In Vitro and In Vivo Virulence Study of Listeria monocytogenes Isolated from the Andalusian Outbreak in 2019
Abstract
1. Introduction
2. Material and Methods
2.1. Bacteria and Conditions of Bacterial Growth
2.2. Human Cell Culture
2.3. Adhesion and Internalization Assays
2.4. Cellular Viability
2.5. Hemolytic Activity
2.6. Murine Model of Infection
2.7. Statistical Analysis
3. Results
3.1. L. monocytogenes Adherence and Invasion in Host Cells
3.2. Cytotoxicity Activity of L. monocytogenes
3.3. Hemolytic Activity of L. monocytogenes
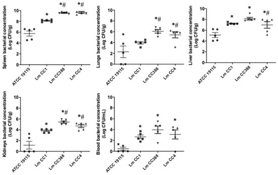
3.4. Pathogenesis of L. monocytogenes in an Intravenous Murine Infection Model
4. Discussion
5. Conclusions
Author Contributions
Funding
Institutional Review Board Statement
Informed Consent Statement
Data Availability Statement
Acknowledgments
Conflicts of Interest
References
- Quereda, J.J.; Morón-García, A.; Palacios-Gorba, C.; Dessaux, C.; Portillo, F.G.-D.; Pucciarelli, M.G.; Ortega, A.D. Pathogenicity and virulence of Listeria monocytogenes: A trip from environmental to medical microbiology. Virulence 2021, 12, 2509–2545. [Google Scholar] [CrossRef] [PubMed]
- Lepe, J.A. Current aspects of listeriosis. Med. Clin. 2020, 154, 453–458. [Google Scholar] [CrossRef] [PubMed]
- European Food Safety Authority; European Centre for Disease Prevention and Control. The European Union One Health 2019 Zoonoses Report. EFSA J. 2021, 19, e06406. [Google Scholar] [CrossRef]
- Raschle, S.; Stephan, R.; Stevens, M.J.A.; Cernela, N.; Zurfluh, K.; Muchaamba, F.; Nüesch-Inderbinen, M. Environmental dissemination of pathogenic Listeria monocytogenes in flowing surface waters in Switzerland. Sci. Rep. 2021, 11, 9066. [Google Scholar] [CrossRef]
- Orsi, R.H.; den Bakker, H.C.; Wiedmann, M. Listeria monocytogenes lineages: Genomics, evolution, ecology, and phenotypic characteristics. Int. J. Med. Microbiol. 2011, 301, 79–96. [Google Scholar] [CrossRef] [PubMed]
- Maury, M.M.; Tsai, Y.-H.; Charlier, C.; Touchon, M.; Chenal-Francisque, V.; Leclercq, A.; Criscuolo, A.; Gaultier, C.; Roussel, S.; Brisabois, A.; et al. Uncovering Listeria monocytogenes hypervirulence by harnessing its biodiversity. Nat. Genet. 2016, 48, 308–313. [Google Scholar] [CrossRef]
- Ghosh, P.; Halvorsen, E.M.; Ammendolia, D.A.; Mor-Vaknin, N.; O’Riordan, M.X.D.; Brumell, J.H.; Markovitz, D.M.; Higgins, D.E. Invasion of the brain by Listeria monocytogenes is mediated by InlF and host cell Vimentin. mBio 2018, 9, e00160-18. [Google Scholar] [CrossRef]
- Lopes-Luz, L.; Mendonça, M.; Fogaça, M.B.; Kipnis, A.; Bhunia, A.K.; Bührer-Sékula, S. Listeria monocytogenes: Review of pathogenesis and virulence determinants-targeted immunological assays. Crit. Rev. Microbiol. 2021, 47, 647–666. [Google Scholar] [CrossRef]
- Carvalho, F.; Sousa, S.; Cabanes, D. How Listeria monocytogenes organizes its surface for virulence. Front. Cell Infect Microbiol 2014, 4, 48. [Google Scholar] [CrossRef]
- Vazquez-Boland, J.A.; Kuhn, M.; Berche, P.; Chakraborty, T.; Dominguez-Bernal, G.; Goebel, W.; González-Zorn, B.; Wehland, J.; Kreft, J. Listeria pathogenesis and molecular virulence determinants. Clin. Microbiol. Rev. 2001, 14, 584–640. [Google Scholar] [CrossRef]
- Phelps, C.C.; Vadia, S.; Arnett, E.; Tan, Y.; Zhang, X.; Pathak-Sharma, S.; Gavrilin, M.A.; Seveau, S. Relative roles of listeriolysin O, InlA, and InlB in Listeria monocytogenes uptake by host cells. Infect Immun. 2018, 86, e00555-18. [Google Scholar] [CrossRef]
- Kortebi, M.; Milohanic, E.; Mitchell, G.; Péchoux, C.; Prevost, M.-C.; Cossart, P.; Bierne, H. Listeria monocytogenes switches from dissemination to persistence by adopting a vacuolar lifestyle in epithelial cells. PLoS Pathog. 2017, 13, e1006734. [Google Scholar] [CrossRef]
- Ministerio de Sanidad Consumo y Bienestar Social de España, Centro de Coordinación de Alertas y Emergencias Sanitarias. Informe de Fin de Seguimiento Del Brote de Listeriosis. 2019. Available online: https://www.sanidad.gob.es/profesionales/saludPublica/ccayes/alertasActual/listeriosis/docs/Informe_cierre_Listeriosis_20190927.pdf (accessed on 6 December 2022).
