Clinical Features of Nontuberculous Mycobacterial Pulmonary Disease in the Yangtze River Delta of China: A Single-Center, Retrospective, Observational Study
Abstract
1. Introduction
2. Materials and Methods
2.1. Research Participants
2.2. Serum T-SPOT Test
2.3. Serum TB Antibody Test
2.4. NTM Strain Identification and Drug Sensitivity Test
2.5. Study Design
2.6. Statistical Analysis
3. Results
3.1. Distribution Proportion of NTM Pulmonary Disease Strains in the Yangtze River Delta
3.2. Clinical Characteristics and Laboratory Indicators of Different NTM Cases
3.3. Chest Imaging Manifestations of Different NTM Cases
3.4. BACTEC MGIT 960 Culture and Drug Sensitivity Test Results of Four Groups of Mycobacteria
3.5. Correlation Analysis of the Clinical Indicators of Cases with Different NTM Pulmonary Diseases
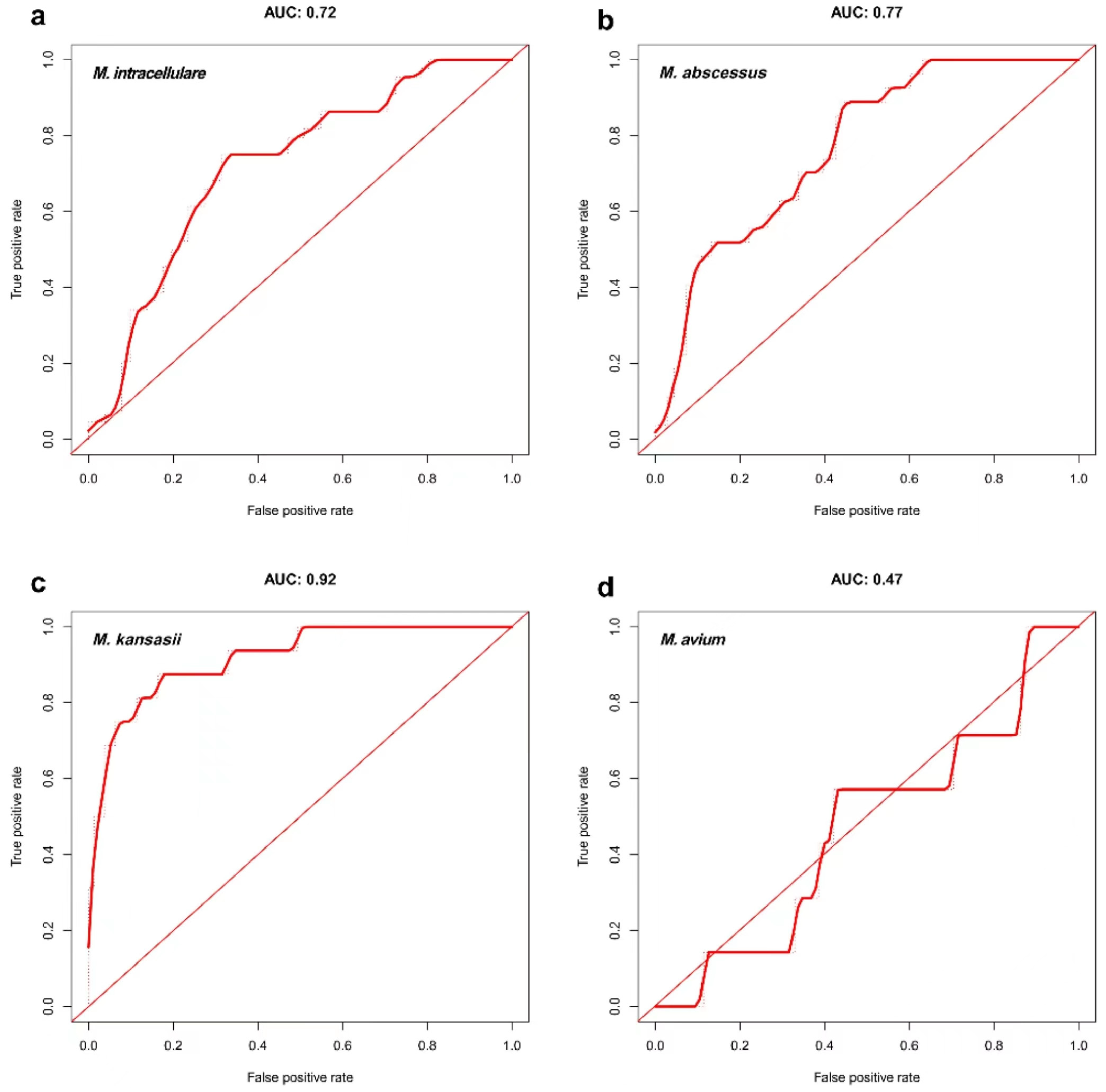
3.6. AUC Analysis on Correlation Matrix Models of Mycobacteria in Four Groups
4. Discussion
Author Contributions
Funding
Institutional Review Board Statement
Data Availability Statement
Conflicts of Interest
References
- Daley, C.L.; Iaccarino, J.M.; Lange, C.; Cambau, E.; Wallace, R.J., Jr.; Andrejak, C.; Böttger, E.C.; Brozek, J.; Griffith, D.E.; Guglielmetti, L.; et al. Treatment of nontuberculous mycobacterial pulmonary disease: An official ATS/ERS/ESCMID/IDSA clinical practice guideline. Eur. Respir. J. 2020, 56, 2000535. [Google Scholar] [CrossRef]
- Griffith, D.E.; Aksamit, T.; Brown-Elliott, B.A.; Catanzaro, A.; Daley, C.; Gordin, F.; Holland, S.M.; Horsburgh, R.; Huitt, G.; Iademarco, M.F.; et al. An official ATS/IDSA statement: Diagnosis, treatment, and prevention of nontuberculous mycobacterial diseases. Am. J. Respir. Crit. Care Med. 2007, 175, 367–416. [Google Scholar] [CrossRef] [PubMed]
- Haworth, C.S.; Banks, J.; Capstick, T.; Fisher, A.J.; Gorsuch, T.; Laurenson, I.F.; Leitch, A.; Loebinger, M.R.; Milburn, H.J.; Nightingale, M.; et al. British Thoracic Society guidelines for the management of non-tuberculous mycobacterial pulmonary disease (NTM-PD). Thorax 2017, 72, ii1–ii64. [Google Scholar] [CrossRef]
- Bryant, J.M.; Grogono, D.M.; Greaves, D.; Foweraker, J.; Roddick, I.; Inns, T.; Reacher, M.; Haworth, C.S.; Curran, M.D.; Harris, S.R.; et al. Whole-genome sequencing to identify transmission of Mycobacterium abscessus between patients with cystic fibrosis: A retrospective cohort study. Lancet 2013, 381, 1551–1560. [Google Scholar] [CrossRef]
