Seasonal Distribution of Viral Pneumonia After COVID-19 and the Role of Hematological Markers in Assessing Pneumonia Severity: A Case–Control Study
Abstract
1. Introduction
2. Materials and Methods
2.1. Design and Population
2.2. Inclusion and Exclusion Criteria
2.3. Viral Polymerase Chain Reaction (PCR) Diagnostic Kit
2.4. Pneumonia Severity Index (PSI)
2.5. Primary, Secondary Outcomes, and Potential Biases
2.6. Statistical Analysis
3. Results
4. Discussion
Author Contributions
Funding
Institutional Review Board Statement
Data Availability Statement
Conflicts of Interest
Abbreviations
| ARDS | Acute Respiratory Distress Syndrome |
| HIMS | Hospital Information Management System |
| H | Hypotheses |
| LMR | Lymphocyte/Monocyte Ratio |
| NLR | Neutrophil/Lymphocyte Ratio |
| PLR | Platelet/Lymphocyte Ratio |
| PSI | Pneumonia Severity Index |
| RSV | Respiratory Syncytial Virus |
References
- Gülen, F.; Yıldız, B.; Çiçek, C.; Demir, E.; Tanaç, R. Ten year retrospective evaluation of the seasonal distribution of agent viruses in childhood respiratory tract infections. Turk. Arch. Pediatr. 2014, 49, 42–46. [Google Scholar] [CrossRef] [PubMed]
- Neumann, G.; Kawaoka, Y. Seasonality of influenza and other respiratory viruses. EMBO Mol. Med. 2022, 14, e15352. [Google Scholar] [CrossRef]
- Karbuz, A.; Aktaş, E.; Tutak, G.A.; Barış, A.; Beşel, L.; Emre, I.; Kırmacı, Ç.; Kılıçaslan, Ö.; İşançlı, D.K.; Arat, Z. The effects of measures taken during the COVID-19 pandemic on the seasonal dynamics of respiratory viruses in children. Turk. J. Pediatr. 2023, 65, 592–602. [Google Scholar] [CrossRef] [PubMed]
- Monto, A.S.; Foster-Tucker, J.E.; Callear, A.P.; Leis, A.M.; Godonou, E.-T.; Smith, M.; Truscon, R.; Johnson, E.; Thomas, L.J.; Thompson, M.S.; et al. Respiratory Viral Infections From 2015 to 2022 in the HIVE Cohort of American Households: Incidence, Illness Characteristics, and Seasonality. J. Infect. Dis. 2025, 231, 795–804. [Google Scholar] [CrossRef]
- Davids, M.; Johnstone, S.; Mendes, A.; Brecht, G.; Avenant, T.; du Plessis, N.; de Villiers, M.; Page, N.; Venter, M. Changes in Prevalence and Seasonality of Pathogens Identified in Acute Respiratory Tract Infections in Hospitalised Individuals in Rural and Urban Settings in South Africa; 2018–2022. Viruses 2024, 16, 404. [Google Scholar] [CrossRef]