- Smani, Y.; Dominguez-Herrera, J.; Pachón, J. Association of the outer membrane protein Omp33 with fitness and virulence of Acinetobacter baumannii. J. Infect Dis. 2013, 208, 1561–1570. [Google Scholar] [CrossRef] [PubMed]
- Smani, Y.; Domínguez-Herrera, J.; Pachón, J. Rifampin protects human lung epithelial cells against cytotoxicity induced by clinical multi and pandrug-resistant Acinetobacter baumannii. J. Infect Dis. 2011, 203, 1110–1119. [Google Scholar] [CrossRef] [PubMed]
- Cabanes, D.; Lecuit, M.; Cossart, P. Animal models of Listeria infection. Curr. Protoc. Microbiol. 2008, 10, 9B.1.1–9B.1.17. [Google Scholar] [CrossRef]
- Palacios-Gorba, C.; Moura, A.; Gomis, J.; Leclercq, A.; Gómez-Martín, Á.; Bracq-Dieye, H.; Mocé, M.L.; Tessaud-Rita, N.; Jiménez-Trigos, E.; Vales, G.; et al. Ruminant-associated Listeria monocytogenes isolates belong preferentially to dairy-associated hypervirulent clones: A longitudinal study in 19 farms. Environ. Microbiol. 2021, 23, 7617–7631. [Google Scholar] [CrossRef] [PubMed]
- Terentjeva, M.; Šteingolde, Ž.; Meistere, I.; Elferts, D.; Avsejenko, J.; Streikiša, M.; Gradovska, S.; Alksne, L.; Ķibilds, J.; Bērziņš, A. Prevalence, genetic diversity and factors associated with distribution of Listeria monocytogenes and other Listeria spp. in cattle farms in Latvia. Pathogens 2021, 10, 851. [Google Scholar] [CrossRef]
- Lee, S.; Chen, Y.; Gorski, L.; Ward, T.J.; Osborne, J.; Kathariou, S. Listeria monocytogenes source distribution analysis indicates regional heterogeneity and ecological niche preference among serotype 4b clones. mBio 2018, 9, e00396-18. [Google Scholar] [CrossRef]
- Papić, B.; Golob, M.; Kušar, D.; Pate, M.; Zdovc, I. Source tracking on a dairy farm reveals a high occurrence of subclinical mastitis due to hypervirulent Listeria monocytogenes clonal complexes. J. Appl. Microbiol. 2019, 127, 1349–1361. [Google Scholar] [CrossRef]
- Yin, Y.; Tan, W.; Wang, G.; Kong, S.; Zhou, X.; Zhao, D.; Jia, Y.; Pan, Z.; Jiao, X. Geographical and longitudinal analysis of Listeria monocytogenes genetic diversity reveals its correlation with virulence and unique evolution. Microbiol. Res. 2015, 175, 84–92. [Google Scholar] [CrossRef]
- Papić, B.; Pate, M.; Félix, B.; Kušar, D. Genetic diversity of Listeria monocytogenes strains in ruminant abortion and rhombencephalitis cases in comparison with the natural environment. BMC Microbiol. 2019, 19, 299. [Google Scholar] [CrossRef] [PubMed]
- Lake, F.B.; van Overbeek, L.S.; Baars, J.J.; Koomen, J.; Abee, T.; Besten, H.M.D. Genomic characteristics of Listeria monocytogenes isolated during mushroom (Agaricus bisporus) production and processing. Int. J. Food Microbiol. 2021, 360, 109438. [Google Scholar] [CrossRef] [PubMed]
- Muchaamba, F.; Eshwar, A.K.; Stevens, M.J.A.; Stephan, R.; Tasara, T. Different Shades of Listeria monocytogenes: Strain, Serotype, and Lineage-Based Variability in Virulence and Stress Tolerance Profiles. Front. Microbiol. 2022, 12, 792162. [Google Scholar] [CrossRef] [PubMed]
- Palacios-Gorba, C.; Moura, A.; Leclercq, A.; Gómez-Martín, Á.; Gomis, J.; Jiménez-Trigos, E.; Mocé, M.L.; Lecuit, M.; Quereda, J.J. Listeria spp. isolated from tonsils of wild deer and boars: Genomic characterization. Appl. Environ. Microbiol. 2021, 87, e02651-20. [Google Scholar] [CrossRef]
