Retrospective Analysis and Cross-Validated Forecasting of West Nile Virus Transmission in Italy: Insights from Climate and Surveillance Data
Abstract
1. Introduction
2. Materials and Methods
3. Results
3.1. Summary of the Situation
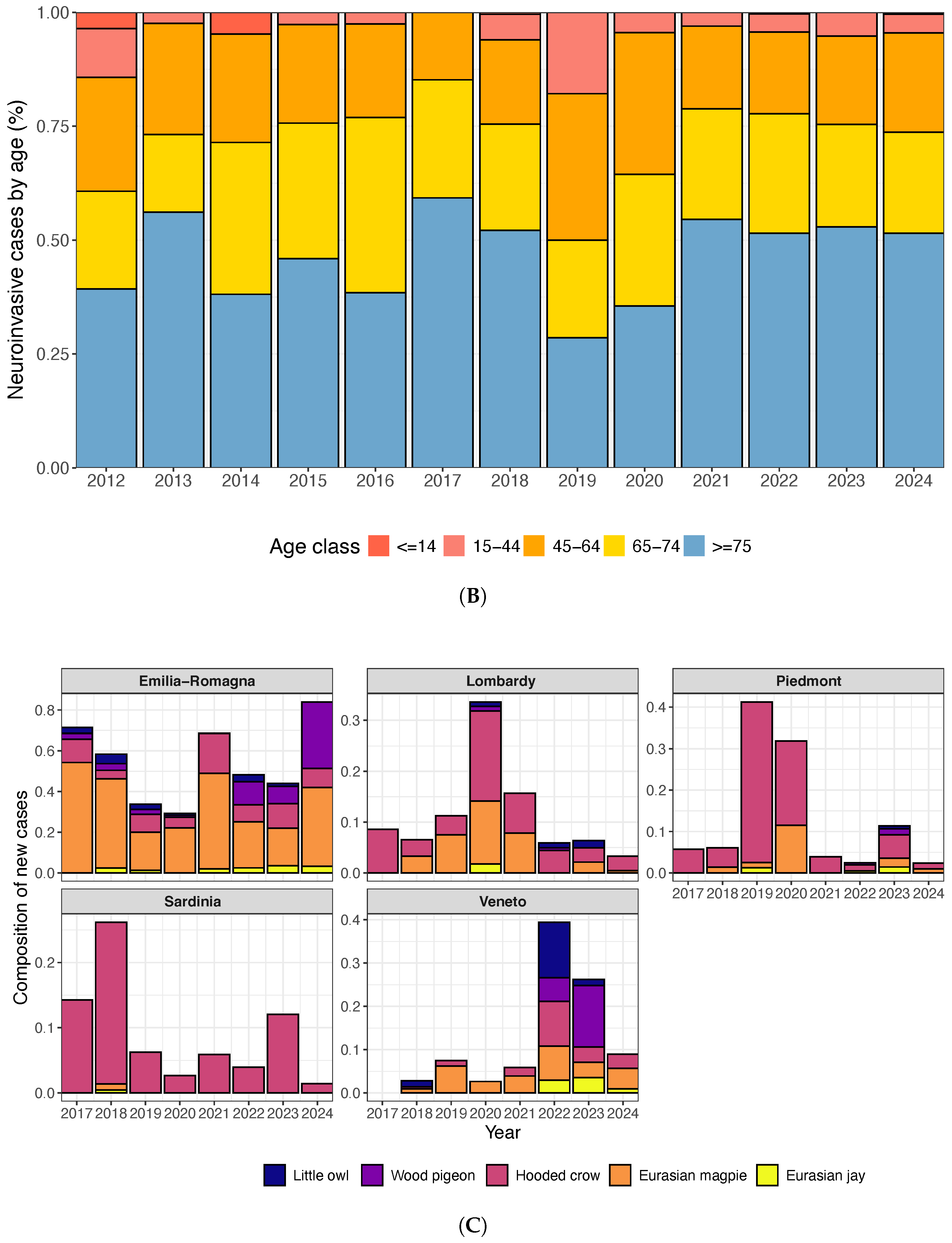
3.2. Descriptive Characteristics of the Infections
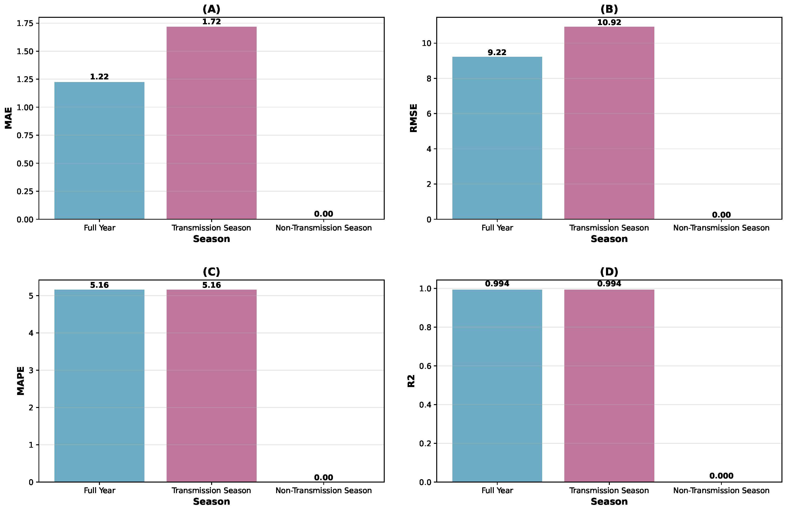
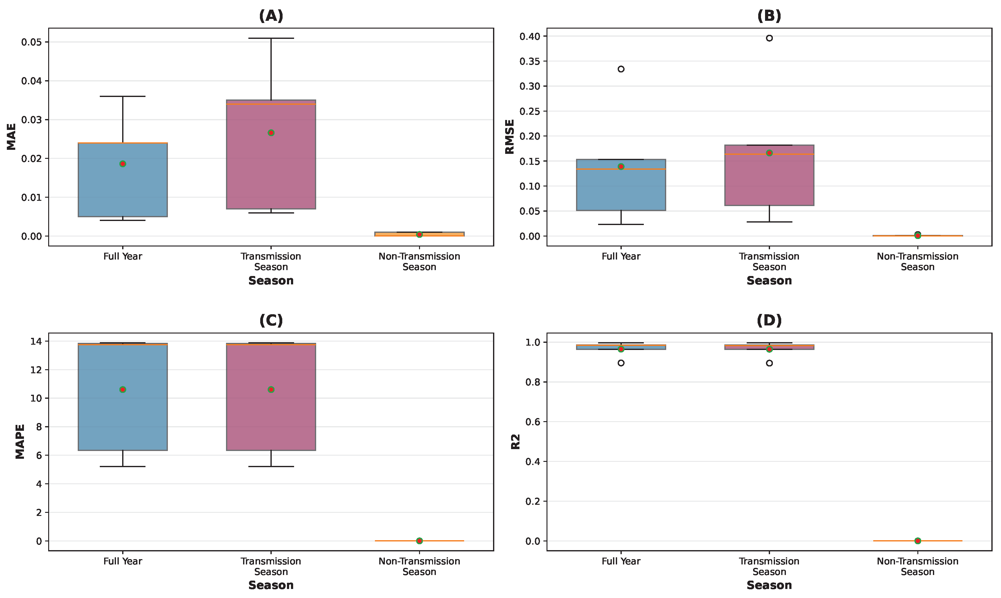
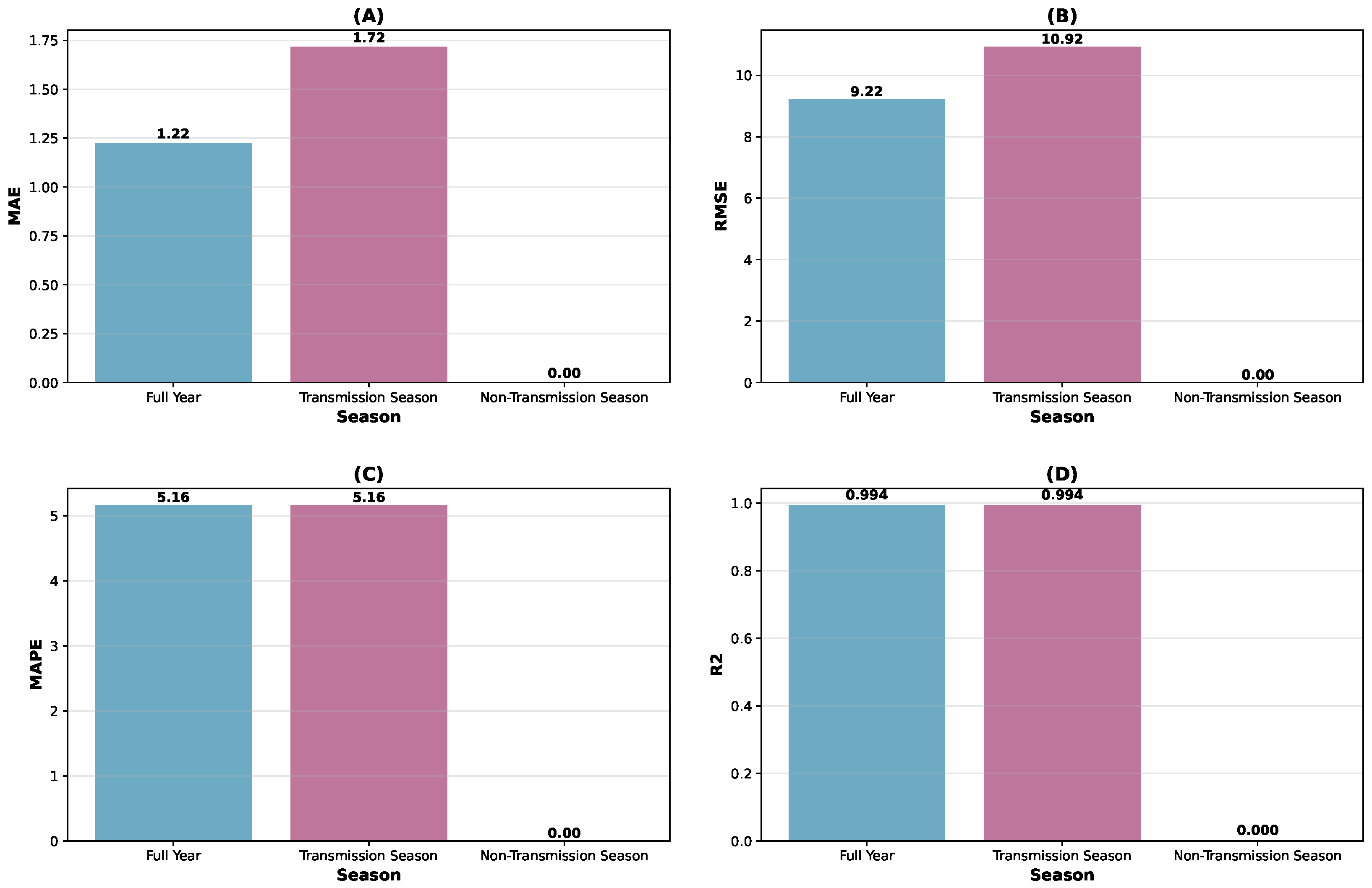
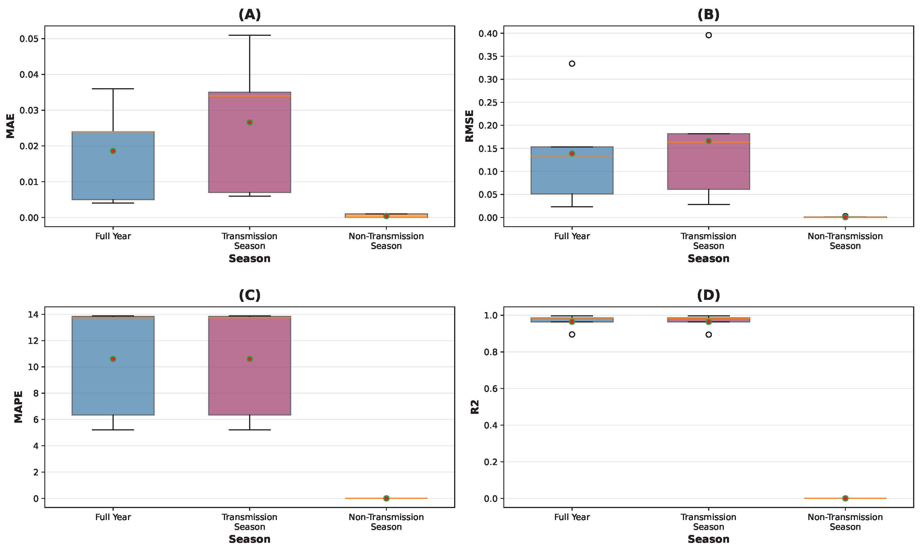
3.3. Predictive Model Performance
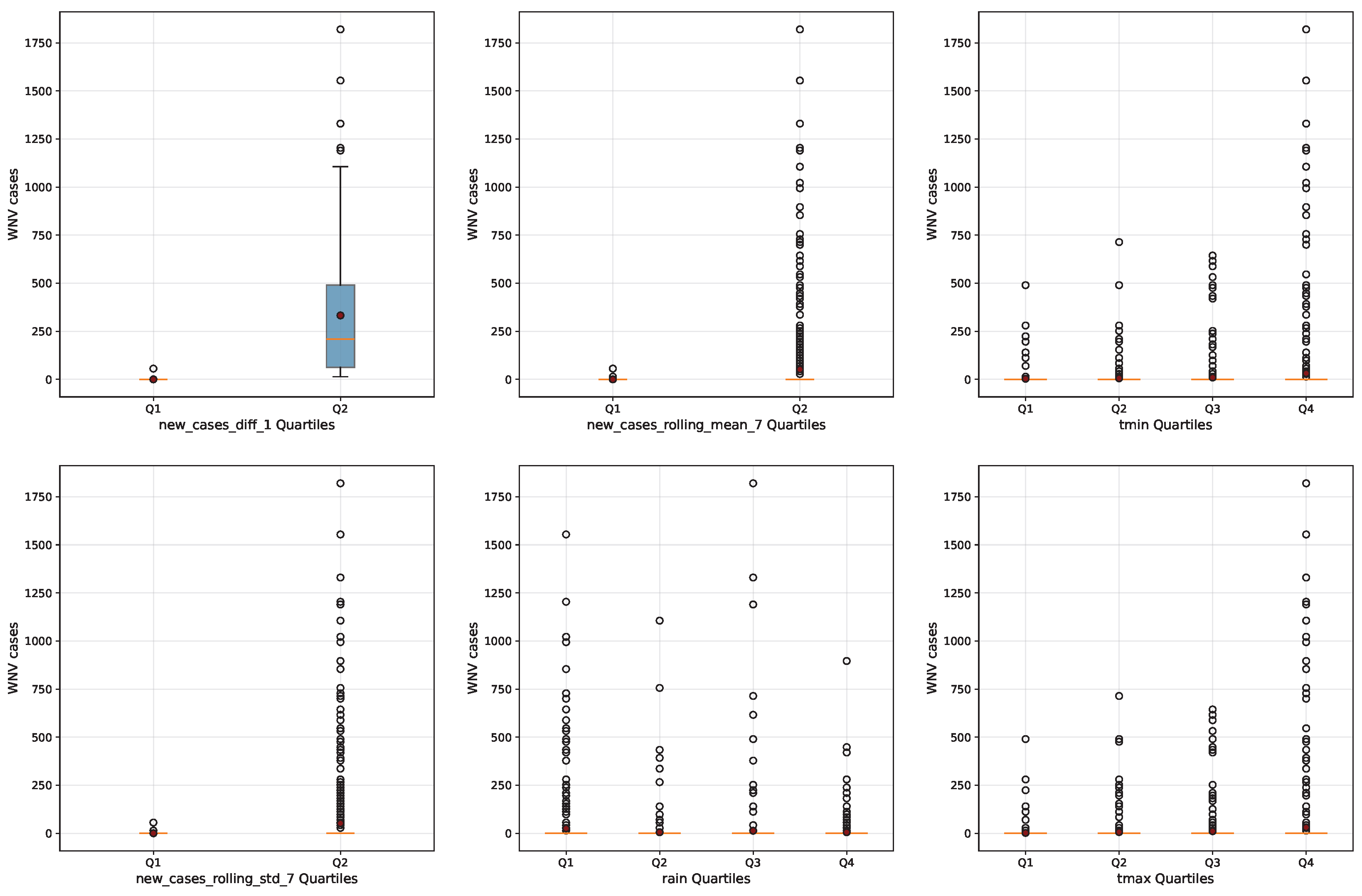
3.4. Key Predictors of WNV Incidence
4. Discussion
Author Contributions
Funding
Institutional Review Board Statement
Informed Consent Statement
Data Availability Statement
Conflicts of Interest
Appendix A. Model Performance Metrics
Appendix A.1. Mean Absolute Error (MAE)
Appendix A.2. Root Mean Squared Error (RMSE)
Appendix A.3. Coefficient of Determination ()
Appendix A.4. Median Absolute Error (MedAE)
Appendix A.5. Mean Absolute Percentage Error (MAPE)
Appendix A.6. Pearson Correlation Coefficient (r)
Appendix B. Feature Description
| Feature | Type/Description | Source | Spatial Resolution | Temporal Resolution | Calculation/Transformation |
|---|---|---|---|---|---|
| new_cases | Raw target (daily cases) | ISS bulletins/aggregated file | Province/ administrative area | Weekly → daily | Sum of reported new cases per day aggregated at province level |
| target | Log-scaled target | Derived from new_cases | Province/ administrative area | Daily | Natural logarithm of daily new cases plus one to stabilize variance |
| tmax, tmin | Daily maximum/minimum temperature | Open-Meteo API | Grid aggregated to province | Daily | Average of all grid points within the province |
| rain | Daily precipitation (mean) | Open-Meteo API | Grid aggregated to province | Daily | Average daily precipitation over all grid points in the province |
| temp_avg | Daily mean temperature | Derived from tmax and tmin | Province | Daily | Mean of daily maximum and minimum temperature |