- Han, Q.; Wen, X.; Wang, L.; Han, X.; Shen, Y.; Cao, J.; Peng, Q.; Xu, J.; Zhao, L.; He, J.; et al. Role of hematological parameters in the diagnosis of influenza virus infection in patients with respiratory tract infection symptoms. Clin. Lab. Anal. 2020, 34, e23191. [Google Scholar] [CrossRef]
- Miyazawa, M. Immunopathogenesis of SARS-CoV-2-induced pneumonia: Lessons from influenza virus infection. Inflamm. Regen. 2020, 40, 39. [Google Scholar] [CrossRef]
- Türkoğlu, Z.B.; Erol, M.; Bostan Gayret, Ö.; Özel, A. COVID-19 PCR Pozitif Çocuklarda Nötrofil Lenfosit Oranının ve Ortalama Trombosit Hacminin Klinik Bulguları ile İlişkisinin Değerlendirilmesi. J. Pediatr. Infect. 2022, 16, 69–76. [Google Scholar] [CrossRef]
- Yıldız, M. Nötrofil/Lenfosit Oranının COVID-19’da Mortaliteyi Belirlemedeki Rolü. Göğüs Hastan. Derg. 2022, 36, 7–13. [Google Scholar] [CrossRef]
- Çeltek, N.Y.; Ünlü, U.; Karaaslan, E.; Demir, O. Can neutrophil lymphocyte ratio be an evaluation criterion for hospitalization in children with fever? Pediatr. Pract. Res. 2020, 8, 75–78. [Google Scholar] [CrossRef]
- Velavan, T.P.; Meyer, C.G. Mild versus severe COVID-19: Laboratory markers. Int. J. Infect. Dis. 2020, 95, 304–307. [Google Scholar] [CrossRef]
- Henry, B.M.; de Oliveira, M.H.S.; Benoit, S.; Plebani, M.; Lippi, G. Hematologic, biochemical and immune biomarker abnormalities associated with severe illness and mortality in coronavirus disease 2019 (COVID-19): A meta-analysis. Clin. Chem. Lab. Med. 2020, 58, 1021–1028. [Google Scholar] [CrossRef]
- Sarker, R.; Roknuzzaman, A.S.M.; Nazmunnahar Shahriar, M.; Hossain, M.d.J.; Islam, M.d.R. The WHO has declared the end of pandemic phase of COVID-19: Way to come back in the normal life. Health Sci. Rep. 2023, 6, e1544. [Google Scholar] [CrossRef]
- Ben, S.; Gao, F.; Xu, Z.; Zhang, R.; Zhang, X.; Wang, N.; Zhang, M.; Hou, L. The role of hematological parameters in asymptomatic and non-severe cases of Omicron variant infection. Virol. J. 2024, 21, 143. [Google Scholar] [CrossRef] [PubMed]
