Expanded Dengue and the Digestive System: A Systematic Review and Meta-Analysis
Abstract
1. Introduction
2. Methods
2.1. Study Protocol
2.2. Study Design
2.3. Eligibility Criteria
2.4. Information Sources
2.5. Search Strategies
2.6. Selection Process
2.7. Data Collection and Analysis
2.8. Variables
2.9. Individual Biases and Quality
2.10. Synthesis Method
2.11. Publication Bias
2.12. Certainty of Evidence Assessment
3. Results
3.1. Study Characteristics
3.2. Risk of Bias
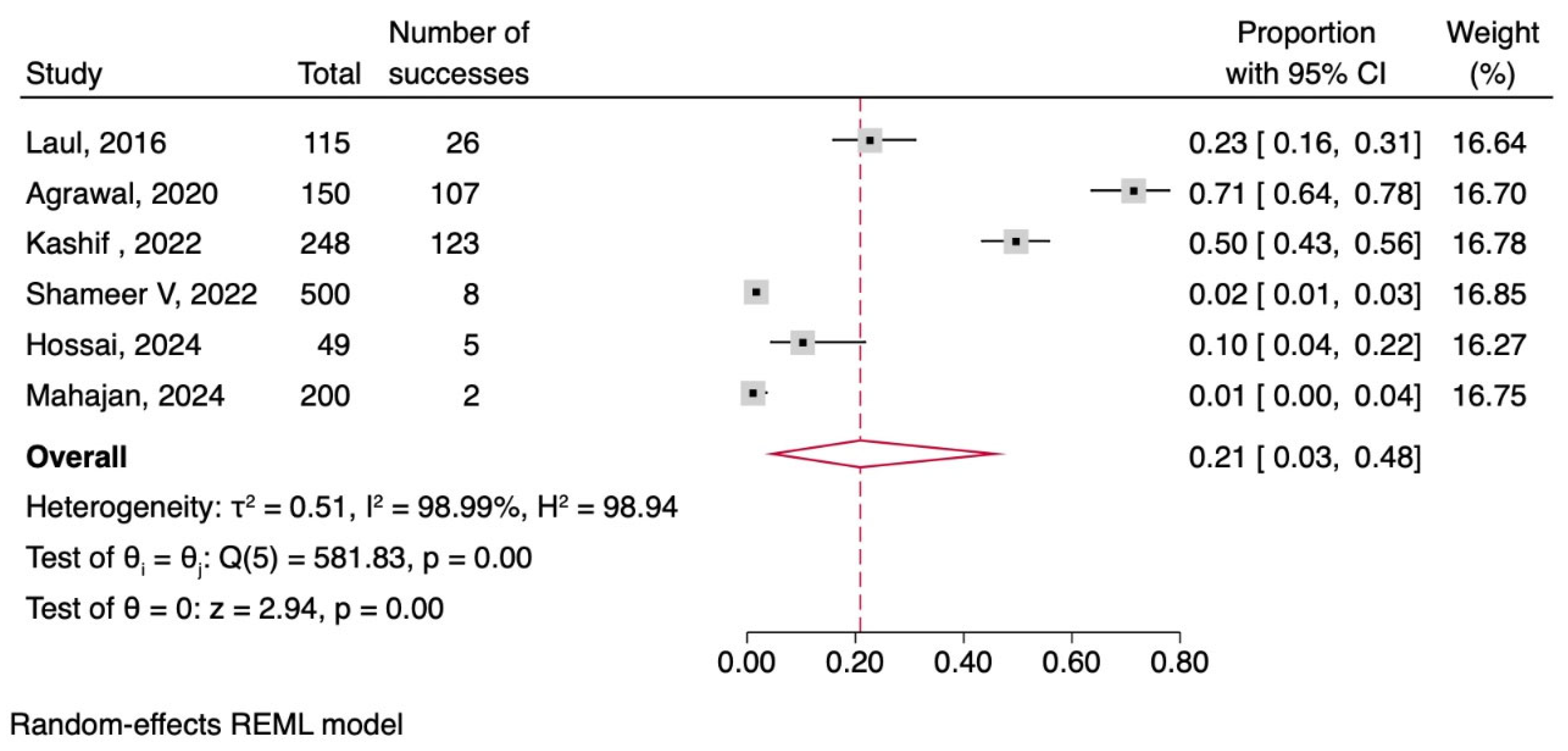
3.3. Frequency of Gastrointestinal Manifestations in Expanded Dengue Syndrome
3.4. Sensitivity Analyses
3.5. Source of Heterogeneity
3.6. Assessment of Publication Bias
4. Discussion
5. Conclusions
Supplementary Materials
Author Contributions
Funding
Data Availability Statement
Acknowledgments
Conflicts of Interest
References
- Ahmed, M.; Wasim, M.A.; Kazi, A.N.; Akber, H.; Sheikh, M.; Patel, M.J. A curious case of expanded dengue syndrome. Trop. Dr. 2024, 54, 179–181. [Google Scholar] [CrossRef]
- Misra, K.C.; Srinivas, G.; Kumar, N.; Munta, K.; Hariprasad, A.; Kumar, S. Transfusion associated graft versus host disease following whole blood transfusion: An unusual case of expanded dengue syndrome. Int. J. Adv. Med. 2025, 12, 228–231. [Google Scholar] [CrossRef]
- Wulandari, K.T.; Tikto, T. A Patient with Expanded Dengue Syndrom. Eduvest J. Univers. Stud. 2021, 1, 17–20. [Google Scholar] [CrossRef]
- Umakanth, M.; Suganthan, N. Unusual Manifestations of Dengue Fever: A Review on Expanded Dengue Syndrome. Cureus 2020, 12, e10678. [Google Scholar] [CrossRef]
- Paz-Bailey, G.; Adams, L.E.; Deen, J.; Anderson, K.B.; Katzelnick, L.C. Dengue. Lancet 2024, 403, 667–682. [Google Scholar] [CrossRef]
- Biswas, U.; León-Ruiz, M.; Ghosh, R.; Joarder, U.; Islam, K.M.; Bheeman, R.; Benito-León, J. An Intriguing Case of Expanded Dengue Syndrome With Co-existing Encephalitis, Pancreatitis, and Hepatitis: The Classic Thalamic “Double-Doughnut” Sign Revisited. Neurohospitalist 2024, 14, 316–321. [Google Scholar] [CrossRef] [PubMed]
- Page, M.J.; McKenzie, J.E.; Bossuyt, P.M.; Boutron, I.; Hoffmann, T.C.; Mulrow, C.D.; Shamseer, L.; Tetzlaff, J.M.; Akl, E.A.; Brennan, S.E.; et al. The PRISMA 2020 statement: An updated guideline for reporting systematic reviews. PLoS Med. 2021, 18, n71. [Google Scholar] [CrossRef] [PubMed]
- Munn, Z.; MClinSc, S.M.; Lisy, K.; Riitano, D.; Tufanaru, C. Methodological guidance for systematic reviews of observational epidemiological studies reporting prevalence and cumulative incidence data. Int. J. Evid.-Based Healthc. 2015, 13, 147–153. [Google Scholar] [CrossRef]