| temp_range | Diurnal temperature range | Derived from tmax and tmin | Province | Daily | Difference between daily maximum and minimum temperature |
| rain7d | 7-day rolling mean precipitation | Derived from daily rain | Province | Daily (rolling) | Average precipitation over the previous 7 days |
| rain7d_sum | 7-day cumulative precipitation | Derived from daily rain | Province | Daily | Sum of precipitation over the previous 7 days |
| sin_dayofyear, cos_dayofyear | Harmonic seasonality | Derived from date | N/A | Daily | Sine and cosine transformations to capture seasonal patterns |
| month, week, weekday, is_weekend | Categorical/time features | Derived from date | N/A | Daily | Extracted month, week number, weekday, and weekend indicator from date |
| new_cases_lag_7/14/21/28 | Lagged cases | Derived from new_cases | Province | Daily | Number of new cases shifted by 7, 14, 21, and 28 days to capture temporal dependence |
| temp_avg_lag_7/14/21/28 | Lagged mean temperature | Derived from temp_avg | Province | Daily | Daily mean temperature shifted by 7, 14, 21, and 28 days |
| new_cases_rolling_mean_7/14/21/28 | Rolling mean of cases | Derived from new_cases | Province | Daily | Average number of new cases over rolling windows of 7, 14, 21, and 28 days |
| new_cases_rolling_std_7/14/21/28 | Rolling standard deviation of cases | Derived from new_cases | Province | Daily | Standard deviation of new cases over rolling windows of 7, 14, 21, and 28 days |
| new_cases_diff_1, new_cases_diff_7 | Short-term differences | Derived from new_cases | Province | Daily | Difference in new cases compared to previous day (1-day) and previous week (7-day) to capture short-term trends |
References
- Petersen, L.R.; Brault, A.C.; Nasci, R.S. West Nile virus: Review of the literature. JAMA 2013, 310, 308–315. [Google Scholar] [CrossRef]
- Kilpatrick, A.M. Globalization, land use, and the invasion of West Nile virus. Science 2011, 334, 323–327. [Google Scholar] [CrossRef]