- Kang, M.S.; Choi, S.H.; Koh, I.S. The Effect of Increasing Control-to-case Ratio on Statistical Power in a Simulated Case-control SNP Association Study. Genom. Inform. 2009, 7, 148–151. [Google Scholar] [CrossRef]
- Kerr, S.; Greenland, S.; Jeffrey, K.; Millington, T.; Bedston, S.; Ritchie, L.; Simpson, C.R.; Fagbamigbe, A.F.; Kurdi, A.; Robertson, C.; et al. Understanding and reporting odds ratios as rate-ratio estimates in case-control studies. J. Glob. Health 2023, 13, 04101. [Google Scholar] [CrossRef]
- Elmas, M.; Karataş, A.Y. Point-of-Care Detection of Respiratory Tract Infections Using a Novel PCR Kit with Gold Nanoparticle-Mediated DNA Polymerase. Master’s Thesis, Istanbul Technical University, Istanbul, Türkiye, 2023. Available online: http://hdl.handle.net/11527/25236 (accessed on 17 June 2025).
- Flanders, W.D.; Tucker, G.; Krishnadasan, A.; Martin, D.; Honig, E.; McClellan, W.M. Validation of the pneumonia severity index: Importance of study-specific recalibration. J. Gen. Intern. Med. 1999, 14, 333–340. [Google Scholar] [CrossRef] [PubMed]
- Kim, M.A.; Park, J.S.; Lee, C.W.; Choi, W.I. Pneumonia severity index in viral community acquired pneumonia in adults. PLoS ONE 2019, 14, e0210102. [Google Scholar] [CrossRef] [PubMed]
- von Elm, E.; Altman, D.G.; Egger, M.; Pocock, S.J.; Gotzsche, P.C.; Vandenbroucke, J.P. Strengthening the Reporting of Observational Studies in Epidemiology (STROBE) statement: Guidelines for reporting observational studies. BMJ 2007, 335, 806–808. [Google Scholar] [CrossRef]
- Liao, Y.; Liu, C.; He, W.; Wang, D. Study on the Value of Blood Biomarkers NLR and PLR in the Clinical Diagnosis of Influenza a Virus Infection in Children. Clin. Lab. 2021, 67, 2540. [Google Scholar] [CrossRef]
- Zhu, R.; Chen, C.; Wang, Q.; Zhang, X.; Lu, C.; Sun, Y. Routine blood parameters are helpful for early identification of influenza infection in children. BMC Infect. Dis. 2020, 20, 864. [Google Scholar] [CrossRef]
- Burrell, R.; Saravanos, G.L.; Kesson, A.; Leung, K.C.; Outhred, A.C.; Wood, N.; Muscatello, D.; Britton, P.N. Respiratory virus detections in children presenting to an Australian paediatric referral hospital pre-COVID-19 pandemic, January 2014 to December 2019. PLoS ONE 2025, 20, e0313504. [Google Scholar] [CrossRef] [PubMed]
