] vs. M ˆ E x p e r i m e n t a l = 0.247 [0.133, 0.413]; z = 2.74 , p = 0.0062.
  • Parking: M ˆ C o n t r o l = 0.836 [0.803, 0.865] vs. M ˆ E x p e r i m e n t a l = 0.709 [0.595, 0.802]; z = 2.63 , p = 0.0087.
In contrast, the Go/No-Go composite score showed no significant group difference (p = 0.554). However, parameter-level analyses (Section 3.3) revealed that ABI participants had significantly slower response times (p = 0.0016) and lower accuracy ( p < 0.001 ), suggesting a speed-accuracy tradeoff that obscured meaningful deficits within the composite index.
Overall, these results indicate that ABI-related impairments become most apparent in tasks requiring sustained attention, visuospatial monitoring, and complex motor planning under continuous environmental change (e.g., highway and rural conditions). As illustrated in Figure 6, the pattern of reduced performance in the Experimental group was most pronounced for the rural, neglect, following, and parking tasks, with performance approaching control levels in simpler or highly familiar contexts. The GLMM and post-hoc comparisons reveal a differentiated profile of driving impairment after acquired brain injury: while basic operational control remains intact, performance in attentionally and spatially complex scenarios is significantly compromised, suggesting selective deficits in higher-order cognitive control processes that support real-world driving.

3.3. Group Comparisons in Simulator-Derived Driving Measures

To complement the composite task-level performance analyses presented above, we compared individual simulator-derived driving parameters between the Experimental and Control groups across all simulation tasks. Results for parameters showing statistically significant between-group differences are summarized in Table 5. Mean values ( M ± S D ) are reported for each group, and the Direction column indicates which group achieved a higher mean score (C ↑ for higher Control values, E ↑ for higher Experimental values). Only parameters showing significant between-group differences are reported; a full overview of all simulator-derived metrics is provided in Table A1.
Consistent with the GLMM results (Section 3.2), the Experimental group exhibited significantly poorer driving performance in several key behavioral domains, particularly those requiring continuous monitoring, response inhibition, and spatial precision. In vehicle control, maximum speed was lower in the ABI group (p = 0.0018), suggesting cautious driving. The Go/No-Go task revealed that controls had higher response rates and accuracy ( p < 0.001 ), while ABI participants showed longer response times (p = 0.0016), indicating slower inhibitory control.
During highway driving, the ABI group showed reduced speeds and pronounced deficits in peripheral detection (left: 0.63 vs. 0.94; right: 0.75 vs. 0.93; all p < 0.001). In rural driving, they showed fewer completed drives, greater trajectory deviations, and reduced lane-keeping (all p < 0.001). City turning revealed greater distances maintained from pedestrians and vehicles (p < 0.01), while parking showed reduced right-turn completion (p = 0.009).
The parameter-level analyses confirm and expand upon the task-level findings: drivers with acquired brain injury demonstrated a pattern of slower responses, reduced accuracy, and increased variability across tasks involving divided attention, visuospatial awareness, and precision motor control. Controls consistently achieved higher performance on metrics requiring sustained attention and visuomotor coordination.

4. Discussion

This study demonstrates that attention, executive function, processing speed, and visuospatial ability predict simulated driving performance, consistent with prior research [35,36,37,38]. Executive functions measured by the Trail Making Test were associated with lane-keeping and reaction times [39,40], while processing speed (Symbol Coding) and attentional control correlated with hazard detection and braking responses [35,41,42]. These findings support the use of neuropsychological tests for screening driving readiness after ABI [43,44].
Our results provide preliminary support for the potential ecological validity of simulator-based driving assessments, though direct on-road validation remains necessary to confirm real-world generalizability. Our findings align with previous research indicating strong concurrent validity between simulator-based and on-road assessments [45,46,47]. Although on-road evaluations were not conducted in the present study, the observed pattern of deficits in dynamic, attentionally demanding scenarios (e.g., rural driving, highway neglect) is consistent with real-world driving challenges reported in post-ABI populations. However, consistent with the caveats noted by Piersma et al. [48], reliance solely on simulators risks overlooking context-dependent behaviors observed in naturalistic settings. The combination of neuropsychological data with simulator-derived metrics, an approach also endorsed by Kotterba et al. [49] and Dimech-Betancourt et al. [50], enhanced model accuracy and interpretability, suggesting that hybrid assessment frameworks may represent best practice for determining fitness to drive.
From a methodological standpoint, the use of beta regression proved particularly advantageous for analyzing bounded driving metrics (e.g., proportion of lane-keeping or successful maneuvering), aligning with its recognized suitability for proportion-based outcomes [51]. Mixed-model frameworks further captured individual variability across repeated trials, complementing prior applications in stroke populations [52]. This dual modeling approach enhances statistical analysis while accommodating both inter- and intra-individual differences, critical when dealing with heterogeneous cognitive recovery profiles.
An important methodological consideration emerging from our findings is the potential for composite scores to mask underlying cognitive deficits. While the composite Go/No-Go score suggested equivalent performance between groups, decomposition into constituent parameters revealed significant impairments in both speed and accuracy among ABI participants. This pattern is consistent with prior observations that aggregate indices may obscure dissociable deficit profiles [53,54]. Future assessment protocols should therefore incorporate both summary metrics for clinical efficiency and parameter-level analyses for diagnostic precision.
The data highlight that slowed reaction time and increased performance variability were consistent markers of reduced driving safety among stroke and TBI participants. These findings echo prior evidence linking cognitive deficits in attention and processing speed with delayed braking and hazard detection [55,56]. Moreover, the observed discrepancy between self-reported and actual driving abilities aligns with earlier reports of overestimation among neurologically impaired drivers [57,58]. Variability in reaction time thus emerges as an important computational signal, potentially enabling predictive analytics for identifying at-risk drivers [59].
In terms of visuomotor integration, impaired coordination between visual processing and motor execution was found to compromise speed regulation and trajectory control, consistent with the neural mechanisms described by Hadi Hosseini et al. [60] and Valtr et al. [61]. Training protocols targeting visuomotor adaptation have demonstrated measurable gains in simulator performance [62], suggesting that incorporating such tasks into rehabilitation programs could yield tangible benefits for post-injury driving rehabilitation.
The study’s findings reinforce the clinical significance of cognitive rehabilitation for enhancing driving readiness post-ABI. Consistent with Ettenhofer et al. [63] and Lakicevic et al. [64], immersive simulator- or VR-based interventions offer safe and effective means for cognitive training, improving both executive function and confidence to resume driving. Structured programs emphasizing attention, visuospatial awareness, and processing speed are especially valuable, as these domains directly correspond to core driving competencies [65,66]. Moreover, incorporating mixed-model analytics into rehabilitation research could support adaptive learning paradigms by dynamically adjusting task difficulty based on performance variability. From a cognitive computing perspective, the present work illustrates how high-dimensional simulator data can be integrated with neuropsychological measures using beta regression and mixed-effects modeling. This framework can be extended to larger datasets and machine-learning pipelines to enable individualized risk prediction and adaptive rehabilitation protocols. Such approaches align with the broader trend toward data-driven personalization and closed-loop cognitive training systems [67]. Importantly, multidisciplinary engagement, including occupational therapists and neuropsychologists, remains critical for translating simulation-based insights into real-world driving outcomes [68,69].
Several limitations should be considered when interpreting these findings. The relatively small ABI sample (n = 30) may have limited statistical power to detect subtle group differences, which restricts the generalizability of the findings. Accordingly, effect sizes for non-significant comparisons should be interpreted with caution, as some may reflect Type II errors rather than true null effects. Additionally, the ABI group comprised both current drivers (n = 11) and non-drivers (n = 19), who may differ systematically in terms of injury severity, functional recovery, or self-selection factors; combining these subgroups may have obscured clinically meaningful heterogeneity. Although preliminary exploratory analyses did not reveal statistically significant differences in simulator performance between drivers and non-drivers, the small subgroup sizes preclude definitive conclusions. Future studies with larger samples should explicitly examine whether driving status moderates simulator performance and its cognitive predictors. Furthermore, the absence of on-road validation limits conclusions regarding the ecological validity and real-world predictive value of simulator-based assessments, as the extent to which simulator performance maps onto naturalistic driving behavior remains to be established. Also, age and sex were not controlled for in group comparisons due to sample size constraints, and given that these variables showed significant effects in control-group analyses, observed ABI–control differences may be partially confounded by demographic factors.
A key limitation of this study is that neuropsychological testing was conducted only in the control group, precluding direct assessment of cognitive-driving relationships within the ABI sample. While the observed associations in controls provide a theoretical basis for understanding driving-relevant cognitive processes, extrapolation to ABI populations requires empirical confirmation. The cognitive profiles underlying impaired simulator performance in participants with ABI remain to be characterized in future research.
Balancing safety and autonomy remains a central ethical challenge in post-ABI driving evaluation. Consistent with Erler et al. [70] and McKerral et al. [71], informed consent and shared decision-making should guide rehabilitation planning, ensuring transparency regarding cognitive limitations and risk. Continuous post-licensure monitoring and periodic reassessments, as recommended by Stack et al. [72] and Alhashmi et al. [11], are essential for sustaining both personal and public safety. These considerations underscore the importance of integrating cognitive analytics within ethical and regulatory frameworks governing driving resumption.
While simulator data provide rich insights, real-world validation remains a challenge. Future work should expand on multi-modal modeling by integrating physiological data (e.g., eye-tracking, EEG, ECG) with cognitive performance measures to improve predictive validity [73]. Expanding datasets through cross-site collaborations could further support the development of machine learning models capable of real-time driving risk prediction, advancing the integration of cognitive computing in rehabilitation and transport safety research.

