Next Article in Journal
Immersive 3D Soundscape: Analysis of Environmental Acoustic Parameters of Historical Squares in Parma (Italy)
Previous Article in Journal
Beyond Boundaries—Genetic Implications of Urbanisation and Isolation in Eastern Grey Kangaroos (Macropus giganteus)
 
 
Font Type:
Arial Georgia Verdana
Font Size:
Aa Aa Aa
Line Spacing:
Column Width:
Background:
Review

Issues of Crowd Evacuation in Panic Conditions

Department of Threat Prevention, Fire University, Słowackiego 52/54 Street, 01-629 Warsaw, Poland
Urban Sci. 2025, 9(7), 258; https://doi.org/10.3390/urbansci9070258
Submission received: 10 April 2025 / Revised: 19 June 2025 / Accepted: 27 June 2025 / Published: 3 July 2025

Abstract

This article reviews and discusses the behaviours and patterns associated with panic evacuations, as documented in the literature, which must be considered when analysing and modelling such events. This article does not take the form of a typical research article but, rather, a review of previous studies alongside its own commentary. The studies analysed in this article were selected according their ability to provide a new perspective. Where possible, diverse perspectives from existing research have been contrasted with the author’s own observations and reflections. Structured as an overview, this article introduces subsequent analyses and highlights several non-intuitive questions that arose during the investigation. This study examines the relationship between movement velocity and crowd density, comparing experimental data with simulations conducted to date. It also explores the connections between flow rate, crowd density, and velocity and suggests potential directions for further research in this field. Additionally, this article addresses the loss of evacuation coordination under crowding conditions and presents studies that demonstrate optimal evacuation at speeds that differ from the so-called comfortable pace. The positive effects of strategically placed obstacles in reducing congestion and improving evacuation times are also analysed. This literature review is conducted from a practical perspective, with the primary aim of deepening our understanding of panic evacuation phenomena. Furthermore, this article categorises the impact of various phenomena associated with stampedes and panic evacuations on the requirements for safe evacuation. A tabular summary of the technical and structural measures for evacuation is provided, which may prove useful in designing effective evacuation strategies when dealing with heightened emotional states among evacuees.

1. Introduction

Crowd psychology has long been the focus of extensive scientific research. A key aspect of this field, relevant to the present study, concerns individual behaviour during crowd stampedes in panic evacuations. This phenomenon was first delineated and categorised in the psychological literature, drawing upon empirical data, by Mintz [1] and Quarantelli [2], among others, in the early 1950s. Later, the evacuation process was analysed in terms of decision-making mechanisms [3,4,5]. Interest in modelling crowd behaviour emerged in the early 1990s [6,7], and soon thereafter, researchers began to incorporate panic situations into these models, with some of the first theoretical assumptions published by Helbing et al. [8].
The motivation for developing simulation models of crowd evacuation, particularly those focusing on the dynamics of a crowd stampede, is understandable, given the numerous incidents that have led to disastrous outcomes and significant fatalities [9]. Moreover, panic-inducing events not only cause human casualties but also incur considerable social and economic costs [10]. Consequently, this subject remains a major focus within both social science and safety engineering.
At present, no explicit legal obligations exist in Poland requiring the analysis of building designs to reduce the likelihood of panic evacuations [11,12]. A similar situation exists in other countries, which is perhaps understandable given that crowd stampedes are neither common nor easily predictable. However, when such events do occur, the consequences can be tragic [13,14,15]. This highlights the need for a dedicated analysis to assess the necessity and potential scope of legislative amendments. Despite the absence of explicit legal stipulations, existing knowledge on panic evacuation can be applied through a legal framework for so-called substitute solutions. These solutions allow for the use of existing buildings that do not fully comply with current requirements, as well as the design of new buildings that deviate from these standards. In such cases, replacement measures must be implemented to mitigate the adverse impact of non-conformities on fire safety. In Poland, the acceptance of replacement solutions is predicated on technical expert opinions on the state of fire protection [16], as prepared by building and fire protection experts [17]. In enclosed spaces intended for large numbers of people, it is considered good practice to assess the potential exposure to crowd stampedes, particularly because empirical evidence suggests that the aftermath of a panic evacuation may result in more casualties than those from the event itself [18]. Performance-based designs, i.e., designs that use fire safety engineering tools and available engineering knowledge but do not strictly adhere to the applicable requirements, can be used in other countries. However, in Poland, such designs are only possible by way of derogation. Nevertheless, this article proposes universal legislative changes that take into account the specificity of crowd evacuation from buildings.
Panic during evacuation, often referred to as a crowd stampede, is inherently unpredictable and dangerous. Consequently, conducting full-scale experiments under real conditions is hypothesised to be infeasible. Although analyses based on actual visual recordings have been conducted—for example, in the cases of earthquakes [19,20] or religious festivals [21]—such opportunities are limited by the scarcity and poor quality of available footage.
Recently, attempts have been made to use artificial intelligence to support the design of measures for the safe evacuation of people from buildings. These studies were summarised by Ternero [22]. The effectiveness of evacuation design could be improved using modern tools, but artificial intelligence takes into account the factors analysed in this study. Better recognition of people’s behaviour during crowd evacuations will allow for optimal use of modern engineering tools in the future. Recent publications also show the possibility of using virtual reality to design safe evacuation. VR has demonstrated the ability to overcome the limitations of traditional methods, such as limited realism, high costs, and logistical constraints, thereby reshaping approaches to disaster management [23].
Notably, according to the extant literature, the dynamics observed in the orderly movement of people under normal conditions differ considerably from those that occur when self-control is lost during an evacuation. One of the aims of this article is to clarify the principles that have been studied and analysed thus far regarding how evacuees behave according to their emotional state. This study is based on a literature review, the findings of which are distilled into conclusions that outline prospective research directions and perspectives. Ultimately, the long-term objective of this research is to enhance the safety of building occupants by reducing the likelihood of a crowd stampede during a panic evacuation. The author also intends to conduct further research to develop a theoretical foundation for the advancement of panic evacuation modelling.
This article contains a collection of studies by other authors, which were selected for this review to be viewed from a different perspective, not necessarily critiqued. The review selected studies that allow for the formulation of one’s own observations or that have inconsistent results with those of other studies. This comparison allowed for areas that may be an interesting field of research in the future to be identified.

