Anthelmintic Effect of Cannabidiol against Echinococcus granulosus sensu stricto
Abstract
1. Introduction
2. Material and Methods
2.1. Plant Material
2.2. Cannabidiol Extraction and Purification
2.3. Chemicals
2.4. Parasite Material, Protoscoleces Collection and Cyst Obtention
2.5. In Vitro Assays
2.5.1. Protoscolicidal Activity
2.5.2. Cysticidal Activity
2.6. In Vivo Clinical Efficacy Study
2.7. Electron Microscopy
2.8. Statistical Analysis
2.9. Ethic Statement and Experimental Animals
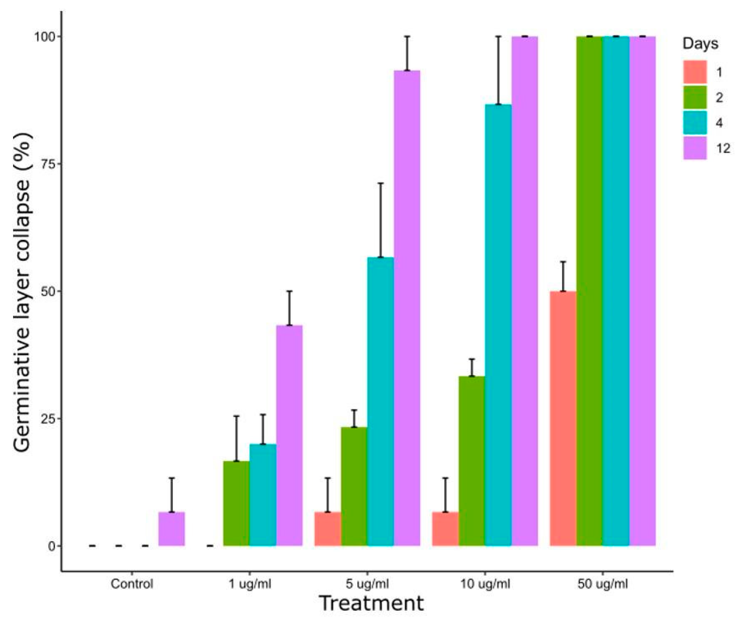
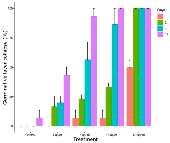
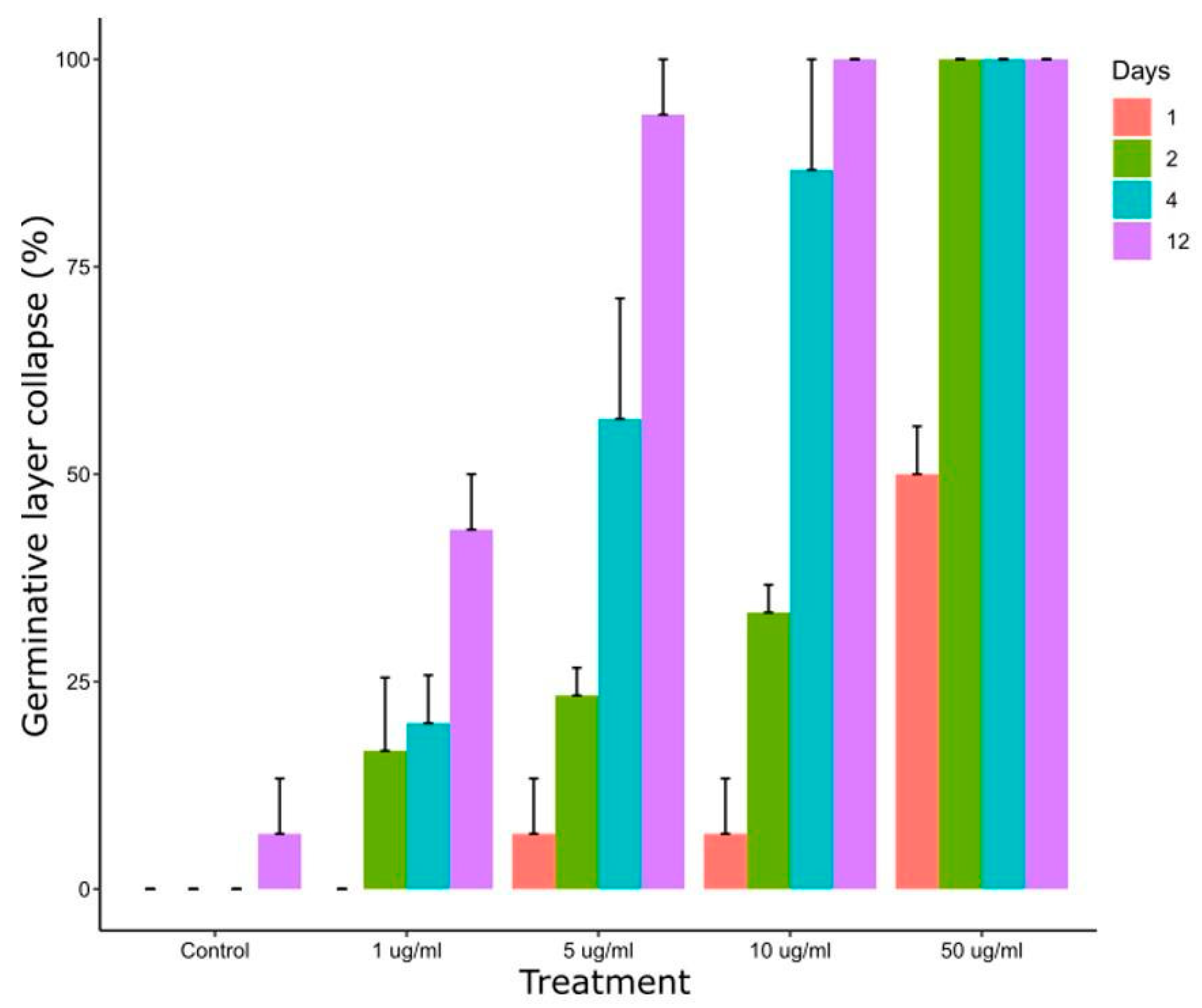
3. Results
4. Discussion
Author Contributions
Funding
Institutional Review Board Statement
Informed Consent Statement
Data Availability Statement
Conflicts of Interest
References
- Romig, T.; Jenkins, D.; Giraudoux, P.; Massolo, A.; Craig, P.S.; Wassermann, M.; Takahashi, K.; de la Rue, M. Ecology and life cycle patterns of Echinococcus species. Adv. Parasitol. 2017, 95, 213–314. [Google Scholar] [PubMed]
- Kern, P.; Menezes da Silva, A.; Akhan, O.; Müllhaupt, B.; Vizcaychipi, K.A.; Budke, C.; Vuitton, D.A. The Echinococcoses: Diagnosis, Clinical Management and Burden of Disease. Adv Parasitol 2017, 96, 259–369. [Google Scholar] [PubMed]
