Intensive Therapeutic Plasma Exchange—New Approach to Treat and Rescue Patients with Severe Form of Yellow Fever
Abstract
1. Introduction
2. Material and Methods
2.1. Study Population
2.2. Therapeutic Plasma Exchange Strategies
2.3. Detection and Quantification of YFV-RNA in Serum Samples
2.4. Assessments and End Points
2.5. Statistical Analysis
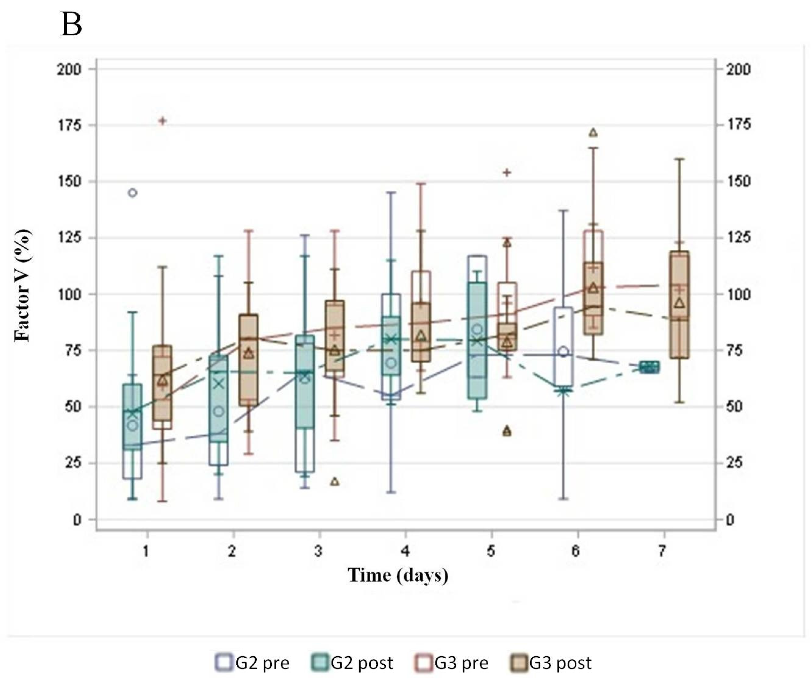
3. Results
3.1. Participant Characteristics
3.2. Therapeutic Plasma Exchange
3.3. Outcomes
4. Discussion
5. Conclusions
Author Contributions
Funding
Institutional Review Board Statement
Informed Consent Statement
Data Availability Statement
Acknowledgments
Conflicts of Interest
References
- Wilder-Smith, A.; Leong, W.Y. Importation of yellow fever into China: Assessing travel patterns. J. Travel Med. 2017, 24, tax008. [Google Scholar] [CrossRef]
- Saúde, S.d.V.e. (Ed.) Monitoramento do Período Sazonal da Febre Amarela Brasil–2017/2018; Ministério da Saúde: Brasilia, Brazil, 2017/2018; Volume 27.
- Hamer, D.H.; Angelo, K.; Caumes, E.; van Genderen, P.J.J.; Florescu, S.A.; Popescu, C.P.; Perret, C.; McBride, A.; Checkley, A.; Ryan, J.; et al. Fatal Yellow Fever in Travelers to Brazil, 2018. MMWR Morb. Mortal Wkly. Rep. 2018, 67, 340–341. [Google Scholar] [CrossRef] [PubMed]
- WHO. A Global Strategy to Eliminate Yellow Fever Epidemics 2017–2026; World Health Organization: Geneva, Switzerland, 2018; ISBN 978-92-4-151366-1.
