Next Article in Journal
Effect of Contraction and Construction Joint Quality on the Static Performance of Concrete Arch Dams
Previous Article in Journal
Leveraging Deep Learning for Robust Structural Damage Detection and Classification: A Transfer Learning Approach via CNN
 
 
Font Type:
Arial Georgia Verdana
Font Size:
Aa Aa Aa
Line Spacing:
Column Width:
Background:
Article

Simulation of Dynamic Mechanical Properties of Sustainable Lightweight Aggregate Concrete with Mesoscopic Model

1
School of Mechanical Engineering, Nanjing University of Science and Technology, Nanjing 210094, China
2
School of Civil and Transportation Engineering, Guangdong University of Technology, Guangzhou 510006, China
*
Author to whom correspondence should be addressed.
Infrastructures 2024, 9(12), 230; https://doi.org/10.3390/infrastructures9120230 (registering DOI)
Submission received: 2 November 2024 / Revised: 10 December 2024 / Accepted: 11 December 2024 / Published: 12 December 2024

Abstract

In the current paper, the dynamic mechanical properties of sustainable lightweight aggregate concrete (SLAC) were numerically studied with a newly developed mesoscopic model. In the model, a fissure-based filling method was utilized for placing spherical aggregates, in which the aggregate geometric data were collected from specimen cross-profiles. The interfacial transition zone (ITZ) was also created in the meso-scale finite element model. The model was then utilized to simulate the Split Hopkinson Pressure Bar (SHPB) test of SLAC. The results indicated that the waveforms, dynamic compression strength, and strain rate effects obtained from the simulation closely matched the experimental ones, which demonstrated the effectiveness of the established mesoscopic model. The parametric analysis showed that the aggregate content and ITZ thickness had an important effect on the dynamic mechanical behavior of SLAC. It is believed that the current study can provide a valuable reference for the numerical study of the failure mechanism of sustainable lightweight aggregate concrete.

1. Introduction

Concrete, as one of the most widely used construction materials, has traditionally relied on natural resources for its raw materials. However, these resources are finite. With advancements in construction technology and increasing environmental protection requirements, traditional natural aggregate concrete, despite its excellent performance, is increasingly revealing its limitations [1,2]. Therefore, developing new sustainable concrete is of great significance for achieving carbon reduction and sustainable development in the construction industry.
In recent years, the use of sludge to produce artificial lightweight aggregates (ALAs) has attracted considerable research interest. Replacing natural stones, which take millions of years to form, with ALAs in concrete offers a potential solution to address the high carbon footprint associated with concrete production. ALAs are typically spherical or elliptical in shape [3,4,5]. Compared with irregularly shaped gravel, the geometry of coarse aggregate particles significantly affects the compressive failure mechanisms of concrete [6]. Investigating the relationship between the internal structure of concrete at the mesoscale and its macroscopic properties is essential for elucidating the macro-mechanical behavior of concrete [7,8,9]. By employing mesoscale particle models, it becomes possible to establish more accurate and efficient models for analyzing the dynamic mechanical behavior of concrete.
Currently, various methods are employed to establish mesoscale models of concrete. Li et al. [10] conducted a simulation study on the fracture behavior of concrete using mesoscale spherical aggregates, analyzing inter-granular and trans-granular failure modes of Mode I cracks. Ren et al. [11] utilized a random circular aggregate model to generate the mesoscale structure of concrete and investigated the influence of boundary conditions on its compressive failure patterns and stress–strain curves. Saksala [12], using a rate-dependent embedded discontinuity finite element method, developed a simulation model that captured the dynamic crack types observed in Brazilian disk tests under low to moderate strain rates. Liu et al. [13] adopted a “take-and-place” method to generate spherical coarse aggregates in mesoscale simulations and constructed finite element (FE) models to study the dynamic size effect in concrete. Based on the discrete element method, Qin and Zhang et al. [14] established a mesoscale model incorporating the three-phase composition of aggregate, mortar, and the interface. Their findings revealed that as the strain rate increases, the number of force chain bifurcations in the specimens rises, requiring more energy for crack propagation to cause failure. Wu et al. [15] generated aggregates using a dropping method and explored the mechanical behavior of dynamic shear interfaces. They discovered that the loading rate significantly affects interface failure modes, debonding loads, interfacial shear stress and other dynamic interfacial shear behaviors. These studies demonstrate that mesoscale models effectively uncover the fracture behavior and mechanical mechanisms of concrete.
In this study, mesoscopic simulation of the dynamic failure process in sustainable lightweight aggregate concrete (SLAC) is conducted. A fissure-based filling method for generating aggregate geometric models is proposed to build a mesoscopic finite element model of concrete, which, combined with experimental failure modes and test data, reveals the dynamic failure mechanisms in concrete.