2. Panic Evacuation Characteristics

A comprehensive review of the existing literature, including sociological and psychological publications, media reports, empirical studies, and counselling books, allows us to identify the defining characteristics of evacuation panic [8]:
  • Individuals tend to move, or attempt to move, at speeds that exceed their usual pace.
  • Physical pushing occurs as interactions between people become increasingly forceful.
  • Movement, particularly when negotiating constricted spaces, becomes uncoordinated.
  • Crowds thicken at exits, often forming curved edges.
  • Congestion develops.
  • Physical interactions within the dense crowd generate pressures of up to 4450 N/m, which can bend steel barriers or knock down brick walls.
  • The egress process is further impeded by fallen or injured individuals, who become obstacles themselves.
  • A tendency to adopt uniform, crowd-like behaviour is evident.
  • Alternative exits are often overlooked or used ineffectively.
In the author’s opinion, similar behaviours occur in various extraordinary situations, regardless of their type. Although the initiators of irrational behaviours may be different, the nature of the behaviours remains similar. In the literature [24], we can find typical psychological reactions to sudden events, which show that only about 16% of people experience a state of panic; more people are worried (38%), exhibit herding behaviours (23%), and remain calm (21%). The remaining 2% are flukes.
An interesting study using a social network analysis examined 78 instances of panic evacuation, identifying 17 factors associated with the onset of crowd panic [25]. The most prevalent risk factors include the following:
  • Crowds with densities that exceed critical thresholds;
  • Pedestrian trips and falls;
  • Inadequate implementation of safety measures;
  • Undirected movement of the crowd;
  • The absence of effective on-site monitoring.
During the literature review, a recurrent research challenge emerged—distinguishing between causes, effects, and accompanying phenomena, particularly in complex scenarios such as panic evacuations. A primary detrimental aspect of crowd evacuation is the formation of congestion at bottlenecks. This congestion can act both as a cause and an effect, creating positive feedback loops. Therefore, further investigation, ideally through experiments that closely resemble actual conditions, is imperative. Such research could reveal the underlying principles governing congestion during large-scale evacuations and identify measures to mitigate the negative impacts of crowd stampedes, potentially informing legislative changes.
It can be assumed that the phenomenon of panic understood as a psychological effect has been fairly well defined in the existing literature. Future research directions should concern the intensity of emotions over time. Intuitively, it may seem that the peak of unfavourable herding behaviour occurs at the beginning of the event, but it weakens over time, and interpersonal bonds and cooperation (rational behaviours) become increasingly important.
One objective of this study is to assess the practical applicability of the research findings published to date, along with the analysis presented herein. To this end, this study has identified key areas related to legal, technical, and construction requirements for safe evacuation that may require modification in scenarios where a crowd stampede is a risk. The evacuation requirements to be analysed include the following:
  • The width of a single emergency exit;
  • The number of emergency exits;
  • The length of an evacuation passage (within the room);
  • The length of an evacuation access (from the room to the safe zone);
  • The provision of smoke ventilation;
  • The use of a voice alarm system.
Each of these phenomena will also be examined for its potential impact on evacuation requirements. The aim is to identify dependencies that can guide the selection or modification of measures to reduce the likelihood of panic evacuations or minimise their adverse impact on evacuation safety.

3. Phenomena Associated with Panic Evacuation

3.1. Velocity of Movement Is Contingent on Crowd Density

Numerous studies have established a clear correlation between movement velocity and crowd density. These findings have been comprehensively summarised by Thompson and Marchant [26]. Figure 1 provides an overview of empirical studies on this relationship [27,28,29,30], illustrating the approximate range of values (indicated by the hatched area).
As shown in Figure 1, movement velocity ( v [m/s]) decreases as crowd density ( ρ [p/m2]), measured in people per square metre, increases. The differences observed across studies can be attributed to varying conditions and methodologies, which is to be expected. Additional research on this topic is available in the literature [31], though the principal assumptions and relationships outlined in 1995 remain both valid and widely utilised.
A detailed analysis of the relationship between evacuee movement speed and evacuation requirements leads to several key conclusions:
  • Operating at speeds greater than the design speed can reduce evacuation time; however, the impact of increased inhalation associated with heightened emotional states appears to be relatively minor.
  • A reduction in speed due to increased crowd density may negatively affect evacuation safety, as it prolongs exposure to hazardous substances for those trapped in congestion.
These adverse effects can be mitigated or even eliminated by shortening evacuation passages and access routes, as well as by equipping escape routes with effective smoke ventilation.

3.2. Flow Rate Is Contingent on the Density and Velocity of the Crowd

The theoretical relationship between flow rate and crowd density has been extensively examined in the literature [32].
Figure 2 shows the fundamental relationship between flow rate, velocity, and density. The graph’s characteristic shape is a common feature in many theoretical discussions on the subject. Here, the parameter of interest is the flow rate f [p/ms], which reaches its maximum at the critical parameters ρ c and v c . When crowd density is below the critical threshold, the flow rate increases with density, as pedestrian movement is relatively smooth. However, when density exceeds this critical level, blockages occur, causing both flow rate and velocity to decline. The safe density ρ s is defined as the point at which the crowd congregates but maintains a slow flow, while the maximum density ρ m a x represents the threshold beyond which movement ceases entirely.
Adopting precise values for each parameter remains challenging due to considerable variations between different data sources. For example, according to the Green Guide [34], ρ s is 4 p/m2 and ρ m a x is 7.4 p/m2; Chen et al. [35] reported ρ s as 3.57 p/m2 and ρ m a x as 8 p/m2; and CFPA-E [36] provided values of 1.9 p/m2 for ρ c (with ρ s not specified) and 3.8 p/m2 for ρ m a x . These variations suggest that parameter values depend on specific boundary conditions and should be selected on a case-by-case basis.
A comprehensive review of both the literature and empirical data on the relationship between crowd density and flow rate is available [37]. Figure 3 presents several approximations of this relationship, illustrating models such as WM [38], SFPE [39], Hankin [29], and PM [27].
These studies indicate that the reduced throughput caused by high crowd density significantly increases the time required to navigate bottlenecks. Consequently, implementing appropriate evacuation measures can mitigate these risks, as follows:
  • Increasing the width of emergency exits reduces pressure along the exit axis and facilitates more efficient flow.
  • Increasing the number of emergency exits distributes the flow of evacuees, thereby reducing the likelihood of congestion.
  • Shortening evacuation passages decreases the time needed to leave a room, thus limiting exposure to hazardous substances.
  • Equipping escape routes with smoke ventilation effectively removes dangerous substances from the environment.
  • Installing a voice alarm system is recommended as it can help to maintain calm and guide evacuations in the correct direction.
Two predictions, which require further empirical validation, have been made, as follows:
  • Under free-flow conditions, the relationship between exit width and flow rate may be non-linear, exhibiting a stepwise improvement as the exit width increases to accommodate successive individuals side by side. This phenomenon, often referred to as the “zipper effect” [37], merits further investigation.
  • Under congested conditions, the relationship between exit width and flow rate may also be non-linear due to the highest crowd pressure being exerted at the edges of the exit [40]. Even with a sufficiently wide exit, the pressure at the centre may not be sufficient to significantly impede flow.