- Woolsey, I.D.; Miller, A.L. Echinococcus granulosus sensu lato and Echinococcus multilocularis: A review. Res. Vet. Sci. 2021, 135, 517–522. [Google Scholar] [CrossRef] [PubMed]
- Brunetti, E.; Kern, P.; Vuitton, D.A.; Writing Panel for the WHO-IWGE. Expert consensus for the diagnosis and treatment of cystic and alveolar echinococcosis in humans. Acta. Trop. 2010, 114, 1–16. [Google Scholar] [CrossRef]
- Pawlowski, Z.S.; Eckert, J.; Vuitton, D.A.; Ammann, R.W.; Kern, P.; Crai, P.S.; Dar, K.F.; De Rosa, F.; Filice, C.; Gottstein, B.; et al. Echinococcosis in humans: Clinical aspects, diagnosis and treatment. In WHO/OIE Manual on Echinococcosis in Humans and Animals: A Public Health Problem of Global Concern; Eckert, J., Gemmell, M.A., Meslin, F.X., Pawlowski, Z.S., Eds.; World Organisation for Animal Health: Paris, France, 2001; pp. 20–72. [Google Scholar]
- Ministerio de Salud de la Nación. Norma Técnica y Manual de Procedimientos Para el Control de la Hidatidosis. 2009. Available online: https://bancos.salud.gob.ar/recurso/norma-tecnica-y-manual-de-procedimientos-para-el-control-de-la-hidatidosis (accessed on 13 January 2024).