- Bryant, J.M.; Grogono, D.M.; Rodriguez-Rincon, D.; Everall, I.; Brown, K.P.; Moreno, P.; Verma, D.; Hill, E.; Drijkoningen, J.; Gilligan, P.; et al. Emergence and spread of a human-transmissible multidrug-resistant nontuberculous mycobacterium. Science 2016, 354, 751–757. [Google Scholar] [CrossRef]
- DeFlorio-Barker, S.; Egorov, A.; Smith, G.S.; Murphy, M.S.; Stout, J.E.; Ghio, A.J.; Hudgens, E.E.; Messier, K.P.; Maillard, J.M.; Hilborn, E.D. Environmental risk factors associated with pulmonary isolation of nontuberculous mycobacteria, a population-based study in the southeastern United States. Sci. Total Environ. 2021, 763, 144552. [Google Scholar] [CrossRef]
- Raju, R.M.; Raju, S.M.; Zhao, Y.; Rubin, E.J. Leveraging Advances in Tuberculosis Diagnosis and Treatment to Address Nontuberculous Mycobacterial Disease. Emerg. Infect. Dis. 2016, 22, 365–369. [Google Scholar] [CrossRef]
- Shahraki, A.H.; Heidarieh, P.; Bostanabad, S.Z.; Khosravi, A.D.; Hashemzadeh, M.; Khandan, S.; Biranvand, M.; Schraufnagel, D.E.; Mirsaeidi, M. “Multidrug-resistant tuberculosis” may be nontuberculous mycobacteria. Eur. J. Intern. Med. 2015, 26, 279–284. [Google Scholar] [CrossRef]
- Sarro, Y.D.; Kone, B.; Diarra, B.; Kumar, A.; Kodio, O.; Fofana, D.B.; Achenbach, C.J.; Beavogui, A.H.; Seydi, M.; Holl, J.L.; et al. Simultaneous diagnosis of tuberculous and non-tuberculous mycobacterial diseases: Time for a better patient management. Clin. Microbiol. Infect. Dis. 2018, 3, 1–4. [Google Scholar] [CrossRef]
- Kim, H.O.; Lee, K.; Choi, H.K.; Ha, S.; Lee, S.M.; Seo, G.H. Incidence, comorbidities, and treatment patterns of nontuberculous mycobacterial infection in South Korea. Medicine 2019, 98, e17869. [Google Scholar] [CrossRef]
- Xu, D.; Han, C.; Wang, M.S.; Wang, J.L. Increasing prevalence of non-tuberculous mycobacterial infection from 2004–2009 to 2012–2017: A laboratory-based surveillance in China. J. Infect. 2018, 76, 422–424. [Google Scholar] [CrossRef] [PubMed]
- Winthrop, K.L.; Marras, T.K.; Adjemian, J.; Zhang, H.; Wang, P.; Zhang, Q. Incidence and Prevalence of Nontuberculous Mycobacterial Lung Disease in a Large U.S. Managed Care Health Plan, 2008–2015. Ann. Am. Thorac. Soc. 2020, 17, 178–185. [Google Scholar] [CrossRef] [PubMed]
- Brode, S.K.; Daley, C.L.; Marras, T.K. The epidemiologic relationship between tuberculosis and non-tuberculous mycobacterial disease: A systematic review. Int. J. Tuberc. Lung Dis. Off. J. Int. Union Against Tuberc. Lung Dis. 2014, 18, 1370–1377. [Google Scholar] [CrossRef] [PubMed]