2. Establishment of FE Model

2.1. Meso-Characteristics of SLAC

The geometric characteristics of ALAs are ellipsoidal and there exists a distinct interfacial transition zone (ITZ) between the ALA and the mortar. The aggregates follow a non-standard Fuller gradation, with particle sizes ranging from 5 to 10 mm, classified as a continuously open-graded type. The test specimens are cylindrical ( 100 mm × 50 mm) and are cast with 42.5R cement [16], sand, water, and ALA, with the mix proportions detailed in Table 1. In this study, sand and cement were considered a single composite material, referred to as mortar for mechanical performance analysis. The uniaxial compressive strength of ALA is 17.6 MPa, determined by measuring the force required to compress the ALAs until an indentation depth of 20 mm is achieved.
Each aggregate in the profile’s images of the specimens was segmented using digital image processing (DIP) by the SAM segmentation model [17,18] (Figure 1), and the aggregate area fractions across three profiles were measured, as shown in Table 2. Aggregate number in profile is the number of aggregates counted in the specimen profile. The average area fraction within the profiles is 62%.
The characteristics of ITZ significantly influence the mechanical properties of lightweight aggregate concrete. While the internal pores within lightweight aggregates can substantially reduce the density of concrete, surface pores affect the water absorption/release process [19], impacting the thickness of the transition zone and its deformation compatibility. Therefore, incorporating an ITZ in the mesoscopic model is essential.