- Bicer, S.; Giray, T.; Çöl, D.; Erdağ, G.Ç.; Vitrinel, A.; Gürol, Y.; Çelik, G.; Kaspar, Ç.; Küçük, Ö. Virological and clinical characterizations of respiratory infections in hospitalized children. Ital. J. Pediatr. 2013, 39, 22. [Google Scholar] [CrossRef] [PubMed]
- Goktas, S.; Sirin, M.C. Prevalence and Seasonal Distribution of Respiratory Viruses During the 2014–2015 Season in Istanbul. Jundishapur J. Microbiol. 2016, 9, e39132. [Google Scholar] [CrossRef]
- Riedmann, U.; Rauch, W.; Schenk, H.; Oberacher, H.; Ioannidis, J.P.; Pilz, S. Number of Austrian SARS-CoV-2 infections in the 2024/2025 season: Analysis of national wastewater data. medRxiv 2025. [Google Scholar] [CrossRef]
- Bradley, J.; Sbaih, N.; Chandler, T.R.; Furmanek, S.; Ramirez, J.A.; Cavallazzi, R. Pneumonia Severity Index and CURB-65 Score Are Good Predictors of Mortality in Hospitalized Patients with SARS-CoV-2 Community-Acquired Pneumonia. Chest 2022, 161, 927–936. [Google Scholar] [CrossRef] [PubMed]
- Zaibi, H.; Ouertani, H.; Chaabi, K.; Ben Jemia, E.; Ben Amar, J.; Aissi, W.; Aouina, H. SARS-CoV-2 pneumonia: Contribution of the PSI score in the prediction of hospital mortality. Eur. Respir. J. 2023, 62, PA294. [Google Scholar] [CrossRef]
- Bai, Y.; Guo, Y.; Gu, L. Additional risk factors improve mortality prediction for patients hospitalized with influenza pneumonia: A retrospective, single-center case–control study. BMC Pulm. Med. 2023, 23, 19. [Google Scholar] [CrossRef]
- Lyons, P.G.; Bhavani, S.V.; Mody, A.; Bewley, A.; Dittman, K.; Doyle, A.; Windham, S.L.; Patel, T.M.; Raju, B.N.; Keller, M.; et al. Hospital trajectories and early predictors of clinical outcomes differ between SARS-CoV-2 and influenza pneumonia. eBioMedicine 2022, 85, 104295. [Google Scholar] [CrossRef]
- Lin, S.; Mao, W.; Zou, Q.; Lu, S.; Zheng, S. Associations between hematological parameters and disease severity in patients with SARS-CoV-2 infection. J. Clin. Lab. Anal. 2021, 35, e23604. [Google Scholar] [CrossRef]
- Girón-Pérez, D.A.; Nava-Piedra, U.N.; Esquivel-Esparza, Z.E.; Benitez-Trinidad, A.B.; Barcelos-Garcia, R.G.; Vázquez-Pulido, E.Y.; Toledo-Ibarra, G.A.; Ventura-Ramón, G.H.; Covantes-Rosales, C.E.; Barajas-Carrillo, V.W.; et al. Hematologic analysis of hospitalized patients and outpatients infected with SARS-CoV-2 and possible use as a prognostic biomarker. Exp. Hematol. 2023, 119, 21–27. [Google Scholar] [CrossRef] [PubMed]