- Dutra, R.C.; Campos, M.; Santos, A.; Calixto, J.B. Medicinal plants in Brazil: Pharmacological studies, drug discovery, challenges and perspectives. Pharmacal. Res. 2016, 112, 4–29. [Google Scholar] [CrossRef]
- Jayawardene, K.L.T.D.; Palombo, E.A.; Boag, P.R. Natural Products Are a Promising Source for Anthelmintic Drug Discovery. Biomolecules 2021, 11, 1457. [Google Scholar] [CrossRef]
- Ali, R.; Khan, S.; Khan, M.; Adnan, M.; Ali, I.; Khan, T.A.; Haleem, S.; Rooman, M.; Norin, S.; Khan, S.N. A systematic review of medicinal plants used against Echinococcus granulosus. PLoS ONE 2020, 15, e0240456. [Google Scholar] [CrossRef]
- Mukherjee, N.; Mukherjee, S.; Saini, P.; Roy, P.; Babu, S.P. Phenolics and Terpenoids; the Promising New Search for Anthelmintics: A Critical Review. Mini. Rev. Med. Chem. 2016, 16, 1415–1441. [Google Scholar] [CrossRef]
- Caboni, P.; Sherer, T.B.; Zhang, N.; Taylor, G.; Na, H.M.; Greenamyre, J.T.; Casida, J.E. Rotenone, deguelin, their metabolites, and the rat model of Parkinson’s disease. Chem. Res. Toxicol. 2004, 17, 1540–1548. [Google Scholar] [CrossRef]
- Garcia-Bustos, J.F.; Sleebs, B.E.; Gasser, R.B. An appraisal of natural products active against parasitic nematodes of animals. Parasit. Vectors 2019, 12, 306. [Google Scholar] [CrossRef]
- Castelli, M.V.; Lodeyro, A.F.; Malheiros, A.; Zacchino, S.A.; Roveri, O.A. Inhibition of the mitochondrial ATP synthesis by polygodial, a naturally occurring dialdehyde unsaturated sesquiterpene. Biochem. Pharmacol. 2005, 70, 82–89. [Google Scholar] [CrossRef]
- Hoste, H.; Jackson, F.; Athanasiadou, S.; Thamsborg, S.M.; Hoskin, S.O. The effects of tannin-rich plants on parasitic nematodes in ruminants. Trends Parasitol. 2006, 22, 253–261. [Google Scholar] [CrossRef] [PubMed]
- Bonini, S.A.; Premoli, M.; Tambaro, S.; Kumar, A.; Maccarinelli, G.; Memo, M.; Mastinu, A. Cannabis sativa: A comprehensive ethnopharmacological review of a medicinal plant with a long history. J. Ethnopharmacol. 2018, 227, 300–315. [Google Scholar] [CrossRef]
- Schofs, L.; Sparo, M.D.; Sánchez Bruni, S.F. The antimicrobial effect behind Cannabis sativa. Pharmacol. Res. Perspect. 2021, 9, e00761. [Google Scholar] [CrossRef] [PubMed]
- Guerra, R.O.; do Carmo Neto, J.R.; da Silva, P.E.F.; Borges, Y.L.L.; Franco, P.I.R.; Machado, J.R.; da Silva, M.V. Cannabis sativa: A look at protozoa, helminths, insect vectors, and pests. Fitoterapia 2023, 166, 105467. [Google Scholar] [CrossRef]
- Blaskovich, M.A.T.; Kavanagh, A.M.; Elliott, A.G.; Zhang, B.; Ramu, S.; Amado, M.; Lowe, G.J.; Hinton, A.O.; Pham, D.M.T.; Zuegg, J.; et al. The antimicrobial potential of cannabidiol. Commun. Biol. 2021, 4, 7. [Google Scholar] [CrossRef]
- Campos, A.C.; Brant, F.; Miranda, A.S.; Machado, F.S.; Teixeira, A.L. Cannabidiol increases survival and promotes rescue of cognitive function in a murine model of cerebral malaria. Neuroscience 2015, 289, 166–180. [Google Scholar] [CrossRef]
- Aguirre, M.E.; Orallo, D.E.; Suárez, P.A.; Ramirez, C.L. Galenic formulations of Cannabis sativa: Comparison of the chemical properties of extracts obtained by simple protocols using lipidic vehicles. Nat Prod Res 2024, 38, 661–666. [Google Scholar] [CrossRef]
- Casado, N.; Rodríguez-Caabeiro, F.; Hernández, S. In vitro survival of Echinococcus granulosus protoescolices in several media, at 4 °C and 37 °C. Z Parasitenkd. 1986, 72, 273–278. [Google Scholar] [CrossRef] [PubMed]
- Cucher, M.; Prada, L.; Mourglia-Ettlin, G.; Dematteis, S.; Camicia, F.; Asurmendi, S.; Rosenzvit, M. Identification of Echinococcus granulosus microRNAs and their expression in different life cycle stages and parasite genotypes. Int. J. Parasitol. 2011, 41, 439–448. [Google Scholar] [CrossRef]
- Fabbri, J.; Maggiore, M.A.; Pensel, P.E.; Denegri, G.M.; Gende, L.B.; Elissondo, M.C. In vitro and in vivo efficacy of carvacrol against Echinococcus granulosus. Acta. Trop. 2016, 164, 272–279. [Google Scholar] [CrossRef]
- R Core Team. The R Project for Statistical Computing. Available online: www.R-project.org/ (accessed on 1 December 2023).