2.2. Meso-Geometric Model of SLAC

The mesoscopic model of the 100 mm × 50 mm concrete specimens was generated based on the aggregate size range and aggregate area fraction. The area fraction serves as the quality criterion for the randomly generated aggregate set. As the aggregates follow a continuously open gradation, with no particles smaller than 3 mm or larger than 10 mm, these sizes were excluded during geometric model generation. Figure 2 presents a flowchart of the mesoscopic modeling process for concrete using the fissure-based filling method, which can be summarized in three stages.
(1) The first stage involves collecting the geometric characteristics of concrete and determining model parameters. The area fractions obtained from image segmentation are presented in Table 2. Table 3 lists the diameter ranges for small, medium, and large spheres used to fill the container, along with the target count, iteration limit, and actual number of placements. The container dimensions are set to 100 mm × 50 mm.
(2) In the second stage, the polymer is placed by the fissure-based filling method. First, large spheres with random diameters and random coordinates are placed in the container, as shown in Figure 3a. If a large sphere extends beyond the container boundary or collides with an existing sphere, another large sphere with random diameter and coordinates is placed in the container. If the number of placements exceeds the specified iteration limit and the target count for large spheres is not met, another attempt is made to place a single large sphere in a valid position. However, if the iteration limit is exceeded and the target count for large spheres is achieved, the placement of large spheres is terminated, regardless of whether the generated quantity meets the target. A direction variable is generated for each large sphere, allowing a medium sphere with a random diameter to be placed adjacent to it in the specified direction, as shown in Figure 3b. If the medium sphere collides with the container boundary or another sphere, a new direction variable is randomly generated and the medium sphere is placed again until the iteration count and target number are reached. The small sphere placement process mirrors that of the medium sphere, except that the direction variable is generated around the medium sphere, as shown in Figure 3c. The diameter and XYZ coordinates of each successfully placed sphere are stored in the aggregate database.
(3) The third stage involves the discretization of aggregates and the generation of the ITZ. The container is divided into eight-node hexahedral elements, initially assigned an identifier of 1. The XYZ coordinates of the eight nodes in each container element are averaged to determine the geometric center coordinates, as shown in Equation (1). Aggregates are sequentially retrieved from the aggregate library and compared with each element to calculate whether the distance between the aggregate center and element center is less than the aggregate radius (Figure 4a and Equation (2)), following the background grid mapping method [20,21].
x e = i = 1 8 x e , i / 8 y e = i = 1 8 y e , i / 8 z e = i = 1 8 y e , i / 8
( x e x 0 ) 2 + ( y e y 0 ) 2 + ( z e z 0 ) 2 < r
where x e , y e , and z e are the center coordinates of the element geometry; x e , i , y e , i , and y e , i are the node coordinates of the element; and x 0 , y 0 , and z 0 are the center coordinates of the sphere.
If an element falls within the range of a sphere, the identifiers for large, medium, and small spheres are set to 2, 3, and 4, respectively (Figure 4b). Based on these identifiers, aggregates are again sequentially retrieved and compared with each element to check if the distance between the aggregate center and element center is less than the aggregate radius minus the ITZ thickness. The identifiers for large, medium, and small aggregate elements are then changed to 5, 6, and 7, while 2, 3, and 4 denote the ITZ for large, medium, and small spheres, respectively (Figure 4c). The elements of ITZ with mortar and aggregate in the FE model are shown in Figure 4d.
Collision detection is essential for model accuracy during placement. There are three possible relative positions between spheres: separate, touching, and overlapping (Figure 5a–c). The placement process ensures that spheres are either intersecting or separate. This study used the spatial coordinate distance method to assess collisions, as shown in Equation (3), to determine whether an aggregate was outside the boundary or encroaching on the space occupied by another aggregate. The aggregate placement and discretization programs were executed in Python 3.7 and Fortran 90, respectively.
( x 0 x 0 ) 2 + ( y 0 y 0 ) 2 + ( z 0 z 0 ) 2 > r + r ,   Separate   ( x 0 x 0 ) 2 + ( y 0 y 0 ) 2 + ( z 0 z 0 ) 2 = r + r ,   Touching ( x 0 x 0 ) 2 + ( y 0 y 0 ) 2 + ( z 0 z 0 ) 2 < r + r ,   Overlapping
where x 0 , y 0 , and z 0 are the centroid coordinates of the newly released sphere.

3. Establishment of Microscopic FE Model

3.1. Meso-Finite Element Model of SLAC

On the basis of the concrete geometric mesh element model, the FE model was established. Figure 6 shows the FE model of a cylindrical specimen with an aggregate area fraction of 53% and an aggregate volume fraction of 50%. Solid 164 elements are specified within the mesh.
The quasi-brittle nature of concrete primarily exhibits limited ductility during fracture failure, where the presence of fracture zones reduces material stiffness and weakens the material’s stress transmission capacity. Therefore, constitutive relations that reflect softening characteristics were selected to characterize each material component. Simulations were conducted in ANSYS/LS-DYNA [22] using *MAT_CONCRETE_DAMAGE_REL3 [22] to describe the failure behavior of the mortar and ITZ in concrete. Key parameters for mortar were referenced from reference [23,24,25], as shown in Table 4, with the ITZ strength reduced by 80% relative to the mortar. These parameters define three control surfaces for the constitutive model. Specifically, a 0 , a 1 , and a 2 determine the failure surface, influencing the stress and strain at peak strength. a 0 y , a 1 y , and a 2 y define the yield surface, which governs the material’s softening behavior. a 1 f and a 2 f define the residual surface, affecting the ultimate strength of the concrete beyond its peak.
To accurately represent the dynamic response of lightweight aggregate with rock-like characteristics under large strain, high strain rates, and high pressure, *MAT_JOHNSON_HOLMQUIST_CONCRETE was used to define ALA. Table 5 shows the key parameters of the aggregate [26] and the density ρ 0 was actually measured. MAT_JOHNSON_HOLMQUIST_CONCRETE [22] consists of four groups of parameters: strength parameters, rate effect parameters, damage parameters, and equation of state parameters. A, B, N, and s m a x are the strength parameters of the material model: A represents the cohesive strength parameter; B is the pressure hardening coefficient; N is the pressure hardening exponent; and s m a x is the maximum value of the equivalent stress that can be achieved. D 1 , D 2 , and FS are dimensionless constants related to the damage variables, while C is the strain rate effect coefficient. G represents the shear modulus, f c is the quasi-static uniaxial compressive strength of the material in cylindrical form, T denotes the maximum tensile stress of the material, and ε f m i n is the minimum plastic strain required to cause material failure. For the equation of state parameters, K 1 , K 2 , and K 3 are bulk moduli; p c and p l represent the elastic limit pressure and compacted hydrostatic pressure, respectively; and μ c and μ l denote the volumetric strains corresponding to p c and p l .
To more accurately describe the crack propagation process in the FE model, parameters for all three components were set using the keyword *MAT_ADD_EROSION in LS-DYNA with MXEPS = 0.05 as the criterion for element failure and removal once the strain limit is exceeded. MXEPS represents the maximum principal strain limit, and elements are deleted when the maximum principal strain exceeds 0.05. Consequently, as the intensity of the load wave acting on the specimen increases, combined with the random orientation of spherical aggregates causing localized changes in stress direction, numerous cracks propagate in various directions.