- Monath, T.P.; Barrett, A.D. Pathogenesis and pathophysiology of yellow fever. Adv. Virus Res. 2003, 60, 343–395. [Google Scholar]
- Wendon, J.; Cordoba, J.; Dhawan, A.; Larsen, F.S.; Manns, M.; Samuel, D.; Simpson, K.J.; Yaron, I.; Bernardi, M. EASL Clinical Practical Guidelines on the management of acute (fulminant) liver failure. J. Hepatol. 2017, 66, 1047–1081. [Google Scholar] [CrossRef] [PubMed]
- Singhal, A.; Neuberger, J. Acute liver failure: Bridging to transplant or recovery--are we there yet? J. Hepatol. 2007, 46, 557–564. [Google Scholar] [CrossRef] [PubMed]
- Song, A.T.W.; Abdala, E.; de Martino, R.B.; Malbouisson, L.M.S.; Tanigawa, R.Y.; Andrade, G.M.; Ducatti, L.; Doi, A.M.; Pinho, J.R.R.; Gomes-Gouvea, M.S.; et al. Liver transplantation for fulminant hepatitis due to yellow fever. Hepatology 2018, 69, 1349–1352. [Google Scholar] [CrossRef]
- Putignano, A.; Figorilli, F.; Alabsawy, E.; Agarwal, B.; Jalan, R. Long-term outcome in patients with acute liver failure. Liver Int. 2018, 38, 2228–2238. [Google Scholar] [CrossRef]
- Bernuau, J.; Goudeau, A.; Poynard, T.; Dubois, F.; Lesage, G.; Yvonnet, B.; Degott, C.; Bezeaud, A.; Rueff, B.; Benhamou, J.P. Multivariate analysis of prognostic factors in fulminant hepatitis B. Hepatology 1986, 6, 648–651. [Google Scholar] [CrossRef] [PubMed]
- Saúde, M.d. Portaria 2117-Estratégia para Assistência em Insuficiência Hepática Hiperaguda por Febre Amarela; Saúde, M.d., Ed.; Ministério da Saúde: Brasília, Brazil, 2018.
- Patel, P.; Okoronkwo, N.; Pyrsopoulos, N.T. Future Approaches and Therapeutic Modalities for Acute Liver Failure. Clin. Liver Dis. 2018, 22, 419–427. [Google Scholar] [CrossRef] [PubMed]
- Larsen, F.S.; Schmidt, L.E.; Bernsmeier, C.; Rasmussen, A.; Isoniemi, H.; Patel, V.C.; Triantafyllou, E.; Bernal, W.; Auzinger, G.; Shawcross, D.; et al. High-volume plasma exchange in patients with acute liver failure: An open randomised controlled trial. J. Hepatol. 2016, 64, 69–78. [Google Scholar] [CrossRef]
- Ho, Y.L.; Joelsons, D.; Leite, G.F.C.; Malbouisson, L.M.S.; Song, A.T.W.; Perondi, B.; Andrade, L.C.; Pinto, L.F.; D’Albuquerque, L.A.C.; Segurado, A.A.C. Severe yellow fever in Brazil: Clinical characteristics and management. J. Travel Med. 2019, 26, taz040. [Google Scholar] [CrossRef] [PubMed]
- Melo, R.; Ho, Y.; Tatsui, N.; Nakamura, M.; EK, I.; Carvalho, H.; Okazaki, E.; Villaça, P.; Nukui, Y. Papel da troca plasmática na insuficiência hepática aguda pós infecção pelo vírus da febre amarela: Descrição da experiência de um serviço quaternário. In Proceedings of the HEMO 2018 Congresso Brasileiro de Hematologia, Hemoterapia e Terapia Celular, São Paulo, Brazil, 31 October–3 November 2018; p. S412. [Google Scholar]
- Nukui, Y.; Ho, Y.; Tatsui, N.; Nakamura, M.; Inoue, E.; Maio, K.; Junior, A.; Villaça, P.; Rocha, V. Papel da troca plasmática na insuficiência hepática aguda pós infecção pelo vírus da febre amarela: Descrição de um caso de sucesso-o que aprendemos e sugestão de proposta de tratamento. In Proceedings of the HEMO 2018 Congresso Brasileiro de Hematologia, Hemoterapia e Terapia Celular, São Paulo, Brazil, 31 October–3 November 2018; p. S413. [Google Scholar]