5. Conclusions

This study demonstrates significant differences in driving simulator performance between individuals with ABI and controls, with the greatest deficits in tasks requiring sustained attention, visuospatial monitoring, and adaptive control. Within the control group, neuropsychological tests of executive function, attention, and processing speed reliably predicted simulator performance, supporting their validity as screening tools for driving readiness.
The findings suggest that driving simulators may complement comprehensive driving assessments; however, on-road validation is necessary to confirm their real-world generalizability. The dual modeling approach (fixed and random effects) captured inter-individual variability critical for heterogeneous neurological populations. From a translational perspective, these results highlight the potential for personalized cognitive rehabilitation using simulation platforms that adapt to individual performance profiles.
Future research should incorporate multimodal data (eye-tracking, EEG, telematics) and machine learning approaches to enhance predictive accuracy and enable real-time cognitive monitoring. This work contributes to bridging cognitive science, computational modeling, and rehabilitation technology to promote safer reintegration for individuals recovering from brain injury.

Author Contributions

Conceptualization, M.S., P.V., J.H. and J.R.; methodology, M.S., P.V., J.H. and J.R.; software, J.H.; validation, M.S., P.V. and J.R.; formal analysis, M.S. and P.V.; investigation, M.S., J.H. and J.R.; resources, P.V., J.H., L.L. and P.K.; data curation, M.S., P.V. and J.H.; writing—original draft preparation, M.S., P.V. and J.R.; writing—review and editing, M.S., P.V., J.H. and J.R.; visualization, M.S. and L.L.; supervision, P.K.; project administration, P.K.; funding acquisition, P.K. All authors have read and agreed to the published version of the manuscript.

Funding

This research was supported by the project “Monitoring biomedical data of members of security forces and armed forces in protective equipment with regard to effective management of CBRN emergency response” (project no. SGS25/077/OHK5/1T/17), funded by the Student Grant Competition of CTU. The funders had no role in the design of the study; in the collection, analyses, or interpretation of data; in the writing of the manuscript; or in the decision to publish the results.

Institutional Review Board Statement

The study was conducted in accordance with the Declaration of Helsinki and approved by the Ethics Committee of the Faculty of Biomedical Engineering, Czech Technical University in Prague (case ID: A9/2020).

Informed Consent Statement

Informed consent was obtained from all subjects involved in the study.

Data Availability Statement

The datasets used and analyzed in this study are not publicly available due to confidentiality and privacy considerations. The data contains sensitive clinical and personal information that could compromise participant privacy if shared. In accordance with ethical and institutional guidelines, the datasets cannot be made publicly available. Requests for access to the data may be directed to the corresponding author.

Acknowledgments

The authors also gratefully acknowledge the cooperation of ERGO Aktiv, a neurorehabilitation centre for individuals with acquired brain injury, whose expertise and institutional support contributed to the applied aspects of this study.

Conflicts of Interest

The authors declare no conflicts of interest.