- Turner, J.S.; Lei, T.; Schmitz, A.J.; Day, A.; Choreño-Parra, J.A.; Jiménez-Alvarez, L.; Cruz-Lagunas, A.; House, S.L.; Zúñiga, J.; Ellebedy, A.H.; et al. Impaired Cellular Immune Responses During the First Week of Severe Acute Influenza Infection. J. Infect. Dis. 2020, 222, 1235–1244. [Google Scholar] [CrossRef]
- Wong, S.-S.; Oshansky, C.M.; Guo, X.-Z.J.; Ralston, J.; Wood, T.; Seeds, R.; Newbern, C.; Ben Waite, B.; Reynolds, G.; Widdowson, M.-A.; et al. Severe Influenza Is Characterized by Prolonged Immune Activation: Results From the SHIVERS Cohort Study. J. Infect. Dis. 2018, 217, 245–256. [Google Scholar] [CrossRef]
- Diao, H.; Cui, G.; Wei, Y.; Chen, J.; Zuo, J.; Cao, H.; Chen, Y.; Yao, H.; Tian, Z.; Li, L.; et al. Severe H7N9 Infection Is Associated with Decreased Antigen-Presenting Capacity of CD14+ Cells. PLoS ONE 2014, 9, e92823. [Google Scholar] [CrossRef]
- Guo, W.-L.; Wang, J.; Zhu, L.-Y.; Hao, C.-L. Differentiation between mycoplasma and viral community-acquired pneumonia in children with lobe or multi foci infiltration: A retrospective case study. BMJ Open 2015, 5, e006766. [Google Scholar] [CrossRef] [PubMed]
- Ng, W.W.S.; Lam, S.M.; Yan, W.W.; Shum, H.P. NLR, MLR, PLR and RDW to predict outcome and differentiate between viral and bacterial pneumonia in the intensive care unit. Sci. Rep. 2022, 12, 15974. [Google Scholar] [CrossRef] [PubMed]
- Cunha, B.A.; Syed, U.; Strollo, S. Non-specific laboratory test indicators of severity in hospitalized adults with swine influenza (H1N1) pneumonia. Eur. J. Clin. Microbiol. Infect. Dis. 2010, 29, 1583–1588. [Google Scholar] [CrossRef]
- Huang, R.; Xie, L.; He, J.; Dong, H.; Liu, T. Association between the peripheral blood eosinophil counts and COVID-19: A meta-analysis. Medicine 2021, 100, e26047. [Google Scholar] [CrossRef]
- Yan, B.; Yang, J.; Xie, Y.; Tang, X. Relationship between blood eosinophil levels and COVID-19 mortality. World Allergy Organ. J. 2021, 14, 100521. [Google Scholar] [CrossRef]