- Domingo, C.; Charrel, R.N.; Schmidt-Chanasit, J.; Zeller, H.; Reusken, C. Yellow fever in the diagnostics laboratory. Emerg. Microbes Infect. 2018, 7, 129. [Google Scholar] [CrossRef] [PubMed]
- Walker, G.A.; Shostak, J. Common Statistical Methods for Clinical Research with SAS Examples, 3rd ed.; SAS Institute: Cary, NC, USA, 2010. [Google Scholar]
- Julander, J.G. Experimental therapies for yellow fever. Antivir. Res. 2013, 97, 169–179. [Google Scholar] [CrossRef] [PubMed]
- Gubler, D.J. Pandemic yellow fever: A potential threat to global health via travelers. J. Travel Med. 2018, 25, tay097. [Google Scholar] [CrossRef]
- Tuboi, S.H.; Costa, Z.G.; da Costa Vasconcelos, P.F.; Hatch, D. Clinical and epidemiological characteristics of yellow fever in Brazil: Analysis of reported cases 1998–2002. Trans. R. Soc. Trop. Med. Hyg. 2007, 101, 169–175. [Google Scholar] [CrossRef] [PubMed]
- ter Meulen, J.; Sakho, M.; Koulemou, K.; Magassouba, N.; Bah, A.; Preiser, W.; Daffis, S.; Klewitz, C.; Bae, H.G.; Niedrig, M.; et al. Activation of the cytokine network and unfavorable outcome in patients with yellow fever. J. Infect. Dis. 2004, 190, 1821–1827. [Google Scholar] [CrossRef] [PubMed]
- Gonçalves, A.N.A.; Costa, P.R.; Thomazella, M.V.; Correia, C.A.; Marmorato, M.P.; Dias, J.Z.C.; Silveira, C.G.T.; Maestri, A.; Cerqueira, N.B.; Moreira, C.H.V.; et al. Systems Immunology Approaches to Understanding Immune Responses in Acute Infection of Yellow Fever Patients. J. Med. Virol. 2024, 96, e70099. [Google Scholar] [CrossRef] [PubMed]
- Kallas, E.G.; D’Elia Zanella, L.; Moreira, C.H.V.; Buccheri, R.; Diniz, G.B.F.; Castineiras, A.C.P.; Costa, P.R.; Dias, J.Z.C.; Marmorato, M.P.; Song, A.T.W.; et al. Predictors of mortality in patients with yellow fever: An observational cohort study. Lancet Infect. Dis. 2019, 19, 750–758. [Google Scholar] [CrossRef]
- Avelino-Silva, V.I.; Thomazella, M.V.; Marmorato, M.P.; Correia, C.A.; Dias, J.Z.C.; Maestri, A.; Cerqueira, N.B.; Moreira, C.H.V.; Buccheri, R.; Félix, A.C.; et al. Viral Kinetics in Sylvatic Yellow Fever Cases. J. Infect. Dis. 2023, 227, 1097–1103. [Google Scholar] [CrossRef] [PubMed]
- Schwartz, J.; Padmanabhan, A.; Aqui, N.; Balogun, R.A.; Connelly-Smith, L.; Delaney, M.; Dunbar, N.M.; Witt, V.; Wu, Y.; Shaz, B.H. Guidelines on the Use of Therapeutic Apheresis in Clinical Practice-Evidence-Based Approach from the Writing Committee of the American Society for Apheresis: The Seventh Special Issue. J. Clin. Apher. 2016, 31, 149–162. [Google Scholar] [CrossRef]
- Karvellas, C.J.; Stravitz, R.T. High volume plasma exchange in acute liver failure: Dampening the inflammatory cascade? J. Hepatol. 2016, 64, 10–12. [Google Scholar] [CrossRef] [PubMed]
- Stenbog, P.; Busk, T.; Larsen, F.S. Efficacy of liver assisting in patients with hepatic encephalopathy with special focus on plasma exchange. Metab. Brain Dis. 2013, 28, 333–335. [Google Scholar] [CrossRef]
- Iwai, H.; Nagaki, M.; Naito, T.; Ishiki, Y.; Murakami, N.; Sugihara, J.; Muto, Y.; Moriwaki, H. Removal of endotoxin and cytokines by plasma exchange in patients with acute hepatic failure. Crit. Care Med. 1998, 26, 873–876. [Google Scholar] [CrossRef]