- Lenth, R.V. Emmeans: Estimated Marginal Means, aka Least-Squares Means. R package Version 1.6.1. Available online: https://CRAN.Rproject.org/package=emmeans (accessed on 10 November 2023).
- National Research Council US. Guide for the Care and Use of Laboratory Animals, 8th ed.; National Academies Press: Washington DC, USA, 2011. [Google Scholar]
- Elissondo, M.C.; Albani, C.M.; Gende, L.; Eguaras, M.; Denegri, G. Efficacy of thymol against Echinococcus granulosus protoscoleces. Parasitol. Int. 2008, 57, 185–190. [Google Scholar] [CrossRef]
- Mahmoudvand, H.; Dezaki, E.S.; Sharififar, F.; Ezatpour, B.; Jahanbakhsh, S.; Harandi, M.F. Protoscolecidal effect of Berberis vulgaris root extract and its main compound, berberine in cystic echinococcosis. Iran J. Parasitol. 2014, 9, 503. [Google Scholar]
- Mahmoudvand, H.; Dezaki, E.S.; Kheirandish, F.; Ezatpour, B.; Jahanbakhsh, S.; Harandi, M.F. Scolicidal effects of black cumin seed (Nigella sativa) essential oil on hydatid cysts. Korean J. Parasitol. 2014, 52, 653–659. [Google Scholar] [CrossRef]
- Fabbri, J.; Maggiore, M.A.; Pensel, P.E.; Albani, C.M.; Denegri, G.M.; Elissondo, M.C. Could beta-myrcene be an alternative to albendazole for the treatment of experimental cystic echinococcosis? Acta. Trop. 2018, 187, 5–12. [Google Scholar] [CrossRef]
- Fabbri, J.; Maggiore, M.A.; Pensel, P.E.; Denegri, G.M.; Elissondo, M.C. In vitro efficacy study of Cinnamomum zeylanicum essential oil and cinnamaldehyde against the larval stage of Echinococcus granulosus. Exp. Parasitol. 2020, 214, 107904. [Google Scholar] [CrossRef] [PubMed]
- Maggiore, M.; Pensel, P.E.; Denegri, G.; Elissondo, M.C. Chemoprophylactic and therapeutic efficacy of thymol in murine cystic echinococcosis. Parasitol. Int. 2015, 64, 435–440. [Google Scholar] [CrossRef] [PubMed]
- Takakuwa, K.M.; Schears, R.M. A history of the US medical cannabis movement and its importance to pediatricians: Science versus politics in medicine’s greatest catch-22. Clin. Pediatr. 2019, 58, 1473–1477. [Google Scholar] [CrossRef] [PubMed]
- Pisanti, S.; Malfitano, A.M.; Ciaglia, E.; Lamberti, A.; Ranieri, R.; Cuomo, G.; Abate, M.; Faggiana, G.; Proto, M.C.; Fiore, D.; et al. Cannabidiol: State of the art and new challenges for therapeutic applications. Pharmacol. Ther. 2017, 175, 133–150. [Google Scholar] [CrossRef] [PubMed]
- Argüello-García, R. Cannabis sativa: A source of antiparasitic compounds? J. Sci. Tech. Res. 2023, 50, 41701–41707. [Google Scholar] [CrossRef]
- Nasreen, N.; Niaz, S.; Khan, A.; Zaman, M.A.; Ayaz, S.; Naeem, H.; Khan, N.; Elgorban, A.M. The potential of Allium sativum and Cannabis sativa extracts for anti-tick activities against Rhipicephalus (Boophilus) microplus. Exp. Appl. Acarol. 2020, 82, 281–294. [Google Scholar] [CrossRef]
- Elissondo, M.C.; Pensel, P.E.; Denegri, G.M. Could thymol have effectiveness on scolices and germinal layer of hydatid cysts? Acta. Trop. 2013, 125, 251–257. [Google Scholar] [CrossRef] [PubMed]
- Grifoni, L.; Vanti, G.; Donato, R.; Sacco, C.; Bilia, A.R. Promising Nanocarriers to Enhance Solubility and Bioavailability of Cannabidiol for a Plethora of Therapeutic Opportunities. Molecules 2022, 27, 6070. [Google Scholar] [CrossRef]
- Ramalho, Í.M.M.; Pereira, D.T.; Galvão, G.B.L.; Freire, D.T.; Amaral-Machado, L.; Alencar, É.D.N.; Egito, E.S.T.D. Current trends on cannabidiol delivery systems: Where are we and where are we going? Expert. Opin. Drug Deliv. 2021, 18, 1577–1587. [Google Scholar] [CrossRef] [PubMed]