- Dymicka-Piekarska, V.; Dorf, J.; Milewska, A.; Łukaszyk, M.; Kosidło, J.W.; Kamińska, J.; Wolszczak-Biedrzycka, B.; Naumnik, W. Neutrophil/Lymphocyte Ratio (NLR) and Lymphocyte/Monocyte Ratio (LMR)—Risk of Death Inflammatory Biomarkers in Patients with COVID-19. J. Inflamm. Res. 2023, 16, 2209–2222. [Google Scholar] [CrossRef]
- Asperges, E.; Albi, G.; Zuccaro, V.; Sambo, M.; Pieri, T.C.; Calia, M.; Colaneri, M.; Maiocchi, L.; Melazzini, F.; Lasagna, A.; et al. Dynamic NLR and PLR in Predicting COVID-19 Severity: A Retrospective Cohort Study. Infect. Dis. Ther. 2023, 12, 1625–1640. [Google Scholar] [CrossRef] [PubMed]






| Study Group | Control Group | |||||||
|---|---|---|---|---|---|---|---|---|
| n | % | Mean ± Standard Deviation | %95 CI | n | % | Mean ± Standard Deviation | %95 CI | |
| Age | 50.40 ± 19.36 | 46.12–52.68 | 51.19 ± 21.36 | 47.30–54.98 | ||||
| Gender | ||||||||
| Female | 70 | 54.3 | 73 | 56.6 | ||||
| Male | 59 | 45.7 | 56 | 43.4 | ||||
| Influenza A/B (Age) | 53.98 ± 21.88 | 48.0–59.84 | ||||||
| SARS-CoV2 (Age) | 51.45 ± 20.66 | 46.98–56.79 | ||||||
| Seasonal Disturbance of Viral Pathogens | ||||||||
| Influenza A/B (n: 49% 38) | SARS-CoV2 (n: 58% 45) | Human Rhinovirus (n: 14% 10,9) | RSV (n: 3% 2,3) | Adenovirus (n: 4% 3,1) | Parainfluenza Virus (n: 1% 0,7) | |||
| January–February–March | 7 (%14.3) | 4 (%6.9) | 1 (%7.2) | 2 (%66.7) | 1 (%25) | 1 (%100) | ||
| April–May–June | 9 (%18.4) | 5 (%8.6) | 3 (%21.4) | 1 (%33.3) | 2 (%50) | 0 | ||
| July–August–September | 0 | 41 (%70.7) | 5 (%35.7) | 0 | 0 | 0 | ||
| October–November–December | 33 (%67.3) | 8 (%13.8) | 5 (%35.7) | 0 | 1 (%25) | 0 | ||
| RxC test: Fisher’s Exact Test p value: <0.001 | ||||||||
| Treatment Decision | ||||||||
| Outpatient | 35 (%71.4) | 44 (%75.9) | 14 (%100) | 2 (%66) | 3 (%75) | 1 (%100) | ||
| Hospitalisation | 14 (%28.6) | 14 (%24.1) | 0 | 1 (%33.3) | 1 (%25) | 0 | ||
| Pneumonia Severity Index (PSI) | ||||||||
| PSI—Class 1 | 11 (22.4%) | 26 (44.8%) | 7 (50%) | 1 (33%) | 4 (100%) | 0 | ||
| PSI—Class 2 | 15 (30.6%) | 9 (15.5%) | 3 (21.4%) | 1 (33%) | 0 | 0 | ||
| PSI—Class 3 | 8 (16.3%) | 6 (10.3%) | 4 (28.6%) | 0 | 0 | 1 (100%) | ||
| PSI—Class 4 | 6 (12.2%) | 12 (20.7%) | 0 | 0 | 0 | 0 | ||