Abbreviations

The following abbreviations are used in this manuscript:
ABIAcquired Brain Injury
TBITraumatic Brain Injury
VRVirtual Reality
GLMMGeneralized Linear Mixed Model
EMMEstimated Marginal Mean
FDRFalse Discovery Rate
TMTTrail Making Test
STAIState–Trait Anxiety Inventory
RBANSRepeatable Battery for the Assessment of Neuropsychological Status
SDStandard Deviation
CIConfidence Interval
CTUCzech Technical University
ERGO AktivNeurorehabilitation Centre ERGO Aktiv (Prague, Czech Republic)
INESANInstitute for Evaluation and Social Analyses (Prague, Czech Republic)

Appendix A

Table A1. Overview of simulator-derived driving parameters.
Table A1. Overview of simulator-derived driving parameters.
ScenarioVariable NameParameter DescriptionUnitMinMaxIdeal
ControlAccMinAccelerator—minimum value0.01000.00.0
ControlAccMaxAccelerator—maximum value0.01000.01000.0
ControlBrkMinBrake—minimum value0.01000.00.0
ControlBrkMaxBrake—maximum value0.01000.01000.0
ControlCltMinClutch—minimum value0.01000.00.0
ControlCltMaxClutch—maximum value0.01000.01000.0
ControlWheelMinSteering wheel—minimum angle−1000.01000.0−1000.0
ControlWheelMaxSteering wheel—maximum angle−1000.01000.01000.0
ControlWheelRangeSteering wheel—range of motion0.02000.02000.0
ControlSpeedMinSpeed—minimum0.0
ControlSpeedMaxSpeed—maximum0.0
ControlCircleBtnRound button pressed (yes/no)bool0.01.01.0
Go/No-GoPEventCountNumber of “P” events presented120.0120.0120.0
Go/No-GoPEventResponsesCountNumber of responses to “P” events0.0120.0120.0
Go/No-GoPEventRatioResponse ratio to “P” events0.01.01.0
Go/No-GoPEventMeanResponseTimeMean response time to “P” eventsms0.0
Go/No-GoPEventCorrectRatioProportion of correct responses to “P” events0.01.01.0
Go/No-GoREventCountNumber of “R” events presented30.030.030.0
Go/No-GoREventResponsesCountNumber of responses to “R” events0.030.00.0
Go/No-GoREventRatioResponse ratio to “R” events0.01.00.0
Go/No-GoREventMeanResponseTimeMean response time to “R” eventsms0.0
Go/No-GoREventCorrectRatioProportion of correct responses to “R” events0.01.00.0
ParkingDrivingSpeedAchievedTarget speed of 57 km/h reachedbool0.01.01.0
ParkingTurnedLeftTurned left at speedbool0.01.01.0
ParkingTurnedRightThen turned right at speedbool0.01.01.0
ParkingCarStoppedVehicle stopped after target speed was reachedbool0.01.01.0
ParkingMaxSpeedMaximum speedkm/h0.0
HighwayRecordLengthReducedCounted/analyzed driving durationms0.0
HighwaySpeedMeanMean speedkm/h0.0
HighwaySpeedMedMedian speedkm/h0.0
HighwaySpeedMaxMaximum speedkm/h0.0
HighwaySpeedStdStandard deviation of speedkm/h0.0
NeglectLNeglectCountLeft-side events presented0.0
NeglectLNeglectResponsesCountResponses to left-side events0.0
NeglectLNeglectResponseRatioResponse ratio (left side)0.01.01.0
NeglectLNeglectMeanResponseTimeMean response time (left side)ms0.0
NeglectRNeglectCountRight-side events presented0.0
NeglectRNeglectResponsesCountResponses to right-side events0.0
NeglectRNeglectResponseRatioResponse ratio (right side)0.01.01.0
NeglectRNeglectMeanResponseTimeMean response time (right side)ms0.0
NeglectRecordLengthReducedCounted/analyzed driving durationms0.0
NeglectSpeedMeanMean speedkm/h0.0
NeglectSpeedMedMedian speedkm/h0.0
NeglectSpeedMaxMaximum speedkm/h0.0
NeglectSpeedStdStandard deviation of speedkm/h0.0
RuralRecordLengthReducedCounted/analyzed driving durationms0.0
RuralDriveFinishedDrive completed (yes/no)bool0.01.01.0
RuralIdealMeanDevMean deviation from ideal lane trajectorym0.00.0
RuralIdealStdDevStandard deviation of deviation from ideal lane trajectorym0.00.0
RuralIdealRatioProportion of distance with deviation < 2 m from ideal line0.01.01.0
RuralDeviationCountNumber of deviations > 2 m from the ideal line0.00.0
TurningCar1PreferredRight-of-way yielded to vehicle 1bool0.01.01.0
TurningCar1MinDistMinimum distance to vehicle 1m0.0
TurningWalkerPreferredRight-of-way yielded to pedestrianbool0.01.01.0
TurningWalkerMinDistMinimum distance to pedestrianm0.0
TurningCar2PreffedRight-of-way yielded to vehicle 2bool0.01.01.0
TurningCar2MinDistMinimum distance to vehicle 2m0.0
TurningCar3PreffedRight-of-way yielded to vehicle 3bool0.01.01.0
TurningCar3MinDistMinimum distance to vehicle 3m0.0
TurningPreferenceRationRatio of correct right-of-way decisions0.01.01.0
StraightCrossing1RightCorrectly cleared intersection 1bool0.01.01.0
StraightCrossing2RightCorrectly cleared intersection 2bool0.01.01.0
StraightCrossing3RightCorrectly cleared intersection 3bool0.01.01.0
StraightRightCrossingRatioProportion of correctly cleared intersections0.01.01.0
FollowingFollowedCarDistMeanMean headway distance to lead vehiclem0.0
FollowingFollowedCarDistMedMedian headway distance to lead vehiclem0.0
FollowingFollowedCarDistMinMinimum headway distance to lead vehiclem0.0
FollowingFollowedCarDistMaxMaximum headway distance to lead vehiclem0.0
FollowingFollowedCarDistStdStandard deviation of headway distancem0.0
FollowingSpeedMeanMean speedkm/h0.0
FollowingSpeedMedMedian speedkm/h0.0
FollowingSpeedMaxMaximum speedkm/h0.0
FollowingSpeedStdStandard deviation of speedkm/h0.0
FollowingCarFollowedTarget vehicle successfully followed for the full segmentbool0.01.01.0