- Sejvar, J.J. Clinical manifestations and outcomes of West Nile virus infection. Viruses 2014, 6, 606–623. [Google Scholar] [CrossRef] [PubMed]
- Nash, D.; Mostashari, F.; Fine, A.; Miller, J.; O’leary, D.; Murray, K.; Huang, A.; Rosenberg, A.; Greenberg, A.; Sherman, M.; et al. The outbreak of West Nile virus infection in the New York City area in 1999. N. Engl. J. Med. 2001, 344, 1807–1814. [Google Scholar] [CrossRef] [PubMed]
- CDPH IDB Guidance for Managing Select Communicable Diseases West Nile Virus Infections. Available online: https://www.cdph.ca.gov/Programs/CID/DCDC/CDPH%20Document%20Library/IDBGuidanceforCALHJs-WNV.pdf (accessed on 22 July 2025).
- Sampathkumar, P. West Nile virus: Epidemiology, clinical presentation, diagnosis, and prevention. In Mayo Clinic Proceedings; Elsevier: Amsterdam, The Netherlands, 2003; Volume 78, pp. 1137–1144. [Google Scholar]
- Riccò, M.; Zaniboni, A.; Satta, E.; Ranzieri, S.; Cerviere, M.P.; Marchesi, F.; Peruzzi, S. West Nile virus infection: A cross-sectional study on Italian medical professionals during summer season 2022. Trop. Med. Infect. Dis. 2022, 7, 404. [Google Scholar] [CrossRef]
- Abbas, I.; Ahmed, F.; Muqaddas, H.; Alberti, A.; Varcasia, A.; Sedda, L. Epidemiology and surveillance of West Nile virus in the Mediterranean Basin during 2010–2023: A systematic review. Curr. Res. Parasitol. Vector-Borne Dis. 2025, 7, 100277. [Google Scholar] [CrossRef] [PubMed]
- Calzolari, M.; Pautasso, A.; Montarsi, F.; Albieri, A.; Bellini, R.; Bonilauri, P.; Defilippo, F.; Lelli, D.; Moreno, A.; Chiari, M.; et al. West Nile virus surveillance in 2013 via mosquito screening in northern Italy and the influence of weather on virus circulation. PLoS ONE 2015, 10, e0140915. [Google Scholar]
- Mencattelli, G.; Iapaolo, F.; Monaco, F.; Fusco, G.; de Martinis, C.; Portanti, O.; Di Gennaro, A.; Curini, V.; Polci, A.; Berjaoui, S.; et al. West Nile virus lineage 1 in Italy: Newly introduced or a re-occurrence of a previously circulating strain? Viruses 2021, 14, 64. [Google Scholar] [CrossRef]