- Holt, J.; Bhar, S.; Schofield, P.; Koder, D.; Owen, P.; Seitz, D.; Bhowmik, J. Protocol for a systematic review and meta-analysis of the prevalence of mental illness among nursing home residents. Syst. Rev. 2024, 13, 109. [Google Scholar] [CrossRef]
- Migliavaca, C.B.; Stein, C.; Colpani, V.; Munn, Z.; Falavigna, M. Quality assessment of prevalence studies: A systematic review. J. Clin. Epidemiol. 2020, 127, 59–68. [Google Scholar] [CrossRef] [PubMed]
- Mahajan, V.; Singh, J.; Guglani, V. Clinical Profile of Expanded Dengue Syndrome in Children. Pediatr. Infect. Dis. J. 2024, 43, e366–e368. [Google Scholar] [CrossRef] [PubMed]
- Laul, A.; Laul, P.; Merugumala, V.; Pathak, R.; Miglani, U.; Saxena, P. Clinical Profiles of Dengue Infection during an Outbreak in Northern India. J. Trop. Med. 2016, 2016, 5917934. [Google Scholar] [CrossRef]
- Agrawal, B.K.; Gahlawat, R.; Mathew, M.; Aggarwal, G.; Agrawal, U. Clinical Profile of Dengue Fever and Associated Expanded Dengue Syndrome in a Tertiary Care Hospital. Indian J. Public Health Res. Dev. 2020, 11, 170–175. [Google Scholar] [CrossRef]
- Shameer, V.K.; Rajasi, R.S.; Abdul Kadar, S.; Anoop, K.K. Gastrointestinal manifestations of dengue fever and their association with dengue mortality in a tertiary care hospital setting in North Kerala. Int. J. Pharm. Clin. Res. 2022, 14, 597–603. [Google Scholar]
- Riaz, M.; Harun, S.N.B.; Mallhi, T.H.; Khan, Y.H.; Butt, M.H.; Husain, A.; Khan, M.M.; Khan, A.H. Evaluation of clinical and laboratory characteristics of dengue viral infection and risk factors of dengue hemorrhagic fever: A multi-center retrospective analysis. BMC Infect. Dis. 2024, 24, 500. [Google Scholar] [CrossRef]
- Rasool, F.K.; Nageen, A.; Rasool, A.K.; Bashir, F. Acalculous Cholecystitis in Dengue. J. Liaquat Univ. Med. Health Sci. 2022, 21, 270–275. [Google Scholar] [CrossRef]
- Hossain, Z.; Chowdhury, F.U.; Bari, M.A.; Deb, S.R.; Mallik, U.; Aman, S.; Haque, M.A.; Ahmed, S.S.; Mohammad, W.; Bulbul, A.; et al. Clinical and laboratory profile of Expanded Dengue Syndrome: Experience of 2019 outbreak from Dhaka, Bangladesh. J. Vector Borne Dis. 2024, 61, 123–128. [Google Scholar] [CrossRef] [PubMed]
- Cochrane Handbook for Systematic Reviews of Interventions|Cochrane. Available online: https://www.cochrane.org/authors/handbooks-and-manuals/handbook (accessed on 7 January 2026).
- World Health Organization. Comprehensive Guideline for Prevention and Control of Dengue and Dengue Haemorrhagic Fever. Revised and Expanded Edition. Published online December 31, 2011:196. Available online: https://iris.who.int/handle/10665/204894 (accessed on 23 February 2026).