References

  1. Greenwald, B.; Burnett, D.; Miller, M. Congenital and acquired brain injury. 1. Brain Injury: Epidemiology and pathophysiology. Arch. Phys. Med. Rehabil. 2003, 84, S3–S7. [Google Scholar] [CrossRef] [PubMed]
  2. National Institute of Neurological Disorders and Stroke. Brain Basics: Preventing Stroke. 2009. Available online: https://www.ninds.nih.gov/health-information/public-education/brain-basics/brain-basics-preventing-stroke (accessed on 21 August 2025).
  3. Alia, C.; Spalletti, C.; Lai, S.; Panarese, A.; Lamola, G.; Bertolucci, F.; Vallone, F.; Di Garbo, A.; Chisari, C.; Micera, S.; et al. Neuroplastic Changes Following Brain Ischemia and their Contribution to Stroke Recovery: Novel Approaches in Neurorehabilitation. Front. Cell. Neurosci. 2017, 11, 76. [Google Scholar] [CrossRef]
  4. Rapport, L.; Bryer, R.; Hanks, R. Driving and Community Integration After Traumatic Brain Injury. Arch. Phys. Med. Rehabil. 2008, 89, 922–930. [Google Scholar] [CrossRef] [PubMed]
  5. Novack, T.A.; Zhang, Y.; Kennedy, R.; Rapport, L.J.; Watanabe, T.K.; Monden, K.R.; Dreer, L.E.; Bergquist, T.; Bombardier, C.; Brunner, R.; et al. Return to Driving After Moderate-to-Severe Traumatic Brain Injury: A Traumatic Brain Injury Model System Study. Arch. Phys. Med. Rehabil. 2021, 102, 1568–1575. [Google Scholar] [CrossRef]
  6. Novack, T.A.; Zhang, Y.; Kennedy, R.; Marwitz, J.; Rapport, L.J.; Mahoney, E.; Bergquist, T.; Bombardier, C.; Tefertiller, C.; Walker, W.; et al. Return to Driving Following Moderate-to-Severe Traumatic Brain Injury: A TBI Model System Longitudinal Investigation. J. Head Trauma Rehabil. 2024, 40, 193–202. [Google Scholar] [CrossRef]
  7. Kreutzer, J.; Marwitz, J.; Walker, W.; Sander, A.; Sherer, M.; Bogner, J.; Fraser, R.; Bushnik, T. Moderating Factors in Return to Work and Job Stability After Traumatic Brain Injury. J. Head Trauma Rehabil. 2003, 18, 128–138. [Google Scholar] [CrossRef]
  8. Rubin, G.; Bandeen-Roche, K.; Keyl, P.; Freeman, E.; West, S. A Prospective, Population-Based Study of the Role of Visual Impairment in Motor Vehicle Crashes among Older Drivers: The SEE Study. Investig. Ophthalmol. Vis. Sci. 2007, 48, 1483–1491. [Google Scholar] [CrossRef] [PubMed]
  9. Lodha, N.; Patel, P.; Casamento-Moran, A.; Christou, E.A. Motor Training After Stroke: A Novel Approach for Driving Rehabilitation. Front. Neurol. 2022, 13, 752880. [Google Scholar] [CrossRef]
  10. Bassingthwaighte, L.; Gustafsson, L.; Molineux, M. On-road driving remediation following acquired brain injury: A scoping review. Brain Inj. 2022, 36, 239–250. [Google Scholar] [CrossRef]
  11. Alhashmi, D.; Lalor, A.; Fossey, E. Methods to evaluate driving competence for people with acquired brain injury (ABI): A systematic review. Front. Rehabil. Sci. 2023, 3, 1020420. [Google Scholar] [CrossRef]
  12. Beaulieu-Bonneau, S.; Fortier-Brochu, É.; Ivers, H.; Morin, C. Attention following traumatic brain injury: Neuropsychological and driving simulator data, and association with sleep, sleepiness, and fatigue. Neuropsychol. Rehabil. 2015, 27, 216–238. [Google Scholar] [CrossRef]
  13. Cyr, A.A.; Stinchcombe, A.; Gagnon, S.; Marshall, S.; Hing, M.; Finestone, H. Driving difficulties of brain-injured drivers in reaction to high-crash-risk simulated road events: A question of impaired divided attention? J. Clin. Exp. Neuropsychol. 2008, 31, 472–482. [Google Scholar] [CrossRef]
  14. Mani, R.; Asper, L.; Khuu, S. Deficits in saccades and smooth-pursuit eye movements in adults with traumatic brain injury: A systematic review and meta-analysis. Brain Inj. 2018, 32, 1315–1336. [Google Scholar] [CrossRef]
  15. Hargrave, D.; Nupp, J.; Erickson, R. Two brief measures of executive function in the prediction of driving ability after acquired brain injury. Neuropsychol. Rehabil. 2012, 22, 489–500. [Google Scholar] [CrossRef] [PubMed]
  16. Vickers, K.; Schultheis, M.; Manning, K. Driving after brain injury: Does dual-task modality matter? NeuroRehabilitation 2018, 42, 213–222. [Google Scholar] [CrossRef] [PubMed]
  17. Ouellette, D.S.; Kaplan, S.; Rosario, E.R. Back on the Road: Comparing Cognitive Assessments to Driving Simulators in Moderate to Severe Traumatic Brain Injuries. Brain Sci. 2022, 13, 54. [Google Scholar] [CrossRef]
  18. Imhoff, S.; Lavallière, M.; Teasdale, N.; Fait, P. Driving assessment and rehabilitation using a driving simulator in individuals with traumatic brain injury: A scoping review. NeuroRehabilitation 2016, 39, 239–251. [Google Scholar] [CrossRef]
  19. Ben-David, B.M.; Nguyen, L.L.; van Lieshout, P.H. Stroop Effects in Persons with Traumatic Brain Injury: Selective Attention, Speed of Processing, or Color-Naming? A Meta-analysis. J. Int. Neuropsychol. Soc. 2011, 17, 354–363. [Google Scholar] [CrossRef] [PubMed]
  20. Periáñez, J.; Ríos-Lago, M.; Rodríguez-Sánchez, J.; Adrover-Roig, D.; Sánchez-Cubillo, I.; Crespo-Facorro, B.; Quemada, J.; Barceló, F. Trail Making Test in traumatic brain injury, schizophrenia, and normal ageing: Sample comparisons and normative data. Arch. Clin. Neuropsychol. 2007, 22, 433–447. [Google Scholar] [CrossRef]
  21. Kokkinakis, I.; Vaucher, P.; Cardoso, I.; Favrat, B. Assessment of cognitive screening tests as predictors of driving cessation: A prospective cohort study of a median 4-year follow-up. PLoS ONE 2021, 16, e0256527. [Google Scholar] [CrossRef]
  22. Spielberger, C.D.; Gorsuch, R.L.; Lushene, R.; Vagg, P.R.; Jacobs, G.A. Manual for the State-Trait Anxiety Inventory (STAI); Consulting Psychologists Press: Palo Alto, CA, USA, 1983. [Google Scholar]
  23. Vingerhoets, G.; Lannoo, E.; Bauwens, S. Analysis of the Money Road-Map Test performance in normal and brain-damaged subjects. Arch. Clin. Neuropsychol. 1996, 11, 1–9. [Google Scholar] [CrossRef]
  24. Pachet, A.K. Construct Validity of the Repeatable Battery of Neuropsychological Status (RBANS) with Acquired Brain Injury Patients. Clin. Neuropsychol. 2007, 21, 286–293. [Google Scholar] [CrossRef] [PubMed]
  25. McKay, C.; Casey, J.E.; Wertheimer, J.; Fichtenberg, N.L. Reliability and validity of the RBANS in a traumatic brain injured sample. Arch. Clin. Neuropsychol. 2007, 22, 91–98. [Google Scholar] [CrossRef] [PubMed]
  26. Lange, R.T.; Iverson, G.L.; Zakrzewski, M.J.; Ethel-King, P.E.; Franzen, M.D. Interpreting the Trail Making Test following traumatic brain injury: Comparison of traditional time scores and derived indices. J. Clin. Exp. Neuropsychol. 2005, 27, 897–906. [Google Scholar] [CrossRef]
  27. Mathias, J.L.; Lucas, L.K. Cognitive predictors of unsafe driving in older drivers: A meta-analysis. Int. Psychogeriatr. 2009, 21, 637–653. [Google Scholar] [CrossRef]
  28. Dobbs, B.M.; Shergill, S.S. How effective is the Trail Making Test (Parts A and B) in identifying cognitively impaired drivers? Age Ageing 2013, 42, 577–581. [Google Scholar] [CrossRef] [PubMed]