3.2. Simulation of Dynamic Compression Test

To investigate the macroscopic mechanical properties of sustainable lightweight aggregate concrete and crack propagation at the mesoscopic scale, a loading system was established in the FE model based on the parameters of the 100 mm Split Hopkinson Pressure Bar (SHPB) device and experimental results from the author’s previous research on dynamic compression tests, as shown in Figure 7a. During the simulation and the actual experimental process, the material of the bars was elastic, serving solely to transmit the applied load. To improve computational efficiency, the bar ends close to the specimen were subjected to fine meshing, whereas regions farther away employed coarse meshing, as depicted in Figure 7b. The mesh size at the bar end near the specimen was doubled relative to the specimen’s mesh size, while the mesh size at the bar end farther from the specimen was further enlarged by a factor of three. Both the incident and transmission bars utilized Solid164 elements.
The material keyword *MAT_ELASTIC was applied for incident and reflect bars, setting the elastic modulus, density, and Poisson’s ratio to 210 GPa, 7710 kg/m³, and 0.3, respectively. The specimen’s left and right sides were set in contact with the incident bar and transmission bar using the keyword *CONTACT_AUTOMATIC_SURFACE_TO_SURFACE, with a penalty function coefficient of 0.1. The transmission bar was fixed at the end farthest from the specimen with the keyword *BOUNDARY_SPC_SET, while the keyword *BOUNDARY_NON_REFLECTING was used to establish a non-reflective boundary at the transmission wave end, distant from the specimen.
A waveform shaper was used in the actual experiment; therefore, the FE model was loaded with an approximate half-sine wave. A half-sine incident wave with a peak value of 63 MPa and a duration of 900 µs was applied to the end of the incident bar, as shown in Figure 8. The stress contour before and after the stress wave passes through the specimen is illustrated in Figure 9, where it can be observed that the wavefront remains planar as it traverses the specimen. The mesh configuration and contact settings of the specimen had no effect on the propagation of the stress wave. Hence, the contact settings and mesh configuration in this study are considered reasonable and reliable.
A well-balanced mesh configuration with adequate element quality can not only reduce computation time but also decrease simulation error, thereby enhancing calculation accuracy [27,28,29]. Therefore, an effective mesh arrangement and appropriate mesh density are essential for improving the credibility of mesoscopic simulations using the finite element method. With material and load parameters held constant, FE models with mesh sizes of 0.5 mm, 0.6 mm, 0.8 mm, 0.9 mm, and 1.0 mm were created to analyze the sensitivity of the results to mesh density. The stress–strain curves and failure modes of models with different mesh sizes are shown in Figure 10. The predicted peak stresses for mesh densities of 0.5 mm, 0.6 mm, 0.8 mm, 0.9 mm, and 1.0 mm were 31.8 MPa, 31.2 MPa, 30.3 MPa, 29.3 MPa, and 26.4 MPa, respectively. The peak stress difference between 0.8 mm and 0.5 mm was 4.7%, and the peak stress difference between 0.8 mm and 1.0 mm was 12.9%. It can be observed that when the mesh size does not exceed 0.8 mm, its influence on curve shape, peak stress, peak strain, and strain rate is minimal. Additionally, the failure modes of SLAC remain consistent when the mesh size is greater than 0.8 mm. To balance accuracy and efficiency and adequately consider the influence of ITZ on the mechanical properties of concrete, the specimen mesh size was set to 0.8 mm × 0.8 mm × 0.8 mm, totaling 1.89 million elements.