- Zehender, G.; Veo, C.; Ebranati, E.; Carta, V.; Rovida, F.; Percivalle, E.; Moreno, A.; Lelli, D.; Calzolari, M.; Lavazza, A.; et al. Reconstructing the recent West Nile virus lineage 2 epidemic in Europe and Italy using discrete and continuous phylogeography. PLoS ONE 2017, 12, e0179679. [Google Scholar] [CrossRef]
- Gucciardi, F.; De Grazia, S.; Guercio, A.; La Russa, F.; Di Pasquale, M.L.; Bonura, F.; Monaco, F.; Spedicato, M.; Bonfini, B.; Savini, G.; et al. Introduction of West Nile virus lineage 2 leads to neuroinvasive cases in humans and horses in Sicily, 2022–2023. Vet. Res. 2025, 56, 177. [Google Scholar] [CrossRef]
- Gobbo, F.; Chiarello, G.; Sgubin, S.; Toniolo, F.; Gradoni, F.; Danca, L.I.; Carlin, S.; Capello, K.; De Conti, G.; Bortolami, A.; et al. Integrated One Health Surveillance of West Nile Virus and Usutu Virus in the Veneto Region, Northeastern Italy, from 2022 to 2023. Pathogens 2025, 14, 227. [Google Scholar] [CrossRef] [PubMed]
- Gage, K.L.; Burkot, T.R.; Eisen, R.J.; Hayes, E.B. Climate and vectorborne diseases. Am. J. Prev. Med. 2008, 35, 436–450. [Google Scholar] [CrossRef]
- Paz, S. Climate change impacts on West Nile virus transmission in a global context. Philos. Trans. R. Soc. B Biol. Sci. 2015, 370, 20130561. [Google Scholar] [CrossRef]
- Paull, S.H.; Horton, D.E.; Ashfaq, M.; Rastogi, D.; Kramer, L.D.; Diffenbaugh, N.S.; Kilpatrick, A.M. Drought and immunity determine the intensity of West Nile virus epidemics and climate change impacts. Proc. R. Soc. B Biol. Sci. 2017, 284, 20162078. [Google Scholar] [CrossRef]
- Mordecai, E.A.; Cohen, J.M.; Evans, M.V.; Gudapati, P.; Johnson, L.R.; Lippi, C.A.; Miazgowicz, K.; Murdock, C.C.; Rohr, J.R.; Ryan, S.J.; et al. Detecting the impact of temperature on transmission of Zika, dengue, and chikungunya using mechanistic models. PLoS Neglected Trop. Dis. 2017, 11, e0005568. [Google Scholar] [CrossRef] [PubMed]