- Park, S.C.; Kang, M.J.; Han, C.H.; Lee, S.M.; Kim, C.J.; Lee, J.M.; Kang, Y.A. Prevalence, incidence, and mortality of nontuberculous mycobacterial infection in Korea: A nationwide population-based study. BMC Pulm. Med. 2019, 19, 140. [Google Scholar] [CrossRef] [PubMed]
- Adjemian, J.; Olivier, K.N.; Seitz, A.E.; Holland, S.M.; Prevots, D.R. Prevalence of nontuberculous mycobacterial lung disease in U.S. Medicare beneficiaries. Am. J. Respir. Crit. Care Med. 2012, 185, 881–886. [Google Scholar] [CrossRef] [PubMed]
- Tan, Y.; Su, B.; Shu, W.; Cai, X.; Kuang, S.; Kuang, H.; Liu, J.; Pang, Y. Epidemiology of pulmonary disease due to nontuberculous mycobacteria in Southern China, 2013–2016. BMC Pulm. Med. 2018, 18, 168. [Google Scholar] [CrossRef]
- Lee, M.R.; Chang, L.Y.; Ko, J.C.; Wang, H.C.; Huang, Y.W. Nontuberculous mycobacterial lung disease epidemiology in Taiwan: A systematic review. J. Formos. Med. Assoc. Taiwan Yi Zhi 2020, 119 (Suppl. S1), S4–S12. [Google Scholar] [CrossRef] [PubMed]
- Morimoto, K.; Hasegawa, N.; Izumi, K.; Namkoong, H.; Uchimura, K.; Yoshiyama, T.; Hoshino, Y.; Kurashima, A.; Sokunaga, J.; Shibuya, S.; et al. A Laboratory-based Analysis of Nontuberculous Mycobacterial Lung Disease in Japan from 2012 to 2013. Ann. Am. Thorac. Soc. 2017, 14, 49–56. [Google Scholar] [CrossRef]
- Zweijpfenning, S.M.H.; Ingen, J.V.; Hoefsloot, W. Geographic Distribution of Nontuberculous Mycobacteria Isolated from Clinical Specimens: A Systematic Review. Semin. Respir. Crit. Care Med. 2018, 39, 336–342. [Google Scholar] [CrossRef]
- Sadamatsu, H.; Takahashi, K.; Tashiro, H.; Kusaba, K.; Haraguchi, T.; Kurihara, Y.; Komiya, N.; Nakashima, C.; Nakamura, T.; Kimura, S.; et al. A Low Body Mass Index Is Associated with Unsuccessful Treatment in Patients with Mycobacterium avium Complex Pulmonary Disease. J. Clin. Med. 2021, 10, 1576. [Google Scholar] [CrossRef]
- Andréjak, C.; Almeida, D.V.; Tyagi, S.; Converse, P.J.; Ammerman, N.C.; Grosset, J.H. Characterization of mouse models of Mycobacterium avium complex infection and evaluation of drug combinations. Antimicrob. Agents Chemother. 2015, 59, 2129–2135. [Google Scholar] [CrossRef] [PubMed]
- Chu, H.; Li, B.; Zhao, L.; Huang, D.; Xu, J.; Zhang, J.; Gui, T.; Xu, L.; Luo, L.; Zhang, Z.; et al. Tree-in-bud pattern of chest CT images for diagnosis of Mycobacterium abscesses. Int. J. Clin. Exp. Med. 2015, 8, 18705–18712. [Google Scholar] [PubMed]
- Park, H.K.; Koh, W.J.; Shim, T.S.; Kwon, O.J. Clinical characteristics and treatment outcomes of Mycobacterium kansasii lung disease in Korea. Yonsei Med. J. 2010, 51, 552–556. [Google Scholar] [CrossRef] [PubMed]