3.3. Congestion Prevents Coordinated Evacuation

As illustrated in Figure 4 and detailed in Table 1, the temporal dynamics of egress from a reference room (15 × 15 m, with a 1 m wide door) depend on the velocity at which individuals move [8].
Two significant observations can be drawn from the graph and table. Firstly, the maximum number of individuals (44) that could be evacuated during the 51–75 s test period were evacuated at a velocity of 1.5 m/s. Comparable outcomes were observed in the other scenarios, that is, 35 people at 2.5 m/s, 34 at 2 m/s, 30 at 1 m/s, and 26 at 3 m/s. The poorest performance was recorded at speeds of 3.5 m/s (19 people) and 0.5 m/s (20 people). To analyse escape evacuation, understanding how congestion forms in relation to speed is crucial; congestion is represented by horizontal lines in the graph and shaded cells in the table.
The data indicate that the greatest congestion occurred at the highest speeds: 3.5 m/s resulted in six congestion episodes (three of which lasted ≥2 s), while 3 m/s produced five episodes (three of which were long). In contrast, no congestion was observed at a speed of 0.5 m/s; the gaps (or “0” values) in the table reflect an insufficient density of people to sustain a continuous flow. Notably, significant congestion was not observed until speeds of 2 m/s and 2.5 m/s, and these instances were isolated. Notably, the room (225 m2) had only a single 1 m wide emergency exit; wider or more exit configurations are hypothesised to be able to accentuate the effects of accelerated movement.
A fundamental question arising from these surveys is whether the number of individuals evacuated is the sole pertinent metric when assessing effectiveness of evacuation, and whether it analyses congestion. Ultimately, the primary concern is to determine whether evacuating all occupants within the designated timeframe is feasible. Recognising that congestion can lead to injuries due to increased pressure, which may significantly reduce the effective width of the available passage, is also critical.
The above observations are probably most relevant in situations involving relatively high crowd densities (i.e., crowd densities near an emergency exit exceeding 2 p/m2). A surveillance video (https://www.youtube.com/watch?v=eSm3ywc_LIs, accessed on 19 January 2025) is available in news reports of the onset of panic in a low-density gymnasium (with only 19 people in the entire room). This video was recorded in North Carolina in January 2020 during a storm that caused damage to a wall and part of the roof of the building. Although a single recording cannot provide definitive conclusions, it provides a valuable starting point for further analysis, given the intuitive nature of the observations. The optimal walking speed is assumed to exceed a comfortable pace until a critical crowd density is reached, and the emergency exits are sufficiently numerous and spacious. However, the exact relationship between these parameters remains to be definitively demonstrated. A detailed analysis of the video frames reveals that the subjects moved at an average speed of about 3.5 m/s, as evidenced by the person wearing a white sweatshirt, who covered about 7 m in about 2 s. Interestingly, this movement did not cause any congestion, and the subjects quickly left the potentially dangerous area.
The primary focus of this article and the numerous studies it references is congestion. This issue poses a significant research challenge because, depending on the event, heightened emotions during evacuation (e.g., a crowd stampede) can trigger congestion, and congestion, in turn, can exacerbate emotional distress. These two phenomena may even reinforce one another. Nevertheless, several evacuation measures have been shown to reduce the likelihood of congestion:
  • Increasing the width of emergency exits reduces pressure along the exit axis, addressing one of the root causes of congestion.
  • Reducing the length of evacuation passages decreases the time required to leave the room, thus mitigating the adverse effects of congestion.
  • Implementing smoke ventilation can remove hazardous substances from the environment, alleviating the negative impact of congestion.
  • Installing a voice alarm system, when properly programmed and designed, allows for the potential to calm emotions, thereby reducing the likelihood of congestion.

3.4. In a State of Panic, People Are Prone to Following the Crowd

Analyses of real-life events have demonstrated that individuals are more likely to follow the crowd when in a state of panic [19]. Figure 5 shows the number of people evacuating through two emergency exits at Chengdu Airport following an earthquake in China. Although the observed disparity in the graph is greater than would be expected under normal circumstances, this is largely because of staff directing people to exit 1 at one point. Even after this directive was withdrawn, most individuals continued to use exit 1, even as it began to congest, while exit 2 remained relatively unoccupied (see Figure 5).
A similar phenomenon has been observed in ants [41]. Under conditions of panic, ants showed a pronounced preference for one exit, with the ratio of ants choosing the left over the right exit at 38.3%. In contrast, in non-panic situations, the distribution of exit choices was considerably more even, with a ratio of just 12.4%.
Research has indicated that, in non-panic situations, individuals do not invariably proceed towards the nearest exit. Instead, the decision to evacuate is made on an individual basis, influenced by factors such as personal capabilities, the distance to the exit, crowd density, and psychological considerations [42]. However, once panic ensues, a clear pattern emerges: individuals are less inclined to alter their chosen path and are more likely to follow well-established routes (often those they used when entering the building). Furthermore, as people draw closer together and exhibit crowd-like behaviour, a phenomenon known as “herding” [43] becomes apparent, diminishing their individual sense of comfort.
Similar to the formation of traffic jams, the herd mentality in panic evacuations can both cause and result from congestion. A complete absence of individual decision making is not conducive to a safe evacuation, and such behaviour should be discouraged. By encouraging evacuees to make rational decisions about their escape routes—rather than simply following the crowd—the risk of congestion can be mitigated. Measures such as wider or additional emergency exits and the installation of a voice alarm system within the building can promote more rational decision making, thereby ensuring a safer and more orderly evacuation process.