- Farooq, Z.; Rocklöv, J.; Wallin, J.; Abiri, N.; Sewe, M.O.; Sjödin, H.; Semenza, J.C. Artificial intelligence to predict West Nile virus outbreaks with eco-climatic drivers. Lancet Reg. Health Eur. 2022, 17, 100370. [Google Scholar] [CrossRef]
- Carlson, C.J.; Dougherty, E.; Boots, M.; Getz, W.; Ryan, S.J. Consensus and conflict among ecological forecasts of Zika virus outbreaks in the United States. Sci. Rep. 2018, 8, 4921. [Google Scholar] [CrossRef]
- Angelou, A.; Pappa, A.; Markov, P.V.; Gewehr, S.; Stilianakis, N.I.; Kioutsioukis, I. Early warning system of the seasonal west nile virus infection risk in humans in northern greece, 2020–2024. Sci. Rep. 2025, 15, 7129. [Google Scholar] [CrossRef]
- Mingione, M.; Branda, F.; Maruotti, A.; Ciccozzi, M.; Mazzoli, S. Monitoring the West Nile virus outbreaks in Italy using open access data. Sci. Data 2023, 10, 777. [Google Scholar] [CrossRef]
- Moirano, G.; Fletcher, C.; Semenza, J.C.; Lowe, R. Short-term effect of temperature and precipitation on the incidence of West Nile Neuroinvasive Disease in Europe: A multi-country case-crossover analysis. Lancet Reg. Health Eur. 2025, 48, 101149. [Google Scholar] [CrossRef] [PubMed]
- Mordecai, E.A.; Caldwell, J.M.; Grossman, M.K.; Lippi, C.A.; Johnson, L.R.; Neira, M.; Rohr, J.R.; Ryan, S.J.; Savage, V.; Shocket, M.S.; et al. Thermal biology of mosquito-borne disease. Ecol. Lett. 2019, 22, 1690–1708. [Google Scholar] [CrossRef]
- Prodregosa, F.; Varoquaux, G.; Gramfort, A.; Michel, V.; Thirion, B.; Grisel, O.; Blondel, M.; Prettenhofer, P.; Weiss, R.; Dubourg, V.; et al. Scikit-learn: Machine learning in Python. J. Mach. Learn. Res. 2011, 12, 2825–2830. [Google Scholar]
- Gneiting, T.; Raftery, A.E. Strictly proper scoring rules, prediction, and estimation. J. Am. Stat. Assoc. 2007, 102, 359–378. [Google Scholar] [CrossRef]
- Loconsole, D.; Centrone, F.; Sallustio, A.; Casulli, D.; Colella, V.; Mongelli, O.; Venturi, G.; Bella, A.; Marino, L.; Martinelli, D.; et al. Abrupt increase in detection of locally acquired west-nile-virus-lineage-2-mediated neuroinvasive disease in a previously non-endemic area of Southern Italy (2023). Viruses 2023, 16, 53. [Google Scholar] [CrossRef] [PubMed]