| PSI—Class 5 | 9 (18.3%) | 5 (8.6%) | 0 | 1 (33%) | 0 | 0 | ||
| RxC test: Pearson Chi-square p value: 0.035; RSV: Respiratory Syncytial Virus | ||||||||
| Control Group (n: 129) | SARS-CoV2 (n: 58) | Influenza A/B (n: 49) | p Value | |
|---|---|---|---|---|
| Hemoglobin (g/dL) | 14.56 ± 1.72 | 12.86 ± 1.86 | 12.92 ± 2.16 | <0.001 ⸸ <0.001 ⸶ |
| Leukocyte (/mm3) | 7449.3 ± 1492.87 | 8863.7 ± 6225.66 | 7022 ± 2717.3 | 0.326 ⸸ 0.019 ⸶ |
| Neutrophil (/mm3) | 4324.03 ± 1290,54 | 6680.15 ± 5666.82 | 5423.8 ± 2689.8 | <0.001 ⸸ 0.016 ⸶ |
| Lymphocyte (/mm3) | 2294.65 ± 699,88 | 1475.1 ± 883.67 | 1018.7 ± 678.6 | <0.001 ⸸ <0.001 ⸶ |
| Platelet (/mm3) | 261,937.98 ± 63,023.52 | 264,310.34 ± 113,142 | 217,530 ± 77,739 | 0.489 ⸸ <0.001 ⸶ |
| Monocyte (/mm3) | 581.0 ± 154.40 | 556.03 ± 481.59 | 470.4 ± 251.0 | 0.012 ⸸ <0.001 ⸶ |
| Eosinophil (/mm3) | 201.86 ± 171.45 | 96.72 ± 140.3 | 76.12 ± 131.16 | <0.001 ⸸ <0.001 ⸶ |
| NLR | 2.15 ± 1.42 | 6.29 ± 6.35 | 9.36 ± 10.10 | <0.001 ⸸ <0.001 ⸶ |
| LMR | 4.16 ± 1.56 | 4.36 ± 6.71 | 2.46 ± 1.62 | <0.001 ⸸ <0.001 ⸶ |
| PLR | 126.86 ± 59.45 | 249.78 ± 198.68 | 306.0 ± 200.17 | <0.001 ⸸ <0.001 ⸶ |
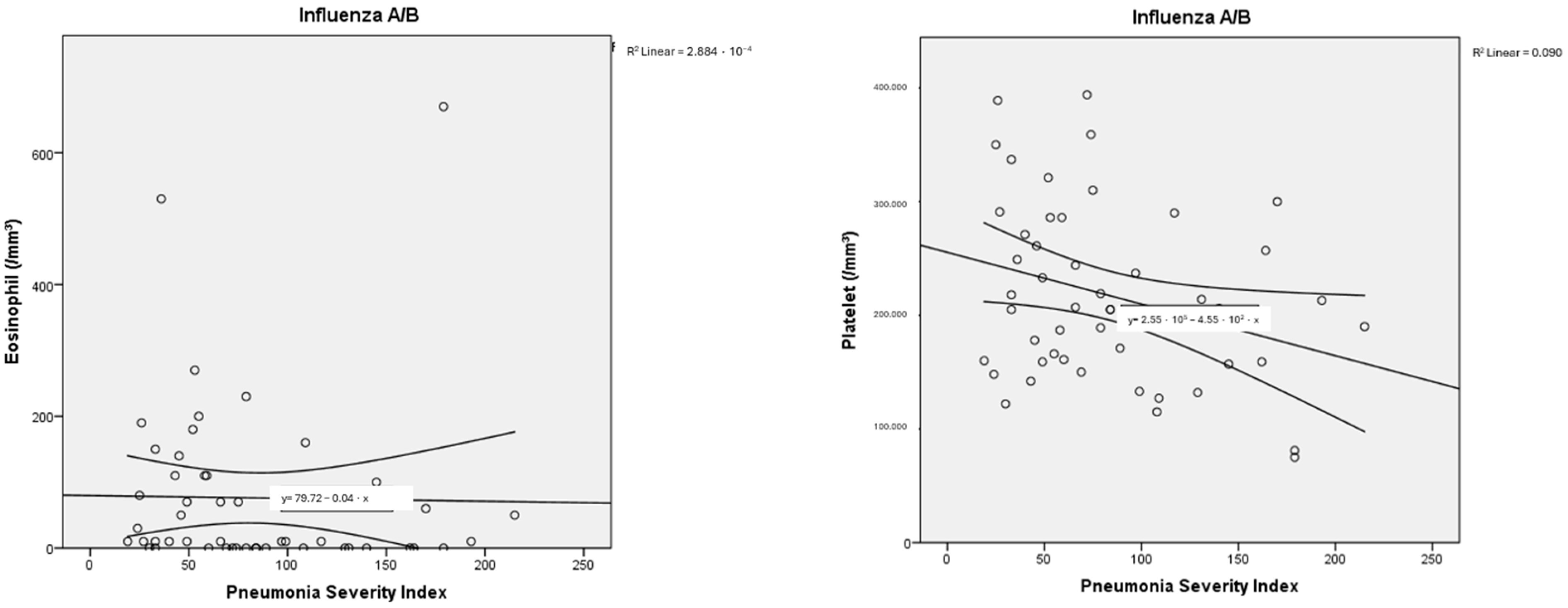
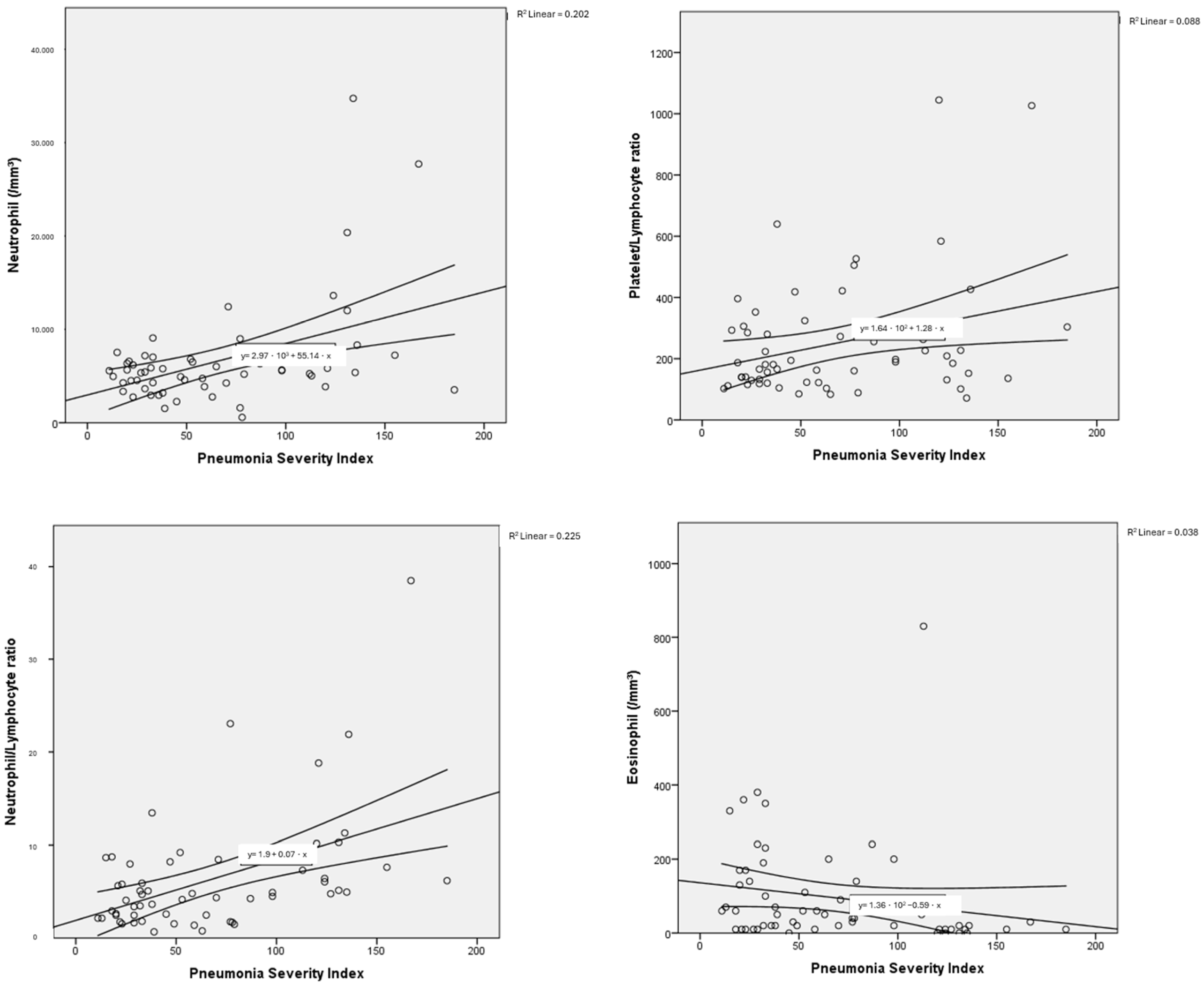
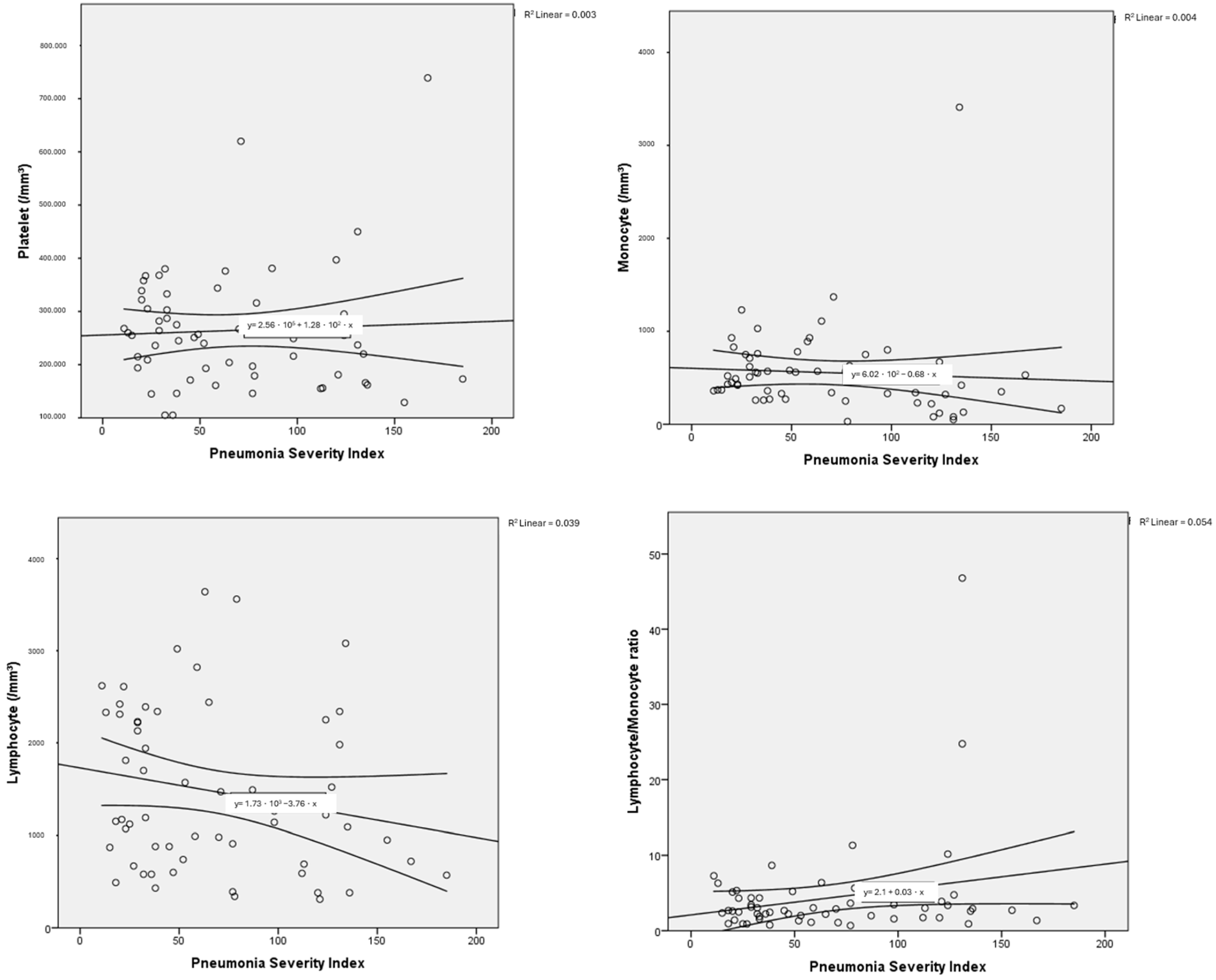
| Influenza A/B | ||
| Pneumonia Severity Index | Number of Lobes Showing Pneumonic İnfiltration | |
| Hemoglobin (g/dL) | R: −0.502, p: 0.00 | R: −0.552, p: 0.00 |
| Leukocyte (/mm3) | R: −0.031, p: 0.833 | R: −0.098, p: 0.506 |
| Neutrophil (/mm3) | R: 0.108, p: 0.465 | R: −0.021, p: 0.887 |
| Lymphocyte (/mm3) | R: −0.402, p: 0.005 | R: −0.290, p: 0.046 |
| Platelet (/mm3) | R: −0.331, p: 0.021 | R: −0.309, p: 0.032 |
| Monocyte (/mm3) | R: −0.327, p: 0.023 | R: −0.193, p: 0.188 |
| Eosinophil (/mm3) | R: 0.075, p: 0.611 | R: 0.348, p: 0.015 |
| NLR | R: 0.527, p: <0.001 | R: 0.372, p: 0.009 |
| LMR | R: −0.232, p: 0.112 | R: −0.179, p: 0.224 |
| PLR | R: 0.401, p: 0.005 | R: 0.234, p: 0.109 |
| SARSCoV2 | ||
| Pneumonia Severity Index | Number of Lobes Showing Pneumonic İnfiltration | |
| Hemoglobin (g/dL) | R: 0.218, p: 0.104 | R: 0.232, p: 0.082 |
| Leukocyte (/mm3) | R: 0.392, p: 0.003 | R: 0.729, p: <0.001 |