- Johnston, J.C.; Chiang, L.; Elwood, K. Mycobacterium kansasii. Microbiol. Spectr. 2017, 5, 725–734. [Google Scholar] [CrossRef] [PubMed]
- Matveychuk, A.; Fuks, L.; Priess, R.; Hahim, I.; Shitrit, D. Clinical and radiological features of Mycobacterium kansasii and other NTM infections. Respir. Med. 2012, 106, 1472–1477. [Google Scholar] [CrossRef]
- Zhao, J.; Jiang, C.; Wang, Y.; Wang, H. Evaluate the application value of tuberculosisi antibody and enzyme-linked immuno-spot assay used for tuberculosis. Chin. J. Antituberc. 2009, 31, 19–21. [Google Scholar]
- Zhang, S.; Yang, C.; Fan, L. Analysis of the diagnostic efficacy of serum tuberculosis antibody in active tuberculosis. Chin. J. Antituberc. 2018, 40, 20–25. [Google Scholar]
- Kwon, Y.S.; Koh, W.J. Diagnosis and Treatment of Nontuberculous Mycobacterial Lung Disease. J. Korean Med. Sci. 2016, 31, 649–659. [Google Scholar] [CrossRef]
- Zhou, L.; Xu, D.; Liu, H.; Wan, K.; Wang, R.; Yang, Z. Trends in the Prevalence and Antibiotic Resistance of Non-tuberculous Mycobacteria in Mainland China, 2000–2019: Systematic Review and Meta-Analysis. Front. Public Health 2020, 8, 295. [Google Scholar] [CrossRef]
- Mirsaeidi, M.; Farshidpour, M.; Allen, M.B.; Ebrahimi, G.; Falkinham, J.Q. Highlight on advances in nontuberculous mycobacterial disease in North America. BioMed Res. Int. 2014, 2014, 919474. [Google Scholar] [CrossRef] [PubMed]
- Cheng, L.P.; Chen, S.H.; Lou, H.; Gui, X.W.; Shen, X.N.; Cao, J.; Sha, W.; Sun, Q. Factors Associated with Treatment Outcome in Patients with Nontuberculous Mycobacterial Pulmonary Disease: A Large Population-Based Retrospective Cohort Study in Shanghai. Trop. Med. Infect. Dis. 2022, 7, 27. [Google Scholar] [CrossRef] [PubMed]
- Weng, Y.W.; Huang, C.K.; Sy, C.L.; Wu, K.S.; Tsai, H.c.; Lee, S.S. Treatment for Mycobacterium abscessus complex-lung disease. J. Formos. Med. Assoc. 2020, 119 (Suppl. S1), S58–S66. [Google Scholar] [CrossRef] [PubMed]





| Baseline Data | M. intracellulare Group (224 Cases) | M. abscessus Group (138 Cases) | M. kansasii Group (84 Cases) | M. avium Group (36 cases) | Test Value | p Value |
|---|---|---|---|---|---|---|
| Age (years, mean ± SD) | 60 ± 14 | 58 ± 14 | 48 ± 16 | 57 ± 15 | 12.49 | <0.001 |
| Sex (cases, %) | ||||||
| Male | 93 (41.5) | 30 (21.7) | 76 (90.5) | 16 (44.4) | 101.60 | <0.001 |
| Female | 131 (58.5) | 108 (78.3) | 8 (9.5) | 20 (55.6) | ||
| Previous history (cases, %) | ||||||
| Pulmonary tuberculosis | 78 (34.8) | 48 (34.8) | 8 (9.5) | 6 (16.7) | 24.04 | <0.001 |