- Farooq, Z.; Sjödin, H.; Semenza, J.C.; Tozan, Y.; Sewe, M.O.; Wallin, J.; Rocklöv, J. European projections of West Nile virus transmission under climate change scenarios. One Health 2023, 16, 100509. [Google Scholar] [CrossRef] [PubMed]
- Branda, F.; Giovanetti, M.; Ceccarelli, G.; Ciccozzi, M.; Scarpa, F. ArboItaly: Leveraging open data for enhanced arbovirus surveillance in Italy. Front. Pharmacol. 2024, 15, 1459408. [Google Scholar] [CrossRef] [PubMed]
- Rizzoli, A.; Jiménez-Clavero, M.A.; Barzon, L.; Cordioli, P.; Figuerola, J.; Koraka, P.; Martina, B.; Moreno, A.; Nowotny, N.; Pardigon, N.; et al. The challenge of West Nile virus in Europe: Knowledge gaps and research priorities. Eurosurveillance 2015, 20, 21135. [Google Scholar] [CrossRef]







| Category | Approximate Incidence Rate | Key Symptoms/Clinical Features | Associated Risks/Complications | Key Risk Factors |
|---|---|---|---|---|
| Asymptomatic | ∼80% [5] | No symptoms | None directly | None specific |
| West Nile Fever (WNF) | ∼20% [5] | Fever, headache, body aches (myalgias), rash, nausea/vomiting, diarrhea, arthralgia | Generally mild, self-limiting | General population exposure |
| West Nile Neuroinvasive Disease (WNND) | ∼1% [5] | |||
| Meningitis | Fever, headache, neck stiffness; CSF pleocytosis & elevated protein | Fatality rate up to 10% [6] | Age > 50 (10x risk), >80 (43x risk) [6]; Immunocompromised [5]; Chronic diseases (solid tumors, kidney disease) [7] | |
| Encephalitis | Fever, altered mental status, seizures, focal neurological deficits, movement disorders (tremor) | Fatality rate up to 10% [5]; Long-term neurological impairment (fatigue, headaches, memory loss, muscle weakness, depression) [5] | Age > 50 (10x risk), >80 (43x risk) [5]; Immunocompromised [6]; Chronic diseases (solid tumors, kidney disease) [7] | |