- Bhatt, S.; Gething, P.W.; Brady, O.J.; Messina, J.P.; Farlow, A.W.; Moyes, C.L.; Drake, J.M.; Brownstein, J.S.; Hoen, A.G.; Sankoh, O.; et al. The global distribution and burden of dengue. Nature 2013, 496, 504–507. [Google Scholar] [CrossRef]
- Sánchez Rodríguez, E.; García García de Paredes, A.; Albillos, A. Current management of idiopathic acute pancreatitis and recurrent acute pancreatitis. Rev. Clin. Esp. 2019, 219, 266–274. [Google Scholar] [CrossRef]
- International Association of Pancreatology. 2025 guide on acute pancreatitis: Comprehensive update and key recommendations. Pancreatology 2025, 25, 770–814. [Google Scholar] [CrossRef]
- Alves, F.D.A.V.; Oliveira, L.D.L.S.; Salomão, N.G.; Provance, D.W., Jr.; Basilio-de-Oliveira, C.A.; Basílio-de-Oliveira, R.; Moragas, L.J.; de Carvalho, J.J.; Mohana-Borges, R.; Rabelo, K.; et al. Cytokines and inflammatory mediators: Markers involved in interstitial damage to the pancreas in two dengue fever cases associated with acute pancreatitis. PLoS ONE 2022, 17, e0262785. [Google Scholar] [CrossRef]
- Riccò, M.; Cascio, A.; Pipitò, L.; Bottazzoli, M.; Manzoni, P.; Brandolisio, L.R.; Nobili, C.; Giuri, P.G. Dengue and Acute Pancreatitis: A Systematic Review. Trop. Med. Infect. Dis. 2025, 10, 330. [Google Scholar] [CrossRef]
- Arredondo-Nontol, M.; Arredondo-Nontol, R.; Fernández-Guzmán, D.; Ccami-Bernal, F.; Arredondo-Reto, M.N.; Cabrera-Hipólito, S.E.; Ugas-Charcape, C.F. Dengue as an uncommon cause of acute pancreatitis in a pediatric patient with obesity. Rev. Mex. Pediatr. 2022, 89, 254–258. (In Spanish) [Google Scholar] [CrossRef]
- Munmun, S.R.; Nahar, L.; Khan, M.R.A.; Haque, S.; Chowdhury, Z.; Ferdousi, A.; Akhter, S. Gastrointestinal and Hepatic Manifestation of Dengue and its Role in Prediction of Severity in Children. Faridpur Med. Coll. J. 2025, 20, 7–12. [Google Scholar] [CrossRef]
- Leowattana, W.; Leowattana, T. Dengue hemorrhagic fever and the liver. World J. Hepatol. 2021, 13, 1968–1976. [Google Scholar] [CrossRef]
- Prajapati, R.; Mehta, R.; Kabrawala, M.; Nandwani, S.; Patel, N.; Sethia, M.; Magnani, K.; Tandel, R.; Kumar, A. Dengue hepatitis: Incidence, spectrum and outcome. Indian J. Gastroenterol. 2023, 42, 355–360. [Google Scholar] [CrossRef] [PubMed]
- Srivastava, G.; Chhavi, N. Dengue Encephalitis and Dengue Hepatitis in an Infant. Neurol. India 2022, 70, 790–791. [Google Scholar] [CrossRef]
- Gallaher, J.R.; Charles, A. Acute Cholecystitis: A Review. JAMA 2022, 327, 965–975. [Google Scholar] [CrossRef] [PubMed]