| Chronic obstructive pulmonary disease (COPD) | 18 (8.0) | 11 (8.0) | 7 (8.3) | 2 (5.6) | 0.30 | 0.96 * |
| Bronchiectasia | 105 (46.9) | 90 (65.2) | 8 (9.5) | 15 (41.7) | 65.92 | <0.001 |
| Bronchial asthma | 27 (12.1) | 15 (10.9) | 7 (8.3) | 2 (5.6) | 1.58 | 0.666 * |
| Chronic bronchitis | 36 (16.1) | 12 (8.7) | 8 (9.5) | 7 (19.4) | 6.34 | 0.092 * |
| Smoking history (cases, %) | 141 (62.9) | 78 (56.5) | 48 (57.1) | 17 (47.2) | 3.97 | 0.266 |
| BMI (kg/m2) | 18.9 ± 3.0 | 19.4 ± 3.1 | 20.1 ± 2.8 | 19.6 ± 3.1 | 3.05 | 0.029 |
| Symptoms (cases, %) | ||||||
| Cough | 210 (93.8) | 131 (94.9) | 74 (88.1) | 35 (97.2) | 4.43 | 0.202 * |
| Duration of cough (≥6 months) | 159 (71.0) | 92 (66.7) | 23 (27.4) | 20 (55.6) | 51.60 | <0.001 |
| Expectoration | 203 (90.6) | 129 (93.5) | 72 (85.7) | 34 (94.4) | 4.00 | 0.254 * |
| Fever | 50 (22.3) | 34 (24.6) | 18 (21.4) | 7 (19.4) | 0.61 | 0.895 |
| Hemoptysis | 80 (35.7) | 70 (50.7) | 23 (27.4) | 12 (33.3) | 14.25 | 0.002 |
| Fatigue | 148 (66.1) | 95 (68.8) | 47 (56.0) | 22 (61.1) | 4.24 | 0.237 |
| Chest tightness | 146 (65.2) | 92 (66.7) | 44 (52.4) | 22 (61.1) | 5.37 | 0.147 |
| Chest pain | 48 (21.4) | 32 (23.2) | 15 (17.9) | 6 (16.7) | 1.33 | 0.721 |
| Emaciation | 68 (30.4) | 38 (27.5) | 12 (14.3) | 6 (16.7) | 10.05 | 0.018 |
| Laboratory examination (mean ± SD) | ||||||
| Positive T-Spot (cases, %) | 52 (23.2) | 42 (30.4) | 48 (57.1) | 11 (30.6) | 32.67 | <0.001 |
| Positive serum TB antibody (cases, %) | 104 (46.4) | 91 (65.9) | 34 (40.5) | 16 (44.4) | 18.54 | <0.001 |
| Hemoglobin (g/L) | 120.2 ± 18.1 | 119.8 ± 15.7 | 121.4 ± 15.6 | 119.3 ± 24.5 | 0.19 | 0.906 |
| Leucocyte (×109/L) | 6.2 ± 2.2 | 6.3 ± 2.9 | 6.6 ± 2.3 | 5.9 ± 1.9 | 0.86 | 0.461 |
| Albumin (g/L) | 37.2 ± 4.7 | 37.9 ± 4.4 | 37.2 ± 6.6 | 37.9 ± 4.4 | 0.87 | 0.461 |
| ESR (mm/H) | 44.4 ± 33.7 | 38.6 ± 29.7 | 33.3 ± 26.8 | 40.3 ± 36.4 | 3.11 | 0.029 |
| CT Manifestations | M. intracellulare Group (224 Cases) | M. abscessus Group (138 Cases) | M. kansasii Group (84 Cases) | M. avium Group (36 Cases) | χ2 Value | p Value |
|---|---|---|---|---|---|---|
| Stripe shadow | 151 (67.4) | 91 (65.9) | 46 (54.8) | 28 (77.8) | 7.07 | 0.070 |
| Patchy shadow | 154 (68.8) | 114 (82.6) | 70 (83.3) | 31 (86.1) | 14.40 | 0.002 |
| Tree-in-bud sign | 93 (41.5) | 56 (40.6) | 22 (26.2) | 12 (33.3) | 6.87 | 0.076 |
| Nodular shadow | 183 (81.7) | 114 (82.6) | 58 (69.0) | 27 (75.0) | 7.48 | 0.058 |
| Pleural thickening or pleural effusion | 138 (61.6) | 93 (67.4) | 32 (38.1) | 20 (55.6) | 19.94 | <0.001 |