3.5. Optimal Evacuation Does Not Invariably Occur at a Comfortable Speed

Helbing et al. [8] demonstrated in their seminal work that the shortest evacuation times are achieved under conditions of “incomplete” panic. As shown in Figure 6, the effectiveness of an evacuation depends on the panic parameter, p i , which represents the ratio of instances of individual decision making to instances of herding behaviour. Each individual i can choose a direction of movement, e i , either independently or by following the average direction of their neighbours, e j 0 ( t ) i (where j represents neighbours). These two influences are hypothesised to be weighted by the panic parameter p i , as expressed in the following equation:
e i 0 t = N 1 p i e i + p i e j 0 ( t ) i
This relationship indicates that at low values of p i , individual behaviour predominates, while at high values, herding behaviour becomes dominant.
Figure 6 shows the evacuation process of 80 individuals from a reference smoky room (15 × 15 m) equipped with two invisible exits, each 1.5 m wide. The figure shows evacuation times under various scenarios that simulate both individual and herding behaviours. The analysis by Helbing et al. [8] reveals that the most efficient evacuation occurs when p i = 0.4, indicating an almost equal mix of individual and herding behaviour. This finding is in line with those of experimental studies [44], which show that while collective behaviours often outperform isolated individual actions, they may be less effective at generating novel solutions to complex challenges.
Similar observations were reported by Shen et al. [45], who analysed the optimal values of the panic parameter for rooms of different sizes. Their results, shown in Figure 7, indicate that optimal values range from 0.3 to 0.4, with a marginally lower optimal panic parameter observed for larger rooms compared with those for smaller rooms.
In our earlier analysis (Section 3.3, Figure 4), we noted that increased velocity did not adversely affect the number of evacuees at low crowd densities. A further observation, pertinent to the current discussion, is that a moderate degree of panic improves evacuation efficiency. This enhancement results from faster movement as well as the distinctive characteristics of herding behaviour.
As demonstrated in other studies [46], the issue remains complex. In some cases, “semi-panic” has been found to detrimentally affect evacuation times, while in others, it has proved beneficial (see Table 2). Notably, the concept of “incomplete panic” from the 2000 study [8] differs from the notion of “semi-panic” described in the 2014 study [46]. In the latter, “semi-panic” is characterised not by a specific panic parameter but by the potential for confusion and the resultant increase in movement speed among various groups, including people with and without disabilities. However, in Helbing’s case, “incomplete panic” is defined by the panic parameter, which can be determined from formula (1).
The evacuation time of those with hearing and visual impairment in the semi-panic scenario decreases because they do not experience mental disorientation, and the effect of accelerated speed is stronger than that of fatigue accumulation [46].
Further experimental research and analysis of real events will be necessary to fully describe this principle. Nonetheless, defining incomplete evacuation in terms of the panic parameter p i appears to facilitate a more universal framework for understanding evacuation dynamics.

3.6. Obstacles Can Have a Positive Effect on Evacuation Time

The strategic placement of obstacles during crowd events is now widely acknowledged to yield substantial benefits. A substantial body of experimental studies and simulations supports this assertion. In moderately sized crowds, the use of obstacles to compartmentalise evacuees has been shown to improve evacuation efficacy by approximately 30% [47]. This benefit may be further enhanced in larger crowds.
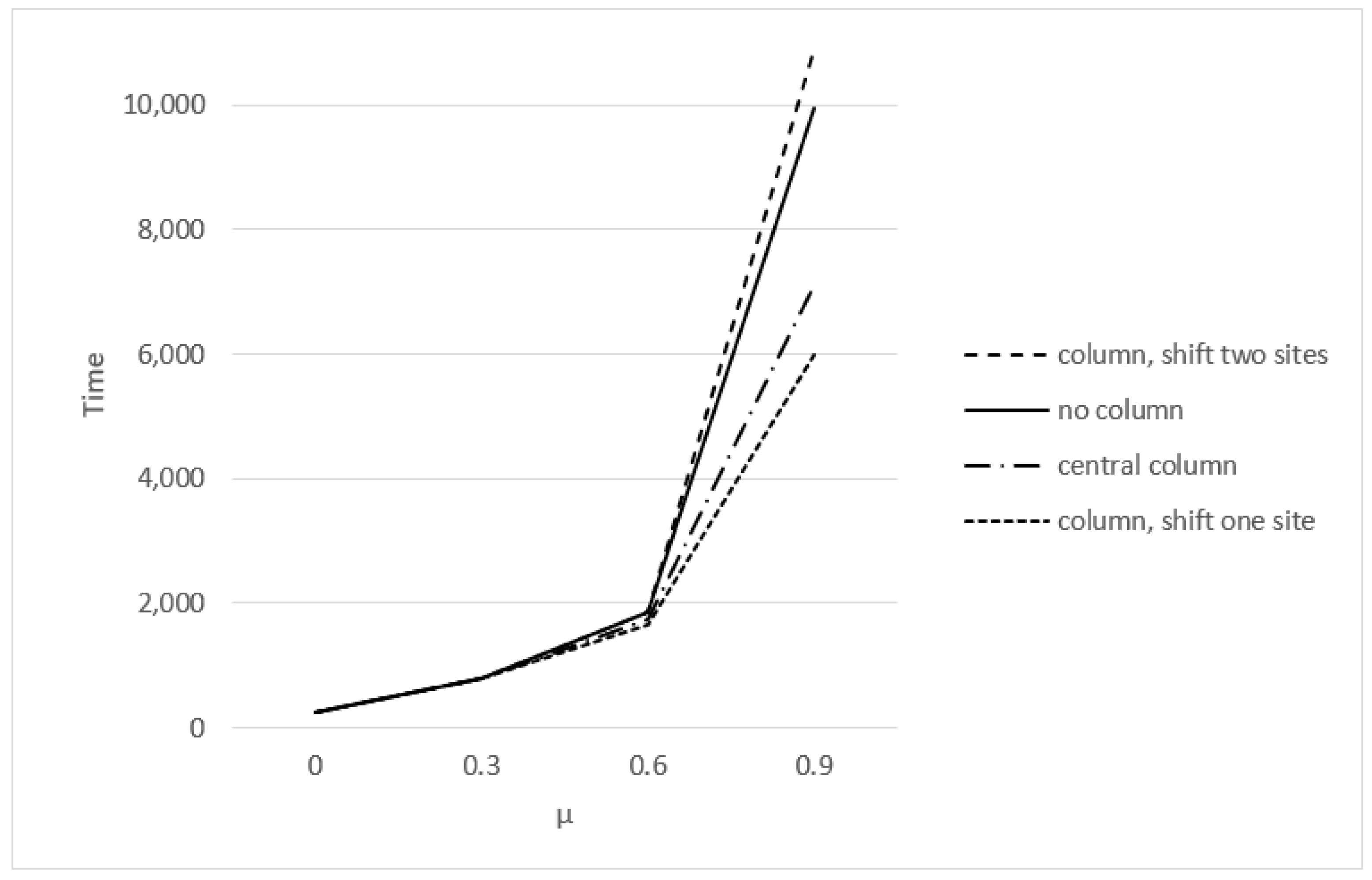
Surprisingly, research has found that the most effective arrangement is an asymmetrical partition relative to the centre of symmetry of the emergency exit. This counterintuitive finding was analysed using the so-called coefficient of friction [48]. Studies demonstrate that the shortest evacuation times are achieved when an off-centre obstacle is positioned marginally away from the exit axis. Furthermore, evacuation times are still improved when an obstacle is placed directly on the axis compared with scenarios with no obstacle at all (see Figure 8).
A more detailed examination of the optimal location of obstacles in relation to the exit axis reveals that the ideal placement should obstruct lateral pedestrian movement while allowing those moving perpendicularly to the wall to pass unimpeded [49]. Furthermore, simulations [40] indicate that both the position and the shape of an obstacle are crucial. In the simulations, the reference evacuation time was reduced from 101.1 s to 92.39 s with a column-type obstacle and to 77.95 s with a pre-wall-shaped obstacle.
From a practical perspective, clearly, optimally placed obstacles can significantly enhance evacuation conditions by effectively widening the designated escape route. In situations where other measures, such as reducing pressure along the exit axis, are not feasible, the use of strategically positioned obstacles should be considered. Although retrofitting existing buildings with such features may be challenging, this approach is more viable for temporary settings such as exhibitions or events with unusually large numbers of participants.
The impact of obstacles on evacuation times has attracted sufficient interest to warrant optimisation of their location and shape using probabilistic distributions, a method already applied to other evacuation parameters [50].
An additional factor to consider is the behaviour of individuals in conditions of limited visibility. Under poor visibility, evacuees are more likely to pause and maintain contact with walls or other obstacles rather than to continue moving, even if in a prone position [19]. It can be posited that if evacuees do move, they tend to follow the walls, which may positively influence the evacuation process by providing a more directed flow.
Guo et al. [51] demonstrated that during a panic evacuation, individuals initially congregate around a light source (typically at the centre of the room) before seeking an exit that may not be immediately visible. In contrast, in a non-panic evacuation scenario with an unchanged room layout, individuals promptly move toward the emergency exits, bypassing the illuminated central area. This evacuation sequence is shown in Figure 9.