- Chen, T.; Orsi, R.H.; Chen, R.; Gunderson, M.; Roof, S.; Wiedmann, M.; Childs-Sanford, S.E.; Cummings, K.J. Characterization of Listeria monocytogenes isolated from wildlife in central New York. Vet. Med. Sci. 2022, 8, 319–1329. [Google Scholar] [CrossRef]
- McCollum, J.T.; Cronquist, A.B.; Silk, B.J.; Jackson, K.A.; O’Connor, K.A.; Cosgrove, S.; Gossack, J.P.; Parachini, S.S.; Jain, N.S.; Ettestad, P.; et al. Multistate outbreak of listeriosis associated with cantaloupe. N. Engl. J. Med. 2013, 369, 944–953. [Google Scholar] [CrossRef]
- Jensen, A.K.; Nielsen, E.M.; Björkman, J.T.; Jensen, T.; Müller, L.; Persson, S.; Bjerager, G.; Perge, A.; Krause, T.G.; Kiil, K.; et al. Whole-genome sequencing used to investigate a nationwide outbreak of listeriosis caused by ready-to-eat delicatessen meat, Denmark, 2014. Clin. Infect Dis. 2016, 63, 64–70. [Google Scholar] [CrossRef] [PubMed]
- Thomas, J.; Govender, N.; McCarthy, K.M.; Erasmus, L.K.; Doyle, T.J.; Allam, M.; Ismail, A.; Ramalwa, N.; Sekwadi, P.; Ntshoe, G.; et al. Outbreak of listeriosis in South Africa Associated with Processed Meat. N. Engl. J. Med. 2020, 382, 632–643. [Google Scholar] [CrossRef]




| LD0 (log CFU/mL) | LD50 (log CFU/mL) | MLD100 (log CFU/mL) | |
|---|---|---|---|
| ATCC 19115 (CC2) | 5 | 5.5 | 6 |
| CC1 | 3 | 4.1 | 5 |
| CC388 | 3 | 3.5 | 5 |
| CC4 | 3 | 3.5 | 5 |
Disclaimer/Publisher’s Note: The statements, opinions and data contained in all publications are solely those of the individual author(s) and contributor(s) and not of MDPI and/or the editor(s). MDPI and/or the editor(s) disclaim responsibility for any injury to people or property resulting from any ideas, methods, instructions or products referred to in the content. |
© 2023 by the authors. Licensee MDPI, Basel, Switzerland. This article is an open access article distributed under the terms and conditions of the Creative Commons Attribution (CC BY) license (https://creativecommons.org/licenses/by/4.0/).
Share and Cite
Domínguez, A.V.; Ledesma, M.C.; Domínguez, C.I.; Cisneros, J.M.; Lepe, J.A.; Smani, Y. In Vitro and In Vivo Virulence Study of Listeria monocytogenes Isolated from the Andalusian Outbreak in 2019. Trop. Med. Infect. Dis. 2023, 8, 58. https://doi.org/10.3390/tropicalmed8010058
Domínguez AV, Ledesma MC, Domínguez CI, Cisneros JM, Lepe JA, Smani Y. In Vitro and In Vivo Virulence Study of Listeria monocytogenes Isolated from the Andalusian Outbreak in 2019. Tropical Medicine and Infectious Disease. 2023; 8(1):58. https://doi.org/10.3390/tropicalmed8010058
Chicago/Turabian StyleDomínguez, Andrea Vila, Marta Carretero Ledesma, Carmen Infante Domínguez, José Miguel Cisneros, Jose A. Lepe, and Younes Smani. 2023. "In Vitro and In Vivo Virulence Study of Listeria monocytogenes Isolated from the Andalusian Outbreak in 2019" Tropical Medicine and Infectious Disease 8, no. 1: 58. https://doi.org/10.3390/tropicalmed8010058
APA StyleDomínguez, A. V., Ledesma, M. C., Domínguez, C. I., Cisneros, J. M., Lepe, J. A., & Smani, Y. (2023). In Vitro and In Vivo Virulence Study of Listeria monocytogenes Isolated from the Andalusian Outbreak in 2019. Tropical Medicine and Infectious Disease, 8(1), 58. https://doi.org/10.3390/tropicalmed8010058