- Huang, T.; Xu, T.; Wang, Y.; Zhou, Y.; Yu, D.; Wang, Z.; He, L.; Chen, Z.; Zhang, Y.; Davidson, D.; et al. Cannabidiol inhibits human glioma by induction of lethal mitophagy through activating TRPV4. Autophagy 2021, 17, 3592–3606. [Google Scholar] [CrossRef] [PubMed]
- Özel, Y.; Çavuş, İ.; Ünlü, M.; Özbilgin, A. Investigation of the Efficacy of Cinnamaldehyde, Cannabidiol and Eravacycline in a Malaria Model. Mikrobiyol. Bul. 2023, 57, 608–624. [Google Scholar] [CrossRef]
- Ewing, L.E.; Skinner, C.M.; Quick, C.M.; Kennon-McGill, S.; McGill, M.R.; Walker, L.A.; ElSohly, M.A.; Gurley, B.J.; Koturbash, I. Hepatotoxicity of a Cannabidiol-Rich Cannabis Extract in the Mouse Model. Molecules 2019, 24, 1694. [Google Scholar] [CrossRef]
- Thompson, D.; Geary, T. Helminth surfaces: Structural, molecular and functional properties. In Molecular Medical Parasitology; Marr, J.J., Nilsen, T.W., Komuniecki, R.W., Eds.; Academic Press: Cambridge, MA, USA, 2003; pp. 297–338. ISBN 9780124733466. [Google Scholar]
- Alvarez, L.I.; Mottier, M.L.; Lanusse, C.E. Drug transfer into target helminth parasites. Trends Parasitol. 2007, 23, 97–104. [Google Scholar] [CrossRef]






| Group | Median Weight of Cysts (g) | Interquartile Range (IQR) |
|---|---|---|
| Control | 1.55 | 2.5 |
| ABZ | 0.1 * | 0.77 |
| CBD | 0.83 | 1.54 |
| ABZ + CBD | 0.24 * | 0.25 |
Disclaimer/Publisher’s Note: The statements, opinions and data contained in all publications are solely those of the individual author(s) and contributor(s) and not of MDPI and/or the editor(s). MDPI and/or the editor(s) disclaim responsibility for any injury to people or property resulting from any ideas, methods, instructions or products referred to in the content. |
© 2024 by the authors. Licensee MDPI, Basel, Switzerland. This article is an open access article distributed under the terms and conditions of the Creative Commons Attribution (CC BY) license (https://creativecommons.org/licenses/by/4.0/).
Share and Cite
Albani, C.M.; Fuentes, G.; Ramírez, C.L.; Pensel, P.E.; Gatti, F.; Albanese, A.; Nutter, D.; Aguirre, M.E.; Di Iorio, Y.D.; Elissondo, M.C. Anthelmintic Effect of Cannabidiol against Echinococcus granulosus sensu stricto. Trop. Med. Infect. Dis. 2024, 9, 35. https://doi.org/10.3390/tropicalmed9020035
Albani CM, Fuentes G, Ramírez CL, Pensel PE, Gatti F, Albanese A, Nutter D, Aguirre ME, Di Iorio YD, Elissondo MC. Anthelmintic Effect of Cannabidiol against Echinococcus granulosus sensu stricto. Tropical Medicine and Infectious Disease. 2024; 9(2):35. https://doi.org/10.3390/tropicalmed9020035
Chicago/Turabian StyleAlbani, Clara María, Giselle Fuentes, Cristina Lujan Ramírez, Patricia Eugenia Pensel, Florencia Gatti, Adriana Albanese, Diego Nutter, Matías Ezequiel Aguirre, Yésica Dolores Di Iorio, and María Celina Elissondo. 2024. "Anthelmintic Effect of Cannabidiol against Echinococcus granulosus sensu stricto" Tropical Medicine and Infectious Disease 9, no. 2: 35. https://doi.org/10.3390/tropicalmed9020035
APA StyleAlbani, C. M., Fuentes, G., Ramírez, C. L., Pensel, P. E., Gatti, F., Albanese, A., Nutter, D., Aguirre, M. E., Di Iorio, Y. D., & Elissondo, M. C. (2024). Anthelmintic Effect of Cannabidiol against Echinococcus granulosus sensu stricto. Tropical Medicine and Infectious Disease, 9(2), 35. https://doi.org/10.3390/tropicalmed9020035