- Jones, M.W.; Santos, G.; Patel, P.J. Acalculous Cholecystitis. StatPearls. Published online 15 June 2025. Available online: https://www.ncbi.nlm.nih.gov/books/NBK459182/ (accessed on 25 December 2025).
- Lai, Y.T.; Kalimuddin, S.; Ng, H.J.H.; Tay, G.C.A. Acute acalculous cholecystitis in dengue fever: A case series. Singap. Med. J. 2021, 65, 364. [Google Scholar] [CrossRef]
- Htun, T.P.; Xiong, Z.; Pang, J. Clinical signs and symptoms associated with WHO severe dengue classification: A systematic review and meta-analysis. Emerg. Microbes Infect. 2021, 10, 1116. [Google Scholar] [CrossRef]
- Moris, D.; Paulson, E.K.; Pappas, T.N. Diagnosis and Management of Acute Appendicitis in Adults: A Review. JAMA 2021, 326, 2299–2311. [Google Scholar] [CrossRef]
- Jumah, S.; Wester, T. Non-operative management of acute appendicitis in children. Pediatr. Surg. Int. 2022, 39. [Google Scholar] [CrossRef] [PubMed]
- Kolapo, A.R.; Johnson, B.O. Acute Appendicitis Occurring in Dengue Fever: A Case Report and Review of the Literature. Case Rep. Infect. Dis. 2025, 2025, 4654968. [Google Scholar] [CrossRef] [PubMed]
- Mcfarlane, M.E.C.; Plummer, J.M.; Leake, P.A.; Powell, L.; Chand, V.; Chung, S.; Tulloch, K. Dengue fever mimicking acute appendicitis: A case report. Int. J. Surg. Case Rep. 2013, 4, 1032–1034. [Google Scholar] [CrossRef]
- Osuna-Ramos, J.F.; Silva-Gracia, C.; Maya-Vacio, G.J.; Romero-Utrilla, A.; Ríos-Burgueño, E.R.; Velarde-Félix, J.S. Coexistence of acute appendicitis and dengue fever: A case report. Cir. Cir. 2017, 85, 44–48. [Google Scholar] [CrossRef]
- Soltani, S.; Kesheh, M.M.; Siri, G.; Faramarzi, S.; Shahbahrami, R.; Didehdar, M.; Erfani, Y.; Farahani, A. The role of viruses in human acute appendicitis: A systematic literature review. Int. J. Colorectal Dis. 2023, 38, 102. [Google Scholar] [CrossRef]
- Kim, J. Gastrointestinal Tract Involvement in Dengue Virus Pathogenesis. Ph.D. Thesis, The University of Queensland, St Lucia, Australia, 2024. [Google Scholar] [CrossRef]
- Pothapregada, S.; Kamalakannan, B.; Thulasingam, M. Clinical Profile of Atypical Manifestations of Dengue Fever. Indian J. Pediatr. 2016, 83, 493. [Google Scholar] [CrossRef]
- Yuan, K.; Chen, Y.; Zhong, M.; Lin, Y.; Liu, L. Risk and predictive factors for severe dengue infection: A systematic review and meta-analysis. PLoS ONE 2022, 17, e0267186. [Google Scholar] [CrossRef]
- Kharwadkar, S.; Herath, N. Clinical manifestations of dengue, Zika and chikungunya in the Pacific Islands: A systematic review and meta-analysis. Rev. Med. Virol. 2024, 34, e2521. [Google Scholar] [CrossRef]