| Mediastinal lymph node enlargement or calcification | 37 (16.5) | 29 (21.0) | 6 (7.1) | 4 (11.1) | 8.25 | 0.041 |
| Emphysema, bullae | 86 (38.4) | 36 (26.1) | 29 (34.5) | 12 (33.0) | 5.80 | 0.122 |
| Bronchiectasia | 170 (75.9) | 116 (84.1) | 29 (34.5) | 28 (77.8) | 69.34 | <0.001 |
| Cavity | 128 (57.1) | 54 (39.1) | 72 (85.7) | 19 (56.6) | 46.38 | <0.001 |
| Centrilobular tubercle | 95 (42.4) | 57 (41.3) | 29 (34.5) | 13 (36.1) | 1.90 | 0.593 |
| Number of involved lung fields (>3) | 186 (83.0) | 97 (70.3) | 35 (41.7) | 25 (69.4) | 51.10 | <0.001 |
Disclaimer/Publisher’s Note: The statements, opinions and data contained in all publications are solely those of the individual author(s) and contributor(s) and not of MDPI and/or the editor(s). MDPI and/or the editor(s) disclaim responsibility for any injury to people or property resulting from any ideas, methods, instructions or products referred to in the content. |
© 2023 by the authors. Licensee MDPI, Basel, Switzerland. This article is an open access article distributed under the terms and conditions of the Creative Commons Attribution (CC BY) license (https://creativecommons.org/licenses/by/4.0/).
Share and Cite
Lou, H.; Zou, A.; Shen, X.; Fang, Y.; Sun, Q.; Zhang, F.; Sha, W. Clinical Features of Nontuberculous Mycobacterial Pulmonary Disease in the Yangtze River Delta of China: A Single-Center, Retrospective, Observational Study. Trop. Med. Infect. Dis. 2023, 8, 50. https://doi.org/10.3390/tropicalmed8010050
Lou H, Zou A, Shen X, Fang Y, Sun Q, Zhang F, Sha W. Clinical Features of Nontuberculous Mycobacterial Pulmonary Disease in the Yangtze River Delta of China: A Single-Center, Retrospective, Observational Study. Tropical Medicine and Infectious Disease. 2023; 8(1):50. https://doi.org/10.3390/tropicalmed8010050
Chicago/Turabian StyleLou, Hai, Ansheng Zou, Xiaona Shen, Yong Fang, Qin Sun, Fen Zhang, and Wei Sha. 2023. "Clinical Features of Nontuberculous Mycobacterial Pulmonary Disease in the Yangtze River Delta of China: A Single-Center, Retrospective, Observational Study" Tropical Medicine and Infectious Disease 8, no. 1: 50. https://doi.org/10.3390/tropicalmed8010050
APA StyleLou, H., Zou, A., Shen, X., Fang, Y., Sun, Q., Zhang, F., & Sha, W. (2023). Clinical Features of Nontuberculous Mycobacterial Pulmonary Disease in the Yangtze River Delta of China: A Single-Center, Retrospective, Observational Study. Tropical Medicine and Infectious Disease, 8(1), 50. https://doi.org/10.3390/tropicalmed8010050