- Bernal, W.; Wendon, J. Acute liver failure. N. Engl. J. Med. 2013, 369, 2525–2534. [Google Scholar] [CrossRef] [PubMed]
- Clemmesen, J.O.; Kondrup, J.; Nielsen, L.B.; Larsen, F.S.; Ott, P. Effects of high-volume plasmapheresis on ammonia, urea, and amino acids in patients with acute liver failure. Am. J. Gastroenterol. 2001, 96, 1217–1223. [Google Scholar] [CrossRef] [PubMed]
- Akdogan, M.; Camci, C.; Gurakar, A.; Gilcher, R.; Alamian, S.; Wright, H.; Nour, B.; Sebastian, A. The effect of total plasma exchange on fulminant hepatic failure. J. Clin. Apher. 2006, 21, 96–99. [Google Scholar] [CrossRef] [PubMed]
- Barbosa, C.M.; Di Paola, N.; Cunha, M.P.; Rodrigues-Jesus, M.J.; Araujo, D.B.; Silveira, V.B.; Leal, F.B.; Mesquita, F.S.; Botosso, V.F.; Zanotto, P.M.A.; et al. Yellow Fever Virus RNA in Urine and Semen of Convalescent Patient, Brazil. Emerg. Infect. Dis. 2018, 24, 176. [Google Scholar] [CrossRef]
- Casadio, L.V.B.; Salles, A.P.M.; Malta, F.M.; Leite, G.F.; Ho, Y.L.; Gomes-Gouvea, M.S.; Malbouisson, L.M.S.; Levin, A.S.; de Azevedo Neto, R.S.; Carrilho, F.J.; et al. Lipase and factor V (but not viral load) are prognostic factors for the evolution of severe yellow fever cases. Memórias Inst. Oswaldo Cruz 2019, 114, e190033. [Google Scholar] [CrossRef]
- Duarte-Neto, A.N.; Cunha, M.D.P.; Marcilio, I.; Song, A.T.W.; de Martino, R.B.; Ho, Y.L.; Pour, S.Z.; Dolhnikoff, M.; Saldiva, P.H.N.; Duarte, M.I.S.; et al. Yellow fever and orthotopic liver transplantation: New insights from the autopsy room for an old but re-emerging disease. Histopathology 2019, 75, 638–648. [Google Scholar] [CrossRef] [PubMed]
- Giugni, F.R.; Aiello, V.D.; Faria, C.S.; Pour, S.Z.; Cunha, M.D.P.; Giugni, M.V.; Pinesi, H.T.; Ledesma, F.L.; Morais, C.E.; Ho, Y.L.; et al. Understanding yellow fever-associated myocardial injury: An autopsy study. EBioMedicine 2023, 96, 104810. [Google Scholar] [CrossRef] [PubMed]
- de Sousa, F.T.G.; Warnes, C.M.; Manuli, E.R.; Tjang, L.V.; Carneiro, P.H.; Maria de Oliveira Pinto, L.; Ng, A.; Bhat, S.; Zambrana, J.V.; D’Elia Zanella, L.; et al. Yellow fever disease severity and endothelial dysfunction are associated with elevated serum levels of viral NS1 protein and syndecan-1. EBioMedicine 2024, 109, 105409. [Google Scholar] [CrossRef]
- Bailey, A.L.; Kang, L.I.; de Assis Barros D’Elia Zanella, L.G.F.; Silveira, C.G.T.; Ho, Y.L.; Foquet, L.; Bial, G.; McCune, B.T.; Duarte-Neto, A.N.; Thomas, A.; et al. Consumptive coagulopathy of severe yellow fever occurs independently of hepatocellular tropism and massive hepatic injury. Proc. Natl. Acad. Sci. USA 2020, 117, 32648–32656. [Google Scholar] [CrossRef]




| Characteristics | Group 1 (N = 41) | Group 2 (N = 11) | Group 3 (N = 14) | p |
|---|---|---|---|---|
| Sex: male—n (%) | 34 (83) | 11 (100) | 11 (79) | 0.30 |
| Age (yr)—median (IQR) | 51 (30–58) | 37 (22–60) | 39 (25–48) | 0.021 |
| Clinical presentation at admission | ||||
| Interval symptoms—admission (days); (IQR) a | 5 (5–7) | 6 (3–7) | 6 (4–7) | 0.87 |
| Hemorrhagic manifestation b—n (%) | 29 (71) | 8 (73) | 11 (79) | 0.93 |