3.7. Impact of Phenomena Accompanying Panic Evacuation on Technical and Construction Requirements

The existing literature provides a solid basis for implementing measures that enhance the safety of large groups evacuating from confined spaces. The analysis suggests that several phenomena are associated with panic evacuation, highlighting significant potential for further research. This includes optimising evacuation times at speeds higher than those considered comfortable and determining the probabilistic distribution of optimal obstacle locations to prevent critical congestion. Other observations yet to be fully explored suggest that increasing the minimum required widths of emergency exits, potentially at the expense of the number of exits, could reduce the risk of crowd stampedes. The author posits that these findings not only inform the development of evacuation procedures by experts in the field but also support the case for legislative changes in this domain.
As detailed in Table 3, this study presents an in-depth analysis of the phenomena that accompany a crowd stampede during a panic evacuation and indicates the impact of these phenomena on various technical and construction requirements for evacuation. Table 3 presents several hypotheses that can be regarded as both expert and intuitive. However, further research is needed to clarify these propositions and to determine the interdependencies between individual requirements. In this table, the designation “C” refers to measures that address the causes of the phenomenon, while “E” indicates measures that minimise its negative effects. It is important to note that these assignments reflect the author’s subjective evaluation, which must be validated through additional research.
At this point, it is worth proposing the expected legislative changes concerning the inclusion of certain conditions, including the possibility of crowd evacuation, in the design of safe evacuation. Introducing the following specific legislative changes, particularly for rooms intended for more than 300 people (a value currently used in Polish technical and construction regulations), would be advisable:
  • The introduction of mandatory use of a voice alarm system;
  • Increasing the required width of emergency exits by 50% and requiring the use of three (not two) emergency exits;
  • As an alternative to the two requirements above, conducting a computer simulation of an evacuation or real tests to confirm the effectiveness of another solution.
The special role of alternative solutions is to avoid the evacuees’ preferences for herding behaviour. Herding behaviour can lead to a reduction in the effectiveness of the evacuation process. Herding behaviour is described in more detail in Chapter 2, but the most disadvantageous behaviours from the point of view of evacuation include.
  • Following the crowd and lacking rational decisions made individually based on the current condition in the building.
  • Lacking willingness to change the original decision, even though the original decision turned out to be irrational.
  • The emergence of competitive behaviour, although cooperation would lead to a faster exit from the unsafe area.
The exact determination of the adverse impact of herding behaviour requires further research, but in order to illustrate how computer simulations can be used to analyse the above impact, a fragment of the author’s own research, not yet published, will be presented below. The study concerned hypothetical evacuation scenarios based on an event that took place in Gdansk, Poland, in 1994. There was a rock concert there, during which a fire and a subsequent evacuation occurred. The reconstruction of the event and a detailed analysis will be the subject of a separate publication, but during the study of different scenarios, preferences evacuation doors were recreated. The main evacuation door had a clear advantage in this choice, although the other exits were also available (in the analysed scenario). A lack of willingness to change the decision, which is an element of herd behaviour (point two above), resulted in a situation where the alternative evacuation exit in the second phase of the evacuation was not used, which weakened the effectiveness of the evacuation (see Figure 10 and Figure 11A,B).
The graph shown in Figure 10 shows a clear change in the angle of the line at 350 s of evacuation. It shows the deterioration in evacuation efficiency at the moment when all the people who chose the upper exit had already left the building and the remaining people evacuated only through the lower exit (Figure 11A,B). Here, we can clearly see the negative impact of herd behaviour on the efficiency of evacuation, mainly consisting of a lack of willingness to change the original decision, even though changing the decision would be rational from the point of view of evacuation efficiency.