| Acute Flaccid Paralysis (AFP) | Isolated limb weakness/paralysis; poliomyelitis-like syndrome; damage to spinal anterior horn cells | Fatality rate up to 10% [5]; Potential for respiratory paralysis [6]; Little/no improvement on short-term follow-up [5] | Age > 50 (10x risk), >80 (43x risk) [5]; Immunocompromised [6]; Chronic diseases (solid tumors, kidney disease) [7] | |
| Other Rare Complications | Rare [5] | Myocarditis, pancreatitis, fulminant hepatitis | Variable severity | None specific |
| Province | MAE | RMSE | R2 | Median AE | Explained Variance | Pearson r | MAPE (%) | CRPS |
|---|---|---|---|---|---|---|---|---|
| Bologna | 0.024 | 0.153 | 0.964 | 0.000 | 0.964 | 0.989 | 13.75 | 0.0123 |
| Modena | 0.036 | 0.334 | 0.896 | 0.000 | 0.897 | 0.979 | 13.83 | 0.0124 |
| Venezia | 0.005 | 0.051 | 0.986 | 0.001 | 0.986 | 0.996 | 5.21 | 0.0059 |
| Padova | 0.024 | 0.134 | 0.984 | 0.001 | 0.984 | 0.992 | 13.87 | 0.0139 |
| Verona | 0.004 | 0.023 | 0.996 | 0.001 | 0.996 | 1.000 | 6.35 | 0.0093 |
| Province | Season | MAE | RMSE | R2 | MAPE (%) |
|---|---|---|---|---|---|
| Bologna | Transmission | 0.034 | 0.182 | 0.9641 | 13.75 |
| Non-Transmission | 0.000 | 0.000 | 0.0000 | 0.00 | |
| Modena | Transmission | 0.051 | 0.396 | 0.8947 | 13.83 |
| Non-Transmission | 0.000 | 0.000 | 0.0000 | 0.00 | |
| Venezia | Transmission | 0.007 | 0.061 | 0.9855 | 5.21 |
| Non-Transmission | 0.000 | 0.000 | 0.0000 | 0.00 | |
| Padova | Transmission | 0.035 | 0.164 | 0.9834 | 13.87 |
| Non-Transmission | 0.001 | 0.003 | 0.0000 | 0.00 | |
| Verona | Transmission | 0.006 | 0.028 | 0.9963 | 6.35 |
| Non-Transmission | 0.001 | 0.001 | 0.0000 | 0.00 |
| Feature | SHAP Importance | Rank | Correlation with Cases |
|---|---|---|---|
| new_cases_diff_1 | 0.288694 | 1 | 0.713 |
| new_cases_rolling_mean_7 | 0.042545 | 2 | 0.360 |
| tmin | 0.003564 | 3 | 0.109 |
| new_cases_rolling_std_7 | 0.003114 | 4 | 0.358 |
| rain | 0.002972 | 5 | −0.038 |
| tmax | 0.000096 | 6 | 0.106 |
| new_cases_rolling_std_14 | 0.000060 | 7 | 0.254 |
| new_cases_lag_7 | 0.000041 | 8 | 0.312 |
| new_cases_diff_7 | 0.000037 | 9 | 0.285 |