  29. Spengler, K.; Babika, C.; Sterk, V.; Yassin, S.; Golden, C. Stroop test as a predictor of driving mistakes. Arch. Clin. Neuropsychol. 2014, 29, 527. [Google Scholar] [CrossRef]
  30. Collet, C.; Petit, C.; Priez, A.; Dittmar, A. Stroop color–word test, arousal, electrodermal activity and performance in a critical driving situation. Biol. Psychol. 2005, 69, 195–203. [Google Scholar] [CrossRef]
  31. Wolfe, P.L.; Lehockey, K.A. Neuropsychological assessment of driving capacity. Arch. Clin. Neuropsychol. 2016, 31, 517–529. [Google Scholar] [CrossRef]
  32. Nouchi, R.; Kobayashi, A.; Nouchi, H.; Kawashima, R. Newly developed TV-based cognitive training games improve car driving skills, cognitive functions, and mood in healthy older adults: Evidence from a randomized controlled trial. Front. Aging Neurosci. 2019, 11, 99. [Google Scholar] [CrossRef]
  33. Mazer, B.L.; Korner-Bitensky, N.A.; Sofer, S. Predicting ability to drive after stroke. Arch. Phys. Med. Rehabil. 1998, 79, 743–750. [Google Scholar] [CrossRef]
  34. Ba, Y.; Zhang, W.; Salvendy, G.; Cheng, A.S.; Ventsislavova, P. Assessments of risky driving: A Go/No-Go simulator driving task to evaluate risky decision-making and associated behavioral patterns. Appl. Ergon. 2016, 52, 265–274. [Google Scholar] [CrossRef]
  35. Egeto, P.; Badovinac, S.D.; Hutchison, M.G.; Ornstein, T.J.; Schweizer, T.A. A Systematic Review and Meta-Analysis on the Association Between Driving Ability and Neuropsychological Test Performances After Moderate to Severe Traumatic Brain Injury. J. Int. Neuropsychol. Soc. 2019, 25, 868–877. [Google Scholar] [CrossRef] [PubMed]
  36. Peng, Z.; Nishimoto, H.; Kinoshita, A. Driving Performance and Its Correlation with Neuropsychological Tests in Senior Drivers with Cognitive Impairment in Japan. J. Alzheimer’s Dis. 2021, 79, 1575–1587. [Google Scholar] [CrossRef] [PubMed]
  37. Gårdinger, M.B.; Johansson, R.; Lidestam, B.; Selander, H. Validation of a computerized driving simulator test of cognitive bilities for fitness-to-drive assessments. Front. Psychol. 2024, 14, 1294965. [Google Scholar] [CrossRef]
  38. Krasniuk, S.; Crizzle, A.M.; Toxopeus, R.; Mychael, D.; Prince, N. Clinical Tests Predicting On-Road Performance in Older Drivers with Cognitive Impairment. Can. J. Occup. Ther. 2022, 90, 44–54. [Google Scholar] [CrossRef]
  39. Hinckley, A.; Patterson, S.; Matigian, N. A Retrospective Review of the Potential Relationship Between the TMT B and on-Road Driving Performance Within a Community Rehabilitation Setting. Edorium J. Disabil. Rehabil. 2024, 10, 1–9. [Google Scholar] [CrossRef]
  40. Owens, J.A.; Spitz, G.; Ponsford, J.; Dymowski, A.R.; Ferris, N.J.; Willmott, C. White Matter Integrity of the Medial Forebrain Bundle and Attention and Working Memory Deficits Following Traumatic Brain Injury. Brain Behav. 2016, 7, e00608. [Google Scholar] [CrossRef] [PubMed]
  41. Pugh, M.; Olabarrieta-Landa, L.; Chagualá, A.C.; Perrin, P.B.; Arango-Lasprilla, J.C. Spontaneous Recovery of Executive Function, Attention, and Processing Speed in Stroke Patients in Colombia. PM&R 2020, 13, 674–682. [Google Scholar] [CrossRef]
  42. Kawabata, K.; Kobayashi, Y.; Omokute, Y.; Takama, C.; Kawakami, T.; Watanabe, Y.; Yamaguchi, M.; Fujita, K. Relationship Between Driving Risk, Attention Function, and Driving Characteristics of Healthy Middle-Aged and Older Female Drivers in the Fukui Prefecture in Japan. Asian J. Occup. Ther. 2022, 18, 117–126. [Google Scholar] [CrossRef]
  43. Cizman-Staba, U.; Klun, T.; Resnik-Robida, K. Predicting Factors of Driving Abilities After Acquired Brain Injury Through Combined Neuropsychological and Mediatester Driving Assessment. Psihologija 2021, 54, 137–154. [Google Scholar] [CrossRef]
  44. Fang, Y.; Dai, S.; Jin, C.; Si, X.; Gu, L.; Song, Z.; Gao, T.; Chen, Y.; Yan, Y.; Yin, X.; et al. Aquaporin-4 Polymorphisms Are Associated with Cognitive Performance in Parkinson’s Disease. Front. Aging Neurosci. 2022, 13, 740491. [Google Scholar] [CrossRef]
  45. Palubiski, L.; Crizzle, A.M. Evidence Based Review of Fitness-to-Drive and Return-to-Driving Following Traumatic Brain Injury. Geriatrics 2016, 1, 17. [Google Scholar] [CrossRef] [PubMed]
  46. Blane, A.; Lee, H.; Falkmer, T.; Willstrand, T.D. Assessing Cognitive Ability and Simulator-Based Driving Performance in Poststroke Adults. Behav. Neurol. 2017, 2017, 1378308. [Google Scholar] [CrossRef]
  47. Taveekitworachai, P.; Chanmas, G.; Paliyawan, P.; Thawonmas, R.; Nukoolkit, C.; Dajpratham, P.; Thawonmas, R. A systematic review of major evaluation metrics for simulator-based automatic assessment of driving after stroke. Heliyon 2024, 10, e32930. [Google Scholar] [CrossRef]
  48. Piersma, D.; M. Fuermaier, A.B.M.; de Waard, D.; Davidse, R.J.; Groot, J.D.; Doumen, M.J.; Bredewoud, R.A.; Claesen, R.; Lemstra, A.W.; Vermeeren, A.; et al. Prediction of Fitness to Drive in Patients with Alzheimer’s Dementia. PLoS ONE 2016, 11, e0149566. [Google Scholar] [CrossRef]
  49. Kotterba, S.; Widdig, W.; Brylak, S.; Orth, M. Driving After Cerebral Ischemia—A Driving Simulator Investigation. Wien. Med. Wochenschr. 2005, 155, 348–353. [Google Scholar] [CrossRef] [PubMed]
  50. Dimech-Betancourt, B.; Ponsford, J.; Charlton, J.; Ross, P.; Gooden, J.R.; Stolwyk, R.J. Investigating Feasibility and Preliminary Efficacy of a Simulator-Based Driving Intervention for People with Acquired Brain Injury: A Randomised Controlled Pilot Study. Clin. Rehabil. 2021, 35, 1277–1289. [Google Scholar] [CrossRef]
  51. Hird, M.A.; Veselý, K.; Tasneem, T.; Saposnik, G.; Macdonald, R.L.; Schweizer, T.A. A Case—Control Study Investigating Simulated Driving Errors in Ischemic Stroke and Subarachnoid Hemorrhage. Front. Neurol. 2018, 9, 54. [Google Scholar] [CrossRef]
  52. Zhou, H.; Sun, Q.; Blane, A.; Hughes, B.; Falkmer, T.; Xia, J. Investigating on-Road Lane Maintenance and Speed Regulation in Post-Stroke Driving: A Pilot Case–Control Study. Geriatrics 2021, 6, 16. [Google Scholar] [CrossRef]
  53. Robertson, I.H.; Manly, T.; Andrade, J.; Baddeley, B.T.; Yiend, J. ‘Oops!’: Performance correlates of everyday attentional failures in traumatic brain injured and normal subjects. Neuropsychologia 1997, 35, 747–758. [Google Scholar] [CrossRef]
  54. Whyte, J.; Polansky, M.; Fleming, M.; Coslett, H.B.; Cavallucci, C. Sustained arousal and attention after traumatic brain injury. Neuropsychologia 2000, 38, 272–282. [Google Scholar] [CrossRef]
  55. Lodha, N.; Patel, P.; Shad, J.M.; Casamento-Moran, A.; Christou, E.A. Cognitive and Motor Deficits Contribute to Longer Braking Time in Stroke. J. Neuroeng. Rehabil. 2021, 18, 7. [Google Scholar] [CrossRef]