| Neutrophil (/mm3) | R: 0.466, p: <0.001 | R: 0.765, p: <0.001 |
| Lymphocyte (/mm3) | R: −0.162, p: 0.229 | R: 0.102, p: 0.450 |
| Platelet (/mm3) | R: 0.183, p: 0.173 | R: 0.314, p: 0.017 |
| Monocyte (/mm3) | R: −0.137, p: 0.308 | R: −0.254, p: 0.057 |
| Eosinophil (/mm3) | R: −0.133, p: 0.324 | R: −0.172, p: 0.199 |
| NLR | R: 0.466, p: <0.001 | R: 0.450, p: <0.001 |
| LMR | R: 0.278, p: 0.036 | R: 0.242, p: 0.070 |
| PLR | R: 0.338, p: 0.01 | R: 0.127, p: 0.347 |
Disclaimer/Publisher’s Note: The statements, opinions and data contained in all publications are solely those of the individual author(s) and contributor(s) and not of MDPI and/or the editor(s). MDPI and/or the editor(s) disclaim responsibility for any injury to people or property resulting from any ideas, methods, instructions or products referred to in the content. |
© 2025 by the authors. Licensee MDPI, Basel, Switzerland. This article is an open access article distributed under the terms and conditions of the Creative Commons Attribution (CC BY) license (https://creativecommons.org/licenses/by/4.0/).
Share and Cite
Şimşek, Ş.M.; Bayar, A.E. Seasonal Distribution of Viral Pneumonia After COVID-19 and the Role of Hematological Markers in Assessing Pneumonia Severity: A Case–Control Study. Trop. Med. Infect. Dis. 2025, 10, 268. https://doi.org/10.3390/tropicalmed10090268
Şimşek ŞM, Bayar AE. Seasonal Distribution of Viral Pneumonia After COVID-19 and the Role of Hematological Markers in Assessing Pneumonia Severity: A Case–Control Study. Tropical Medicine and Infectious Disease. 2025; 10(9):268. https://doi.org/10.3390/tropicalmed10090268
Chicago/Turabian StyleŞimşek, Şaban Melih, and Ayşe Elif Bayar. 2025. "Seasonal Distribution of Viral Pneumonia After COVID-19 and the Role of Hematological Markers in Assessing Pneumonia Severity: A Case–Control Study" Tropical Medicine and Infectious Disease 10, no. 9: 268. https://doi.org/10.3390/tropicalmed10090268
APA StyleŞimşek, Ş. M., & Bayar, A. E. (2025). Seasonal Distribution of Viral Pneumonia After COVID-19 and the Role of Hematological Markers in Assessing Pneumonia Severity: A Case–Control Study. Tropical Medicine and Infectious Disease, 10(9), 268. https://doi.org/10.3390/tropicalmed10090268