- Guzman, M.G.; Gubler, D.J.; Izquierdo, A.; Martinez, E.; Halstead, S.B. Dengue infection. Nat. Rev. Dis. Primers 2016, 2, 16055. [Google Scholar] [CrossRef] [PubMed]
- Campana, V.; Inizan, C.; Pommier, J.D.; Menudier, L.Y.; Vincent, M.; Lecuit, M.; Lamballerie, X.D.; Dupont-Rouzeyrol, M.; Murgue, B.; Cabié, A. Liver involvement in dengue: A systematic review. Rev. Med. Virol. 2024, 34, e2564. [Google Scholar] [CrossRef] [PubMed]


| Author, Year | Country | N° Patients/N° Cases n (%) | Age (Years) | Males n (%) | Study Design |
|---|---|---|---|---|---|
| Laul, 2016 [12] | India |
115/26 (22.6%) | 31.36 ± 13.17 * | 64 (55.7%) | Cross-sectional study |
| Agrawal, 2020 [13] | India |
150/107 (71.3%) | 35.03 ± 13.75 * | 107 (71.3%) | Retrospective cohort study |
| Shameer, 2022 [14] | India |
500/26 (5.2%) | 42 ± 15 * | 326 (65.2%) | Cross-sectional study |
| Kashif, 2022 [16] | Pakistan |
248/123 (49.6%) | 28.7 ± 11.1 * | 134 (54.0%) | Cross-sectional study |
| Mahajan, 2024 [11] | India |
200/10 (5.0%) | 12 (8–15) ** | 178 (89.0%) | Retrospective cohort study |
| Hossain, 2024 [17] | Bangladesh |
49/25 (51.0%) | 33 ± 9 * | 31 (63.3%) | Cross-sectional study |
| Riaz, 2024 [15] | Pakistan |
512/24 (4.7%) | 34.1 ± 15.1 * | 356 (69.5%) | Retrospective cohort study |
| LIVER | |||||
| Study | Disease | Population | Cases | Age Group | Diagnostic Tool for Dengue |
| Shameer, 2022 [14] | Fulminant hepatic failure | 500 | 10 | Pediatric and Adults | NS1 or/and IgM |
| Mahajan, 2024 [11] | Fulminant hepatic failure | 200 | 6 | Pediatric | NS1 or/and IgM |
| Hossain, 2024 [17] | Hepatitis | 49 | 16 | Adults | NS1 or/and IgM |
| Riaz, 2024 [15] | Fulminant hepatic failure | 512 | 24 | Adults | RT-PCR/ELIZA/NS1 or/and IgM |
| PANCREAS | |||||
| Study | Disease | Population | Cases | AgeGroup | Diagnostic Tool for Dengue |
| Shameer, 2022 [14] | Acute pancreatitis | 500 | 7 | Pediatric and Adults | NS1 or/and IgM |
| Mahajan, 2024 [11] | Acute pancreatitis | 200 | 2 | Pediatric | NS1 or/and IgM |
| Hossain, 2024 [17] | Acute pancreatitis | 49 | 6 | Adults | NS1 or/and IgM |
| GALLBLADDER | |||||
| Study | Disease | Population | Cases | AgeGroup | Diagnostic Tool for Dengue |
| Laul, 2016 [12] | Acalculous cholecystitis | 115 | 26 | Adults | NS1 or/and IgM |
| Agrawal, 2020 [13] | Acalculous cholecystitis | 150 | 107 | Adults | NS1 or/and IgM |
| Shameer, 2022 [14] | Acalculous cholecystitis | 500 | 8 | Pediatric and Adults | NS1 or/and IgM |
| Kashif, 2022 [16] | Acalculous cholecystitis | 248 | 123 | Adults | ELIZA/NS1 or/and IgM |
| Mahajan, 2024 [11] | Acalculous cholecystitis | 200 | 2 | Pediatric | NS1 or/and IgM |