3.3. Comparison with Experimental Results

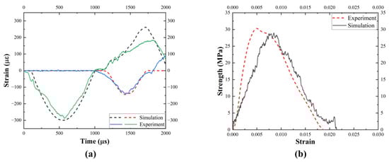
The waveforms obtained from the incident and transmission bars in both the simulation predictions and real experiments are displayed in Figure 11a. Figure 11b shows the stress–strain curves derived from the two-wave method [30] for both the predicted and experimental results. Since this study places greater emphasis on the modeling and peak stress prediction of concrete materials under impact loading, it does not require the use of reflected waveform data to calculate the stress–strain relationship. Therefore, the discrepancy between the simulation and the experiment around the peak at approximately 1.7 ms can be neglected. Under the condition of a strain rate of ~46 s−1, the dynamic strengths from the experiment and simulation are 28.7 MPa and 30.3 MPa, respectively. It can be seen that the discrepancy between them is around 5%, which evidently demonstrates the efficiency of our model. From the perspective of strain in Figure 11b, there are certain differences between the simulation and the experiment, primarily because the current definition of the material failure criterion in the simulation cannot accurately reflect the actual mechanical behavior of the material.
During the experiment, a high-speed camera (PHOTRON FASTCAM SA3, Japan) recorded the dynamic failure process of the specimen’s side view at a frame rate of 15,000 frames/s. The primary micromechanical factors influencing the macroscopic deformation and failure are the initiation and propagation of microcracks within the mortar matrix. Accordingly, under a strain rate of 46 s⁻¹, the effect of spherical aggregates on concrete crack propagation was examined. Figure 12 displays the predicted and experimental dynamic compressive failure modes of SLAC. It is observed that microcracks first appear near the center of the specimen and gradually extend towards the ends along the loading direction. Additionally, the specimen exhibits not only a primary crack along the loading direction but also numerous penetrating cracks in various orientations. In this process, the mortar matrix fractures along the crack paths, generating several fragmented pieces. In the FE model, elements exceeding the ultimate strain are removed. Microcracks are initially dispersed and sporadically distributed. As the damage progresses, the cracks begin to interconnect, forming continuous fracture paths. Observations reveal that cracks typically propagate along weak zones in ITZ. Unlike irregular crushed stone, spherical aggregates reduce stress concentration at crack tips. By alleviating the stress concentration around the spherical aggregates, the stress concentration points along the loading direction (at crack intersections) shift from the aggregate surface to the mortar, forming a subuliform failure, as shown in Figure 13. Figure 13 illustrates the failure images at three different locations on the longitudinal section of the same specimen. This failure phenomenon and mechanism align with the meso-scale failure modes observed in previous experiments by the authors and resemble the wedge failure of spherical aggregates in mortar described by Qiu et al. [31].

4. Parametric Model Discussion

4.1. Influence of Aggregate Content

Due to their greater stiffness and strength relative to mortar, aggregates contribute significantly to the load-bearing capacity of concrete materials. Consequently, aggregate content is a critical factor affecting the material’s mechanical behavior. The predicted stress–strain curves obtained by finite element models with aggregate contents of 30%, 34%, 38%, 42%, 46%, and 50% are shown in Figure 14. Table 6 shows the peak stress and strain under different content conditions. Under the same material parameters and number of ITZ layers, the peak stress increases with the aggregate content, while the peak strain remains largely unchanged.
These findings indicate that, on one hand, the cooperative deformation of mortar and aggregate in SLAC prior to failure minimizes the influence of aggregate content on dynamic elastic modulus; on the other hand, the tendency of mortar to fail at lower strengths amplifies the effect of aggregate content on peak strength. Consequently, the predicted failure modes reveal that although the crack propagation direction is broadly similar across specimens with different aggregate contents, mortar matrix failure becomes more pronounced and microcracks in the mortar matrix are more extensive as aggregate content decreases. Additionally, more pulverized mortar is observed along the specimen edges. Figure 15 illustrates the failure modes and planar aggregate distributions in the cross-sections of specimens with varying aggregate contents, 420 μs after the onset of failure.