4. Conclusions

The characteristics of panic behaviour outlined in this article have served as a reliable theoretical foundation for understanding evacuation safety in engineering for over 25 years. Although the phenomena described do not exhaust all theoretical assumptions for modelling panic, they provide a contemporary summary of current knowledge in selected areas and clearly indicate potential directions for further research.
A thorough analysis of the characteristics of stampedes and the less intuitive aspects of crowd movement under emotional influence raises a challenging question: is panic itself (a psychological factor) the primary issue, or are the physical bottlenecks in escape routes, particularly in narrow areas, the root cause? Adverse reactions during panic can be argued to increase the likelihood of congestion, and in turn, congestion intensifies these adverse reactions, creating a positive feedback loop in which each condition exacerbates the other.
Although this article is not a typical research article, it contains elements that are new observations and have not been published before:
  • Determination of the impact of possible technical and construction solutions on reducing the risk of panic and/or congestion at bottlenecks;
  • The suggestion that panic may be both a cause and effect of physical phenomena occurring between people in a crowd;
  • Provision of a graph showing the area, not the lines, of the relationship between speed and crowd density.
Additionally, the author’s comments on selected characteristics of crowd evacuation are included.
The author’s future research will focus on real-life experiments and computer simulations to achieve a deeper understanding of the described phenomena and their interactions. A key question remains: is it possible to recreate the panic of a stampede in an experimental setting, and if so, is it ethical? Any real-life experiments must be designed with the utmost care, particularly with regard to the emotional states of the participants. A certain type of crowd behaviour, similar to herding behaviour during escape panic, is a phenomenon described in the literature as a “frenzy” [52] or “acquisition panic” [53]. In contrast to the classic escape panic, which is described as a sudden rush from something, the phenomenon of acquisition panic involves a sudden rush towards something. However, these crowd behaviours should not be clearly separated from each other because, regardless of their different causes (or rather initiators), many characteristic features, both behavioural and physical, are similar between these behaviours. Conducting research with motivated people, not frightened ones, will certainly be easier and more ethical.
Moreover, further clarification is needed on the following parameters:
  • The movement speed of crowds, depending on the crowd homogeneity, anthropogenic features, type of event, type of building, etc. Of particular interest would be research on changes in evacuation parameters for homogeneous crowds (with the same age, physical parameters, and physical fitness);
  • Flow rates, depending on the number and width of evacuation exits, the possibility of changing exits, crowd homogeneity, anthropogenic features, and layout and dimension optimisation. In this case, it would be advisable to concentrate research on auditorium buildings;
  • Other physical parameters, especially concerning their dependence on local conditions and anthropogenic factors;
  • Confirmation of the impact of phenomena accompanying panic evacuation on the technical and construction requirements included in Table 3. It should be noted that the table content contains largely intuitive and expert-based indications. It would be of importance to determine the quantitative relationship between the solutions used and their impact on the effectiveness of evacuation.
Regardless of the above detailed potential research directions, questions of how to define panic and how to quantify the direct relationship between panic and evacuation behaviour remain unanswered.

Funding

This research received no external funding.

Institutional Review Board Statement

Not applicable.

Informed Consent Statement

Not applicable.

Data Availability Statement

No new research data were created.

Conflicts of Interest

The author declares no conflict of interest.