| sin_dayofyear | 0.000033 | 10 | 0.012 |
Disclaimer/Publisher’s Note: The statements, opinions and data contained in all publications are solely those of the individual author(s) and contributor(s) and not of MDPI and/or the editor(s). MDPI and/or the editor(s) disclaim responsibility for any injury to people or property resulting from any ideas, methods, instructions or products referred to in the content. |
© 2025 by the authors. Licensee MDPI, Basel, Switzerland. This article is an open access article distributed under the terms and conditions of the Creative Commons Attribution (CC BY) license (https://creativecommons.org/licenses/by/4.0/).
Share and Cite
Branda, F.; Ahmed, M.M.; Yon, D.K.; Ceccarelli, G.; Ciccozzi, M.; Scarpa, F. Retrospective Analysis and Cross-Validated Forecasting of West Nile Virus Transmission in Italy: Insights from Climate and Surveillance Data. Trop. Med. Infect. Dis. 2025, 10, 305. https://doi.org/10.3390/tropicalmed10110305
Branda F, Ahmed MM, Yon DK, Ceccarelli G, Ciccozzi M, Scarpa F. Retrospective Analysis and Cross-Validated Forecasting of West Nile Virus Transmission in Italy: Insights from Climate and Surveillance Data. Tropical Medicine and Infectious Disease. 2025; 10(11):305. https://doi.org/10.3390/tropicalmed10110305
Chicago/Turabian StyleBranda, Francesco, Mohamed Mustaf Ahmed, Dong Keon Yon, Giancarlo Ceccarelli, Massimo Ciccozzi, and Fabio Scarpa. 2025. "Retrospective Analysis and Cross-Validated Forecasting of West Nile Virus Transmission in Italy: Insights from Climate and Surveillance Data" Tropical Medicine and Infectious Disease 10, no. 11: 305. https://doi.org/10.3390/tropicalmed10110305
APA StyleBranda, F., Ahmed, M. M., Yon, D. K., Ceccarelli, G., Ciccozzi, M., & Scarpa, F. (2025). Retrospective Analysis and Cross-Validated Forecasting of West Nile Virus Transmission in Italy: Insights from Climate and Surveillance Data. Tropical Medicine and Infectious Disease, 10(11), 305. https://doi.org/10.3390/tropicalmed10110305