| Hossain, 2024 [17] | Acalculous cholecystitis | 49 | 5 | Adults | NS1 or/and IgM |
| INTESTINE | |||||
| Study | Disease | Population | Cases | AgeGroup | Diagnostic Tool for Dengue |
| Shameer, 2022 [14] | Appendicitis | 500 | 1 | Pediatric and Adults | NS1 or/and IgM |
| GASTROINTESTINAL SYNDROME | |||||
| Study | Syndrome | Population | Cases | Agegroup | Diagnostic Tool for Dengue |
| Hossain, 2024 [17] | Acalculous cholecystitis And Acute pancreatitis | 49 | 1 | Adults | NS1 or/and IgM |
| Hossain, 2024 [17] | Acalculous cholecystitis And Hepatitis | 49 | 1 | Adults | NS1 or/and IgM |
Disclaimer/Publisher’s Note: The statements, opinions and data contained in all publications are solely those of the individual author(s) and contributor(s) and not of MDPI and/or the editor(s). MDPI and/or the editor(s) disclaim responsibility for any injury to people or property resulting from any ideas, methods, instructions or products referred to in the content. |
© 2026 by the authors. Licensee MDPI, Basel, Switzerland. This article is an open access article distributed under the terms and conditions of the Creative Commons Attribution (CC BY) license.
Share and Cite
Peñaherrera-Vásquez, D.; Reina, A.; Zambrano-Sánchez, G.; García-Aguilera, M.F.; Fierro, G.; Guarderas-Muñoz, S.J.; Rivadeneira, J.; Fuenmayor-González, L. Expanded Dengue and the Digestive System: A Systematic Review and Meta-Analysis. Trop. Med. Infect. Dis. 2026, 11, 77. https://doi.org/10.3390/tropicalmed11030077
Peñaherrera-Vásquez D, Reina A, Zambrano-Sánchez G, García-Aguilera MF, Fierro G, Guarderas-Muñoz SJ, Rivadeneira J, Fuenmayor-González L. Expanded Dengue and the Digestive System: A Systematic Review and Meta-Analysis. Tropical Medicine and Infectious Disease. 2026; 11(3):77. https://doi.org/10.3390/tropicalmed11030077
Chicago/Turabian StylePeñaherrera-Vásquez, Daniel, Alison Reina, Gabriela Zambrano-Sánchez, Maria Fernanda García-Aguilera, German Fierro, Silvia Jessica Guarderas-Muñoz, Josue Rivadeneira, and Luis Fuenmayor-González. 2026. "Expanded Dengue and the Digestive System: A Systematic Review and Meta-Analysis" Tropical Medicine and Infectious Disease 11, no. 3: 77. https://doi.org/10.3390/tropicalmed11030077
APA StylePeñaherrera-Vásquez, D., Reina, A., Zambrano-Sánchez, G., García-Aguilera, M. F., Fierro, G., Guarderas-Muñoz, S. J., Rivadeneira, J., & Fuenmayor-González, L. (2026). Expanded Dengue and the Digestive System: A Systematic Review and Meta-Analysis. Tropical Medicine and Infectious Disease, 11(3), 77. https://doi.org/10.3390/tropicalmed11030077