  56. Kahana-Levy, N.; Vakil, E.; Borowsky, A.; Sacher, Y. Traumatic Brain Injury Hinders Learning of Road Hazard Awareness by Repeated Exposure to Video-Based Hazards. Neuropsychology 2020, 34, 199. [Google Scholar] [CrossRef] [PubMed]
  57. Schlueter, D.A.; Horstmann, G.A.; Austerschmidt, K.L.; Koenig, J.; Flieger, M.; Beblo, T.; Drießen, M.; Schäbitz, W.R.; Toepper, M. Stroke Survivors Show an Overestimation of Their on-Road Driving Performance. Neurol. Res. Pract. 2025, 7, 55. [Google Scholar] [CrossRef] [PubMed]
  58. Venketasubramanian, N.; Chan, M.L. Stroke Recurrence Among Stroke Patients Referred for Driving Assessment and Rehabilitation: A Cohort Study. J. Cardiovasc. Dev. Dis. 2023, 10, 83. [Google Scholar] [CrossRef]
  59. Ha, M.; Yu, S.; Kim, B.C.; Lee, J.H.; Choi, H.J.; Cho, W.H. Characteristics of Patients with Traumatic Brain Injury in a Regional Trauma Center: A Single-Center Study. Korean J. Neurotrauma 2023, 19, 6. [Google Scholar] [CrossRef]
  60. Hadi Hosseini, S.M.; Bruno, J.L.; Baker, J.M.; Gundran, A.; Harbott, L.K.; Gerdes, J.C.; Reiss, A.L. Neural, Physiological, and Behavioral Correlates of Visuomotor Cognitive Load. Sci. Rep. 2017, 7, 8866. [Google Scholar] [CrossRef] [PubMed]
  61. Valtr, L.; Psotta, R.; Dostál, D. Effects of the Specific Eye Fixation Training on Fine Visuomotor Coordination in Children with Attention Deficit Hyperactivity Disorder. Children 2023, 10, 1648. [Google Scholar] [CrossRef]
  62. Zwierko, T.; Wąsik, J. Exercise-Induced Fatigue Impairs Visuomotor Adaptability in Physical Education Students. Phys. Educ. Stud. 2019, 23, 327–333. [Google Scholar] [CrossRef]
  63. Ettenhofer, M.L.; Guise, B.; Brandler, B.J.; Bittner, K.C.; Gimbel, S.I.; Cordero, E.; Schmitt, S.N.; Williams, K.; Cox, D.J.; Roy, M.J.; et al. Neurocognitive Driving Rehabilitation in Virtual Environments (NeuroDRIVE): A Pilot Clinical Trial for Chronic Traumatic Brain Injury. Neurorehabilitation 2019, 44, 531–544. [Google Scholar] [CrossRef]
  64. Lakicevic, N.; Andjelic, B.; Manojlović, M.; Gentile, A.; Bianco, A.; Paoli, A.; Leonov, S.; Pashchenko, A.G.; Drid, P. Virtual Reality and Cognitive Function Rehabilitation After Traumatic Brain Injury: A Systematic Review. Eur. J. Transl. Myol. 2025, 35, 13275. [Google Scholar] [CrossRef]
  65. Mavroudis, I.; Ciobîcă, A.; Bejenariu, A.C.; Apostu, M.; Dobrin, R.; Balmuș, I.M. Cognitive Impairment Following Mild Traumatic Brain Injury (mTBI): A Review. Medicina 2024, 60, 380. [Google Scholar] [CrossRef]
  66. Sharma, A.; Sharma, A.; Jain, S.; Gupta, A.; Sinha, V.D. Cognitive Outcomes Following Virtual Reality Rehabilitation in Patient with Traumatic Brain Injury: A Prospective Randomized Comparative Study. Indian J. Neurotrauma 2024, 22, 59–64. [Google Scholar] [CrossRef]
  67. Chiaravalloti, N.D.; Costa, S.L.; Armknecht, C.; Costanza, K.; Wallace, S.; Moore, N.B.; DeLuca, J. Speed of Processing Training to Improve Cognition in Moderate to Severe TBI: A Randomized Clinical Trial. Front. Neurol. 2024, 15, 1445560. [Google Scholar] [CrossRef]
  68. Samuelsson, K.; Lundqvist, A.; Selander, H.; Wressle, E. Fitness to Drive After Acquired Brain Injury: Results From Patient Cognitive Screening and On-road Assessment Compared to Age-adjusted Norm Values. Scand. J. Psychol. 2021, 63, 55–63. [Google Scholar] [CrossRef]
  69. Schultheis, M.T.; Hillary, F.G.; Chute, D.L. The Neurocognitive Driving Test: Applying Technology to the Assessment of Driving Ability Following Brain Injury. Rehabil. Psychol. 2003, 48, 275. [Google Scholar] [CrossRef]
  70. Erler, K.S.; Juengst, S.B.; Smith, D.L.; O’Neil-Pirozzi, T.M.; Novack, T.A.; Bogner, J.; Kaminski, J.; Giacino, J.T.; Whiteneck, G.G. Examining Driving and Participation 5 Years After Traumatic Brain Injury. OTJR Occup. Ther. J. Res. 2018, 38, 143–150. [Google Scholar] [CrossRef] [PubMed]
  71. McKerral, M.; Moreno, A.; Delhomme, P.; Gélinas, I. Driving Behaviors 2–3 Years After Traumatic Brain Injury Rehabilitation: A Multicenter Case-Control Study. Front. Neurol. 2019, 10, 144. [Google Scholar] [CrossRef]
  72. Stack, A.H.; Duggan, O.; Stapleton, T. Assessing Fitness to Drive After Stroke. Ir. J. Occup. Ther. 2018, 46, 106–129. [Google Scholar] [CrossRef]
  73. McInerney, K.; Suhr, J.A. Neuropsychological Correlates of Hazard Perception in Older Adults. J. Int. Neuropsychol. Soc. 2015, 22, 332–340. [Google Scholar] [CrossRef] [PubMed]
Figure 1. Participant during the driving simulation: (A) side view illustrating posture and interaction with simulator controls, and (B) behind-the-seat view showing the immersive setup.
Figure 1. Participant during the driving simulation: (A) side view illustrating posture and interaction with simulator controls, and (B) behind-the-seat view showing the immersive setup.
Bdcc 10 00020 g001
Figure 2. Diagram illustrating the structure and workflow of the diagnostic simulation run.
Figure 2. Diagram illustrating the structure and workflow of the diagnostic simulation run.
Bdcc 10 00020 g002
Figure 3. Example driver’s view from the driving simulator in three experimental scenarios: (A) parallel parking at the city’s edge, (B) city driving within the city, and (C) rural driving on an open road.
Figure 3. Example driver’s view from the driving simulator in three experimental scenarios: (A) parallel parking at the city’s edge, (B) city driving within the city, and (C) rural driving on an open road.
Bdcc 10 00020 g003
Figure 4. Correlation matrix between cognitive test scores and simulator-derived driving performance measures of the control group. Significant correlations are indicated by filled circles (* p < 0.05, ** p < 0.01, *** p < 0.001), with the strength and direction of associations shown by color and circle size. Variables are ordered using hierarchical clustering.
Figure 4. Correlation matrix between cognitive test scores and simulator-derived driving performance measures of the control group. Significant correlations are indicated by filled circles (* p < 0.05, ** p < 0.01, *** p < 0.001), with the strength and direction of associations shown by color and circle size. Variables are ordered using hierarchical clustering.
Bdcc 10 00020 g004
Figure 5. Selected model-based marginal effects of cognitive and demographic predictors on driving performance across simulator tasks. Panels (AC) show predicted task performance (on the proportion scale) as a function of key cognitive measures: (A) Stroop S score predicting speed maintenance (speed); (B) Trail Making Test Part A (TMT A) completion time predicting rural driving performance (rural); and (C) Money Road score predicting parking performance (parking). Shaded areas indicate 95% confidence intervals. Panels (DF) show the interaction between age and sex for (D) rural driving, (E) speed maintenance, and (F) parking performance. Lines represent model-predicted values for males and females across age, with ribbons indicating 95% confidence intervals. Predictions are derived from separate beta regression models fitted for each task.