| Seizures—n (%) | 12 (29) | 2 (18) | 5 (36) | 0.63 |
| Laboratory test at admission (reference values); median (IQR) | ||||
| AST (female < 31 U/L; male < 37 U/L) | 7001 (7000–12,968) | 12,727 (8602–18,151) | 6016 (5001–8682) | 0.0075 |
| ALT (female < 31 U/L; male < 41 U/L) | 5129 (3465–7000) | 6085 (3947–9544) | 3059 (2041–4479) | 0.019 |
| Ammonia (11–32 mcmol/L) | 98 (66–155) | 97 (79–106) | 74 (57–98) | 0.28 |
| Factor V (70–150%) | 30 (16–43) | 26 (16–42) | 45.5 (25–69) | 0.28 |
| Total bilirubin (0.20–1.00 mg/dL) | 5.88 (4.49–7.77) | 4.88 (1.52–6.69) | 5.07 (4.32–6.26) | 0.33 |
| Fibrinogen (150–400 mg/dL) | 91 (72–125) | 120 (89–165) | 115 (69–130) | 0.18 |
| PT—INR (>1.5)—n (%) | 37 (90) | 10 (91) | 11 (79) | 0.49 |
| Platelet count (140–450 × 109/L) | 76 (47–91) | 78 (53–104) | 55.5 (44–79) | 0.28 |
| Characteristics of TPE | p (G2xG3) | |||
| Volume treated (mL/Kg) per procedure per patient—mean + SD | NA | 60.26 + 16.58 | 43.83 + 5.58 | 0.005 |
| Time per procedure (minutes)—mean + SD | NA | 143.1 + 46.23 | 66.62 + 11.18 | <0.001 |
| Number of procedures per patient—median (IQR) | NA | 5 (2.0–5.0) | 11.5 (10–15.0) | <0.001 |
| Adverse event: n (%) | ||||
| Patients with allergic reaction | NA | 1 (9.1) | 1 (7.1) | >0.99 |
| Number of procedures with hypocalcemia (ionic calcium < 4.0 mg/dL) | NA | 17/41 (41.5%) | 18/175 (10.3%) | <0.001 |
| Outcome | ||||
| Death—n (%) | 35 (85) | 9 (82) | 2 (14) | <0.001 |
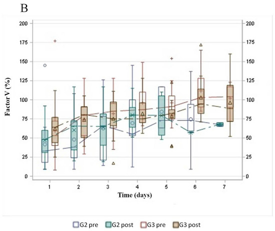
| Characteristics/Patient | EAC | RBQ | ID | VPP | JTSLC | MV | VCM | ERD | JAM | JCC | LO a | VSS | BMA | TMGS | Median (Min–Max)/Frequency (%) |
|---|---|---|---|---|---|---|---|---|---|---|---|---|---|---|---|
| Sex | Male | Female | Male | Male | Male | Male | Male | Male | Male | Male | Female | Male | Male | Female | Male—11 (79%) |
| Age (yr) | 43 | 27 | 48 | 48 | 28 | 59 | 25 | 18 | 55 | 49 | 34 | 48 | 22 | 17 | 39 (17–59) |
| Clinical presentation | |||||||||||||||
| Interval symptoms—admission (d) | 7 | 6 | 4 | 4 | 3 | 4 | 6 | 2 | 7 | 8 | 13 | 6 | 6 | 7 | 6 (2–13) |
| Fever | Yes | Yes | Yes | Yes | Yes | Yes | Yes | Yes | No | Yes | Yes | No | Yes | Yes | 12 (86%) |
| Jaundice | No | Yes | Yes | Yes | No | No | No | No | Yes | No | No | Yes | No | Yes | 6 (43%) |
| Nausea and/or vomiting | Yes | Yes | Yes | Yes | Yes | Yes | Yes | Yes | Yes | Yes | Yes | Yes | Yes | Yes | 14 (100%) |
| Abdominal pain | Yes | Yes | No | Yes | Yes | Yes | No | No | Yes | Yes | No | Yes | Yes | Yes | 10 (71%) |
| Hemorrhagic manifestation | Melena, hematemesis | Gum bleeding, melena | Gum bleeding | Hematemesis | No | Melena | No | Hematemesis petechiae | Gum bleeding | No | Gum bleeding | Melena | Hematemesis hematuria | Muscle hematoma left arm | 11 (79%) |
| Neurologic manifestation | Headache | Seizure | Headache seizure | Headache | Headache | Headache | No | No | Seizure | Headache | Headache | Headache | Headache, delirium, somnolence, seizure | Seizure | 12 (86%) |
| Laboratory test (normal range) | |||||||||||||||
| AST (female <31 U/L; male <37 U/L) | 8477 | 6495 | 4063 | 14,913 | 5503 | 3815 | 5317 | 9955 | 6000 | 3133 | 5001 | 6033 | 9912 | 8682 | 6017 (3133–14,913) |