References

  1. Mintz, A. Non-adaptive group behavior. J. Abnorm. Soc. Psychol. 1951, 46, 150–159. [Google Scholar] [CrossRef] [PubMed]
  2. Quarantelli, E.L. The nature and conditions of panic. Am. J. Sociol. 1954, 60, 267–275. [Google Scholar] [CrossRef]
  3. Janis, I.L.; Mann, L. Decision Making: A Psychological Analysis of Conflict, Choice, and Commitment; Free Press: New York, NY, USA, 1977. [Google Scholar]
  4. Canter, D.; Breaux, J.; Sime, J.D. Domestic multiple occupancy and hospital fires. In Fires and Human Behaviour; Canter, D., Ed.; Wiley: Chichester, UK, 1980; pp. 117–136. [Google Scholar]
  5. Tong, D.; Canter, D. The decision to evacuate: A study of the motivations which contribute to evacuation in the event of fire. Fire Saf. J. 1985, 9, 257–265. [Google Scholar] [CrossRef]
  6. Ebihara, M.; Ohtsuki, A.; Iwaki, H. A model for simulating human behavior during emergency evacuation based on classificatory reasoning and certainty value handling. Microcomput. Civ. Eng. 1992, 7, 63–71. [Google Scholar] [CrossRef]
  7. Still, G.K. New computer system can predict human behaviour response to building fires. Fire 1993, 84, 40–41. [Google Scholar]
  8. Helbing, D.; Farkas, I.; Vicsek, T. Simulating dynamic features of escape panic. Nature 2000, 407, 487–490. [Google Scholar] [CrossRef]
  9. Elliott, D.; Smith, D. Football stadia disasters in the United Kingdom: Learning from tragedy? Ind. Environ. Crisis Q. 1993, 7, 205–229. [Google Scholar] [CrossRef]
  10. Pecio, M. Społeczno-ekonomiczne koszty pożarów [Socio-economic cost of fires]. BiTP 2014, 35, 39–45. [Google Scholar] [CrossRef]
  11. Regulation of the Minister of Infrastructure of 12 April 2002 on the Technical Conditions to Be Met by Buildings and Their Location (Pol. J. Laws/Dz.U. 2002 No. 75 Item 690, as Amended). 2002. Available online: https://isap.sejm.gov.pl/isap.nsf/DocDetails.xsp?id=WDU20020750690 (accessed on 28 October 2023).
  12. Regulation of the Minister of Internal Affairs and Administration of 7 June 2010 on Fire Protection of Buildings, Other Buildings and Areas (Pol. J. Laws/Dz.U. 2010 No. 109 Item 719, as Amended). 2010. Available online: https://isap.sejm.gov.pl/isap.nsf/DocDetails.xsp?id=WDU20101090719 (accessed on 28 October 2023).
  13. Haase, K.; Kasper, M.; Koch, M.; Müller, S. A pilgrim scheduling approach to increase safety during the Hajj. Oper. Res. 2019, 67, 376–406. [Google Scholar] [CrossRef]
  14. Burkle, F.M.; Hsu, E.B. Ram Janki Temple: Understanding human stampedes. Lancet 2011, 377, 106–107. [Google Scholar] [CrossRef]
  15. Zhu, R.; Lin, D.; Jendryke, M.; Zuo, C.; Ding, L.; Meng, L. Geo-tagged social media data-based analytical approach for perceiving impacts of social events. ISPRS Int. J. Geo-Inf. 2019, 8, 15. [Google Scholar] [CrossRef]
  16. KG PSP. Procedury Organizacyjno-Techniczne W Sprawie Spełnienia Wymagań W Zakresie Bezpieczeństwa Pożarowego W Inny Sposób Niż to Określono W Przepisach Techniczno-Budowlanych, W Przypadkach Wskazanych W Tych Przepisach, Oraz Stosowania Rozwiązań Zamiennych, Zapewniających Niepogorszenie Warunków Ochrony Przeciwpożarowej, W Przypadkach Wskazanych W Przepisach Przeciwpożarowych. 2008. Available online: https://www.gov.pl/attachment/823f9cb8-928d-4292-bcf3-abb9cf4afa61 (accessed on 19 January 2025).
  17. Pecio, M. Acceptance criteria of replacement solutions in fire protection. Sci. Rep. Fire Univ. 2023, 1, 147–157. [Google Scholar] [CrossRef]
  18. Sarshar, P.; Radianti, J.; Gonzalez, J.J. Modeling panic in ship fire evacuation using dynamic Bayesian network. In Proceedings of the Third International Conference on Innovative Computing Technology (INTECH), London, UK, 29–31 August 2013. [Google Scholar] [CrossRef]
  19. Yang, X.; Wu, Z.; Li, Y. Difference between real-life escape panic and mimic exercises in simulated situation with implications to the statistical physics models of emergency evacuation: The 2008 Wenchuan earthquake. Physical A 2011, 390, 2375–2380. [Google Scholar] [CrossRef]
  20. Bernardini, G.; Lovreglio, R.; Quagliarini, E. Proposing behavior-oriented strategies for earthquake emergency evacuation: A behavioral data analysis from New Zealand, Italy and Japan. Saf. Sci. 2019, 116, 295–309. [Google Scholar] [CrossRef]
  21. Johansson, A.; Helbing, D.; A-Abideen, H.Z.; Al-Bosta, S. From crowd dynamics to crowd safety: A video-based analysis. Adv. Complex Syst. 2008, 11, 497–527. [Google Scholar] [CrossRef]
  22. Ternero, R.; Fuertes, G.; Alfaro, M.; Vargas, M.; Sabattin, J.; Gutierrez, S.; Duran, C. Artificial intelligence methodologies for building evacuation plan modelling. J. Build. Eng. 2024, 96, 110408. [Google Scholar] [CrossRef]
  23. Hung, M.-C.; Lin, C.-Y.; Hsiao, G.L.-K. Virtual Reality in Building Evacuation: A Review. Fire 2025, 8, 80. [Google Scholar] [CrossRef]
  24. Wang, J.; Yan, W.; Zhi, Y.; Jiang, J. Investigation of the Panic Psychology and Behaviors of Evacuation Crowds in Subway Emergencies. Procedia Eng. 2016, 135, 128–137. [Google Scholar] [CrossRef]
  25. Guo, X.; Niu, L.; Guan, H. The mechanism of crowd stampede based on case statistics through SNA method. Teh. Vjesn. 2021, 28, 548–555. [Google Scholar] [CrossRef]
  26. Thompson, P.A.; Marchant, E.W. Computer and fluid modelling of evacuation. Saf. Sci. 1995, 18, 277–289. [Google Scholar] [CrossRef]
  27. Fruin, J.J. Pedestrian Planning and Design; Metropolitan Association of Urban Designers and Environmental Planners: New York, NY, USA, 1971. [Google Scholar]
  28. Predtechenskii, V.M.; Milinski, A.I. Planning for Foot Traffic Flow in Buildings; Stroiizdat Publishers: Moscow, Russia, 1969. [Google Scholar]
  29. Ando, K.; Ota, H.; Oki, T. Forecasting the flow of people. Railw. Res. Rev. 1988, 45, 8–14. (In Japanese) [Google Scholar]
  30. Hankin, B.D.; Wright, R.A. Passenger flow in subways. J. Oper. Res. Soc. 1958, 9, 81–88. [Google Scholar] [CrossRef]
  31. Fang, Z.; Lo, S.M.; Lu, J.A. On the relationship between crowd density and movement velocity. Fire Saf. J. 2003, 38, 271–283. [Google Scholar] [CrossRef]
  32. Huang, L.; Liu, D.; Zhang, Y. Dynamics-based stranded-crowd model for evacuation in building bottlenecks. Math. Probl. Eng. 2013, 364791, 364791. [Google Scholar] [CrossRef]
  33. Lu, J.A.; Fang, Z.; Lu, Z.M.; Zhao, C. Mathematical model of evacuation speed for personnel in buildings. Eng. J. Wuhan Univ. 2002, 35, 66–70. [Google Scholar]
  34. Authority, F.L. Guide to Safety at Sports Grounds (Green Guide), 5th ed.; Department for Culture, Media and Sport: London, UK, 2008.
  35. Chen, J.; Zhang, P.J.; Yang, W.; Li, Q. Personnel evacuation strategy for theater based on systematic dynamics model. J. Nat. Disast. 2005, 14, 125–132. [Google Scholar]
  36. CFPA-E. Guideline No 19:2023 F, Fire Safety Engineering Concerning Evacuation from Buildings. 2023. Available online: https://cfpa-e.eu (accessed on 19 January 2025).
  37. Seyfried, A.; Passon, O.; Steffen, B.; Boltes, M.; Rupprecht, T.; Klingsch, W. New insights into pedestrian flow through bottlenecks. Transp. Sci. 2009, 43, 395–406. [Google Scholar] [CrossRef]
  38. Weidmann, U.; der Fußgänger, T. Schriftenreihe Des IVT 90; ETH Zürich: Zürich, Switzerland, 1993. [Google Scholar]