Figure 5. Selected model-based marginal effects of cognitive and demographic predictors on driving performance across simulator tasks. Panels (AC) show predicted task performance (on the proportion scale) as a function of key cognitive measures: (A) Stroop S score predicting speed maintenance (speed); (B) Trail Making Test Part A (TMT A) completion time predicting rural driving performance (rural); and (C) Money Road score predicting parking performance (parking). Shaded areas indicate 95% confidence intervals. Panels (DF) show the interaction between age and sex for (D) rural driving, (E) speed maintenance, and (F) parking performance. Lines represent model-predicted values for males and females across age, with ribbons indicating 95% confidence intervals. Predictions are derived from separate beta regression models fitted for each task.
Bdcc 10 00020 g005
Figure 6. Estimated marginal means of driving task performance by participant group. Estimated marginal means (±95% confidence intervals) of normalized (scaled) driving task scores derived from a beta generalized linear mixed model. Each facet represents a separate driving task. Asterisks indicate significant pairwise differences between the Control and Experimental groups after post-hoc correction (* p < 0.05, ** p < 0.01, *** p < 0.001).
Figure 6. Estimated marginal means of driving task performance by participant group. Estimated marginal means (±95% confidence intervals) of normalized (scaled) driving task scores derived from a beta generalized linear mixed model. Each facet represents a separate driving task. Asterisks indicate significant pairwise differences between the Control and Experimental groups after post-hoc correction (* p < 0.05, ** p < 0.01, *** p < 0.001).
Bdcc 10 00020 g006
Table 1. Demographic and clinical characteristics of the experimental sample (n = 30).
Table 1. Demographic and clinical characteristics of the experimental sample (n = 30).
CharacteristicNon-Drivers (n = 19)Drivers (n = 11)
Sex (%)
   Male73.781.8
   Female26.318.2
Age (years)
   Range26–7523–79
   Mean (SD)50.4 (15.2)53.1 (17.4)
Diagnosis (%)
   CMP (stroke)63.263.6
   TBI31.618.2
   Meningitis5.3
   Polytrauma9.1
   Streptococcal infection9.1
Driving frequency (%)
   6–7 times/week47.4100.0
   4–5 times/week10.5
   2–3 times/week31.6
   0–1 times/week10.5
Importance of driving (%)
   Very important42.1100.0
   Rather important31.6
   Rather unimportant21.1
   Definitely unimportant5.3
Driving license withdrawn (%)
   Yes42.118.2
   No57.981.8
Table 2. Demographic and characteristics of the control sample by gender (N = 100).
Table 2. Demographic and characteristics of the control sample by gender (N = 100).
CharacteristicMale (n = 60)Female (n = 40)
Age (years)
   Range20–7420–74
   Mean (SD)38.6 (10.8)36.7 (10.1)
Driving frequency (%)
   4–7 times per week51.427.7
   1–3 times per week31.429.2
   1–3 times per month8.618.5
   4–11 times per year2.97.7
   1–3 times per year2.99.2
   Never2.97.7
Importance of driving (%)
   Very important60.030.8
   Rather important25.735.4
   Rather unimportant8.627.7
   Not important at all5.76.2
Table 3. Descriptive statistics for cognitive test measures.
Table 3. Descriptive statistics for cognitive test measures.
Cognitive TestMeanSDMin.Max.
Stroop S (0–100)87.3613.5451.0118.0
Stroop B (0–100)73.0210.8450.0111.0
Stroop BS (0–100)46.8011.5222.089.0
TMT A (s)28.2011.1814.065.0
TMT B (s)68.9634.6120.0203.0
Symbols (0–133)77.4416.5935.0114.0
Money Road (s)76.5047.5723.0361.0
Money Road (CO, 0–32)28.864.8313.032.0
Note. Stroop S: score in the Words subtest; Stroop B: score in the Colors subtest; Stroop BS: score in the Color–Word subtest; s: number of seconds required to complete the test; TMT A: Trail Making Test Part A; TMT B: Trail Making Test Part B; CO: number of correct responses.
Table 4. Mean and standard deviation of simulator task scores (0–100) by group.
Table 4. Mean and standard deviation of simulator task scores (0–100) by group.
TaskExperimentalControl
MeanSDMeanSD
Vehicle control86.9417.7177.2429.81
Highway neglect69.0623.1793.9614.36
Highway speed36.5913.3046.9610.70
Go/No-Go94.394.1096.762.76
City turning89.0618.1982.5018.53
City straight87.5017.2593.7314.99
City following31.4735.4460.8331.75
Parking69.4427.8685.2221.57
Rural61.0547.9593.8020.57
Experimental = ABI (Acquired Brain Injury) group.
Table 5. Between-group differences in simulator-derived driving performance parameters. Values presented for each group are as Mean ± SD. The Direction column indicates which group showed a higher mean value (C ↑ for Control higher, E ↑ for Experimental higher). Only metrics showing statistically significant differences between groups are listed.
Table 5. Between-group differences in simulator-derived driving performance parameters. Values presented for each group are as Mean ± SD. The Direction column indicates which group showed a higher mean value (C ↑ for Control higher, E ↑ for Experimental higher). Only metrics showing statistically significant differences between groups are listed.
TaskParameterExperimentalControlp-ValueDirection
ControlSpeedMax78.38 ± 41.93114.38 ± 47.060.0018C ↑
Go/No-GoPEventResponsesCount116.61 ± 3.62119.33 ± 1.54<0.001C ↑
PEventRatio0.97 ± 0.030.99 ± 0.01<0.001C ↑
PEventCorrectRatio0.97 ± 0.030.99 ± 0.01<0.001C ↑
PEventMeanResponseTime545.77 ± 127.10466.89 ± 72.120.0016E ↑
REventMeanResponseTime441.45 ± 51.67404.75 ± 48.640.0077E ↑
Highway speedSpeedMean75.13 ± 14.2488.13 ± 9.09<0.001C ↑
SpeedMed87.81 ± 19.91103.35 ± 10.56<0.001C ↑
Highway neglectLNeglectResponsesCount2.50 ± 1.513.78 ± 0.61<0.001C ↑
LNeglectResponseRatio0.63 ± 0.380.94 ± 0.15<0.001C ↑
RNeglectResponsesCount3.00 ± 0.913.73 ± 0.63<0.001C ↑
RNeglectResponseRatio0.75 ± 0.230.93 ± 0.16<0.001C ↑
RuralDriveFinished0.64 ± 0.480.96 ± 0.18<0.001C ↑
IdealMeanDev11.72 ± 36.635.08 ± 42.170.0008E ↑
IdealStdDev36.42 ± 103.186.43 ± 53.98<0.001E ↑
IdealRatio0.94 ± 0.080.97 ± 0.100.0024C ↑
DeviationCount4.56 ± 3.762.36 ± 2.550.0484E ↑
City TurningWalkerMinDist6.44 ± 2.364.60 ± 1.720.0041E ↑
Car3MinDist14.11 ± 2.7711.78 ± 3.630.0061E ↑
ParkingTurnedRight0.28 ± 0.460.61 ± 0.490.0092C ↑
Experimental = ABI (Acquired Brain Injury) group.
Disclaimer/Publisher’s Note: The statements, opinions and data contained in all publications are solely those of the individual author(s) and contributor(s) and not of MDPI and/or the editor(s). MDPI and/or the editor(s) disclaim responsibility for any injury to people or property resulting from any ideas, methods, instructions or products referred to in the content.