| ALT (female <31 U/L; male <41 U/L) | 4479 | 1954 | 2041 | 6062 | 2650 | 1938 | 3375 | 4755 | 3759 | 2740 | 1566 | 4242 | 7597 | 2612 | 3059 (1566–7597) |
| Ammonia (11–32 mcmol/L) | 98 | 71 | 74 | 117 | 51 | 56 | 84 | 77 | 239 | 57 | 74 | 72 | 55 | 119 | 74 (51–239) |
| Factor V (70–139%) | 69 | 50 | 72 | 11 | 25 | 8 | 46 | 35 | 44 | 45 | 73 | 69 | 8 | 50 | 45.5 (8–73) |
| Fibrinogen (150–400 mg/dL) | 45 | 58 | 130 | 130 | 265 | 129 | 120 | 190 | 68 | 85 | 69 | 107 | 116 | 114 | 115 (45–265) |
| PT—INR (0.95–1.20) | 1.80 | 2.10 | 1.22 | 3.10 | 1.35 | 1.31 | 1.78 | 1.80 | 1.67 | 2.00 | 1.96 | 1.62 | 2.89 | 1.6 | 1.79 (1.22–3.10) |
| Platelet count (140–450 × 109/L) | 56 | 61 | 22 | 94 | 112 | 36 | 73 | 133 | 55 | 79 | 51 | 39 | 44 | 55 | 55.5 (22–133) |
| Outcome | Alive | Alive | Alive | Death | Alive | Alive | Alive | Alive | Alive | Alive | Alive | Death | Alive | Alive | Alive—12 (86%) |
Disclaimer/Publisher’s Note: The statements, opinions and data contained in all publications are solely those of the individual author(s) and contributor(s) and not of MDPI and/or the editor(s). MDPI and/or the editor(s) disclaim responsibility for any injury to people or property resulting from any ideas, methods, instructions or products referred to in the content. |
© 2025 by the authors. Licensee MDPI, Basel, Switzerland. This article is an open access article distributed under the terms and conditions of the Creative Commons Attribution (CC BY) license (https://creativecommons.org/licenses/by/4.0/).
Share and Cite
Ho, Y.-L.; Nukui, Y.; Villaça, P.R.; Okazaki, E.; Tatsui, N.H.; Netto, L.C.; Joelsons, D.; da Rocha, T.R.F.; de Mello Malta, F.; Pinho, J.R.R.; et al. Intensive Therapeutic Plasma Exchange—New Approach to Treat and Rescue Patients with Severe Form of Yellow Fever. Trop. Med. Infect. Dis. 2025, 10, 39. https://doi.org/10.3390/tropicalmed10020039
Ho Y-L, Nukui Y, Villaça PR, Okazaki E, Tatsui NH, Netto LC, Joelsons D, da Rocha TRF, de Mello Malta F, Pinho JRR, et al. Intensive Therapeutic Plasma Exchange—New Approach to Treat and Rescue Patients with Severe Form of Yellow Fever. Tropical Medicine and Infectious Disease. 2025; 10(2):39. https://doi.org/10.3390/tropicalmed10020039
Chicago/Turabian StyleHo, Yeh-Li, Youko Nukui, Paula Ribeiro Villaça, Erica Okazaki, Nelson Hidekazu Tatsui, Lucas Chaves Netto, Daniel Joelsons, Tania Rubia Flores da Rocha, Fernanda de Mello Malta, João Renato Rebello Pinho, and et al. 2025. "Intensive Therapeutic Plasma Exchange—New Approach to Treat and Rescue Patients with Severe Form of Yellow Fever" Tropical Medicine and Infectious Disease 10, no. 2: 39. https://doi.org/10.3390/tropicalmed10020039
APA StyleHo, Y.-L., Nukui, Y., Villaça, P. R., Okazaki, E., Tatsui, N. H., Netto, L. C., Joelsons, D., da Rocha, T. R. F., de Mello Malta, F., Pinho, J. R. R., Segurado, A. A. C., & Rocha, V. (2025). Intensive Therapeutic Plasma Exchange—New Approach to Treat and Rescue Patients with Severe Form of Yellow Fever. Tropical Medicine and Infectious Disease, 10(2), 39. https://doi.org/10.3390/tropicalmed10020039