  39. Nelson, H.E.; Mowrer, F.W. Emergency movement. In SFPE Handbook of Fire Protection Engineering, 3rd ed.; DiNenno, P.J., Ed.; National Fire Protection Association: Quincy, MA, USA, 2002; Chapter 14; p. 367. [Google Scholar]
  40. Zhao, Y.; Li, M.; Lu, X.; Tian, L.; Yu, Z.; Huang, K.; Wang, Y.; Li, T. Optimal layout design of obstacles for panic evacuation using differential evolution. Physical A 2017, 465, 175–194. [Google Scholar] [CrossRef]
  41. Altshuler, E.; Ramos, O.; Yahaira, N.; Fernández, J.; Batista-Leyva, A.J.; Noda, C. Symmetry breaking in escaping ants. Am. Nat. 2005, 166, 643–649. [Google Scholar] [CrossRef]
  42. Burstedde, C.; Klauck, K.; Schadschneider, A.; Zittartz, J. Simulation of pedestrian dynamics using a 2-dimensional cellular automaton. Physical A 2001, 295, 507–525. [Google Scholar] [CrossRef]
  43. Wang, J.; Zhang, L.; Shi, Q.; Yang, P.; Hu, X. Modeling and simulating for congestion pedestrian evacuation with panic. Physical A 2015, 428, 396–409. [Google Scholar] [CrossRef]
  44. Kelley, H.H.; Thibaut, J.W. Group problem solving. In The Handbook of Social Psychology; Lindzey, G., Aronson, E., Eds.; Addison-Wesley: Reading, MA, USA, 1969; Volume 4. [Google Scholar]
  45. Shen, J.; Wang, X.; Jiang, L. The influence of panic on the efficiency of escape. Physical A 2018, 491, 613–618. [Google Scholar] [CrossRef]
  46. Koo, J.; Kim, Y.; Kim, B. Estimating the effects of mental disorientation and physical fatigue in a semi-panic evacuation. Expert Syst. Appl. 2014, 41, 2379–2390. [Google Scholar] [CrossRef]
  47. Helbing, D.; Buzna, L.; Johansson, A.; Werner, T. Self-Organized Pedestrian Crowd Dynamics: Experiments, Simulations, and Design Solutions. Transp. Sci. 2005, 39, 1–146. [Google Scholar] [CrossRef]
  48. Kirchner, A.; Nishinari, K.; Schadschneider, A. Friction effects and clogging in a cellular automaton model for pedestrian dynamics. Phys. Rev. E 2003, 67, 056122. [Google Scholar] [CrossRef]
  49. Yanagisawa, D.; Kimura, A.; Tomoeda, A.; Nishi, R.; Suma, Y.; Ohtsuka, K.; Nishinari, K. Introduction of frictional and turning function for pedestrian outflow with an obstacle. Phys. Rev. E 2009, 80, 036110. [Google Scholar] [CrossRef]
  50. Krasuski, A.; Kubica, P.; Pecio, M. Multisymulacje: Analiza ryzyka pożarowego [Multisimulations: Fire risk analysis]. Ochr. Przeciwpożarowa 2017, 60, 2. [Google Scholar]
  51. Guo, C.; Huo, F.; Li, C.; Li, Y. An evacuation model considering the phototactic behavior of panic pedestrians under limited visual field. Physical A 2023, 615, 128602. [Google Scholar] [CrossRef]
  52. Smelser, N.J. Theory of Collective Behavior; The Free Press: New York, NY, USA, 1963. [Google Scholar]
  53. Brown, R. Social Psychology; The Free Press: New York, NY, USA, 1965. [Google Scholar]
Figure 1. Range of movement speed values depending on crowd density.
Figure 1. Range of movement speed values depending on crowd density.
Urbansci 09 00258 g001
Figure 2. Basic relationship between flow rate, velocity, and crowd density [33].
Figure 2. Basic relationship between flow rate, velocity, and crowd density [33].
Urbansci 09 00258 g002
Figure 3. Graph of the relationship between crowd density and flow rate.
Figure 3. Graph of the relationship between crowd density and flow rate.
Urbansci 09 00258 g003
Figure 4. Number of people evacuated per unit time for different movement velocities.
Figure 4. Number of people evacuated per unit time for different movement velocities.
Urbansci 09 00258 g004
Figure 5. Graph showing the number of people evacuated through exits 1 and 2.
Figure 5. Graph showing the number of people evacuated through exits 1 and 2.
Urbansci 09 00258 g005
Figure 6. Number of evacuated people and time to evacuate a smoky room as a function of the panic parameter.
Figure 6. Number of evacuated people and time to evacuate a smoky room as a function of the panic parameter.
Urbansci 09 00258 g006
Figure 7. Relationship between evacuation time and floor area for two rooms of different sizes.
Figure 7. Relationship between evacuation time and floor area for two rooms of different sizes.
Urbansci 09 00258 g007
Figure 8. Evacuation time as a function of the friction coefficient μ for different spatial arrangements.
Figure 8. Evacuation time as a function of the friction coefficient μ for different spatial arrangements.
Urbansci 09 00258 g008
Figure 9. Sequence of evacuating people from a darkened room. Dark arrows indicate calm individuals, while light arrows represent those exhibiting emotional responses.
Figure 9. Sequence of evacuating people from a darkened room. Dark arrows indicate calm individuals, while light arrows represent those exhibiting emotional responses.
Urbansci 09 00258 g009
Figure 10. Number of people remaining to be evacuated in time in the scenario under study.
Figure 10. Number of people remaining to be evacuated in time in the scenario under study.
Urbansci 09 00258 g010
Figure 11. (A) Evacuation status before 350 s; (B) evacuation status after 350 s.
Figure 11. (A) Evacuation status before 350 s; (B) evacuation status after 350 s.
Urbansci 09 00258 g011
Table 1. Number of people evacuated per unit of time depending on their velocity.
Table 1. Number of people evacuated per unit of time depending on their velocity.
Time [s]51525354555657585960616263646566676869707172737475
Velocity  [m/s]0.50101101111111020111011111
11111111111110122112222012
1.52222232222321031021121132
21221200001221211230321230
2.51311100113013130133221111
30001413222201110021200010
3.50011131020001120210001101
Table 3. Impact of phenomena accompanying panic evacuation on technical and construction requirements.
Table 3. Impact of phenomena accompanying panic evacuation on technical and construction requirements.
Movement VelocityFlow RateCongestionsMass BehaviourObstacles
Exit width CC/EC/EC
Number of exits C C/E
Evacuation passageEEE
Evacuation accessE
Smoke ventilationEEE
Voice alarm system CCC
Table 2. Comparison of evacuation times [s] in scenarios without panic and with semi-panic [44].
Table 2. Comparison of evacuation times [s] in scenarios without panic and with semi-panic [44].
People’s CharacteristicsNo PanicSemi-PanicDifference [%]
General789.1823.84.4
No disability762.9793.94.1
Powered wheelchairs1064.01074.11.0
Non-powered wheelchairs1055.21059.70.4
Visual impairment807.2749.7−7.1
Low stamina917.81095.319.3
Hearing impairment158.8731.9−3.6
Disclaimer/Publisher’s Note: The statements, opinions and data contained in all publications are solely those of the individual author(s) and contributor(s) and not of MDPI and/or the editor(s). MDPI and/or the editor(s) disclaim responsibility for any injury to people or property resulting from any ideas, methods, instructions or products referred to in the content.

Share and Cite

MDPI and ACS Style

Pecio, M. Issues of Crowd Evacuation in Panic Conditions. Urban Sci. 2025, 9, 258. https://doi.org/10.3390/urbansci9070258

AMA Style

Pecio M. Issues of Crowd Evacuation in Panic Conditions. Urban Science. 2025; 9(7):258. https://doi.org/10.3390/urbansci9070258

Chicago/Turabian Style

Pecio, Mariusz. 2025. "Issues of Crowd Evacuation in Panic Conditions" Urban Science 9, no. 7: 258. https://doi.org/10.3390/urbansci9070258

APA Style

Pecio, M. (2025). Issues of Crowd Evacuation in Panic Conditions. Urban Science, 9(7), 258. https://doi.org/10.3390/urbansci9070258

Article Metrics

Back to TopTop