Share and Cite

MDPI and ACS Style

Sokol, M.; Volf, P.; Hejda, J.; Remr, J.; Leová, L.; Kutílek, P. Driving Simulator Performance After Acquired Brain Injury: A Comparative Study of Neuropsychological Predictors. Big Data Cogn. Comput. 2026, 10, 20. https://doi.org/10.3390/bdcc10010020

AMA Style

Sokol M, Volf P, Hejda J, Remr J, Leová L, Kutílek P. Driving Simulator Performance After Acquired Brain Injury: A Comparative Study of Neuropsychological Predictors. Big Data and Cognitive Computing. 2026; 10(1):20. https://doi.org/10.3390/bdcc10010020

Chicago/Turabian Style

Sokol, Marek, Petr Volf, Jan Hejda, Jiří Remr, Lýdie Leová, and Patrik Kutílek. 2026. "Driving Simulator Performance After Acquired Brain Injury: A Comparative Study of Neuropsychological Predictors" Big Data and Cognitive Computing 10, no. 1: 20. https://doi.org/10.3390/bdcc10010020

APA Style

Sokol, M., Volf, P., Hejda, J., Remr, J., Leová, L., & Kutílek, P. (2026). Driving Simulator Performance After Acquired Brain Injury: A Comparative Study of Neuropsychological Predictors. Big Data and Cognitive Computing, 10(1), 20. https://doi.org/10.3390/bdcc10010020

Article Metrics

Back to TopTop