4.2. Influence of ITZ Thickness

As a weak zone within concrete, the transition zone significantly influences the mechanical behavior of SLAC. In the FE model, the transition zone thickness is represented by the number of transition zone layers, and models with one, two, and three layers were constructed to yield predicted stress–strain curves, as shown in Figure 16. Table 7 shows the peak stress and peak strain for three different ITZ layers. Under identical material parameters and an aggregate content of 50%, the results show that as the number of ITZ layers increases, peak stress decreases and peak strain increases.
These findings indicate that the relatively weak transition zone intensifies stress concentration around aggregates, with the increased volume fraction of weak zones exerting a pronounced effect on strength and stiffness, underscoring the transition zone’s dominant role in influencing SLAC’s mechanical behavior. Consequently, predicted failure modes reveal that with an increase in the number of transition zone layers, failure along the transition zone becomes more pronounced under dynamic loading, reducing conical failure of the aggregates and leading to more extensive microcracking. Additionally, more pulverized mortar is observed in the central region of the specimen. Figure 17 presents the failure modes of specimens with varying aggregate contents approximately 420 μs after initial failure, showing both cross-sectional failure modes and planar aggregate distributions.

5. Conclusions

This study employed the fission-filling method to conduct meso-level finite element modeling of sustainable concrete materials composed of artificial lightweight aggregate. This study investigated the dynamic mechanical response of SLAC under SHPB testing, determining an appropriate mesh size and analyzing the effects of aggregate content and ITZ thickness on SLAC’s dynamic behavior. The key findings of this study are summarized as follows:
In comparison with experimental results, the meso-scale finite element model established using the fission-filling method to distribute aggregates yielded similar waveform patterns and reasonable failure modes.
With an increase in aggregate content, the peak stress rises, microcrack propagation decreases, and the specimen becomes more resistant to failure.
As the number of ITZ layers increases, the weak regions within the specimen expand and the degree of damage around the aggregates intensifies, leading to a significant reduction in peak stress.

Author Contributions

L.C.: methodology, writing—original draft preparation, and data curation. F.Y.: writing—review and editing and funding acquisition. X.L.: writing—review and editing, project administration, and supervision. All authors have read and agreed to the published version of the manuscript.

Funding

This research was funded by [National Natural Science Foundation of China] grant number [12172164], [National Natural Science Foundation of China] grant number [12072079] and [National Natural Science Foundation of China] grant number [12422215].

Data Availability Statement

The data presented in this study are available in the article.

Acknowledgments

The authors gratefully acknowledge the financial support provided by the National Natural Science Foundation of China (grant numbers 12172164, 12072079, and 12422215).

Conflicts of Interest

The authors declare that they have no known competing financial interests or personal relationships that could have appeared to influence the work reported in this paper.

References

  1. Shi, C.; Li, Y.; Zhang, J.; Li, W.; Chong, L.; Xie, Z. Performance enhancement of recycled concrete aggregate—A review. J. Clean. Prod. 2016, 112, 466–472. [Google Scholar] [CrossRef]
  2. de Andrade Salgado, F.; de Andrade Silva, F. Recycled aggregates from construction and demolition waste towards an application on structural concrete: A review. J. Build. Eng. 2022, 50, 104452. [Google Scholar] [CrossRef]
  3. Ichino, H. Effects of the shape, size, and surface roughness of glass coarse aggregate on the mechanical properties of two-stage concrete. Constr. Build. Mater. 2024, 411, 134296. [Google Scholar] [CrossRef]
  4. Jiang, J.; Chen, S.; Jin, C.; Wang, G.; Liu, T.; Xu, T.; Lei, L.; Dang, W.; Yang, X.; Ding, T.; et al. Preparation and properties of high-strength lightweight aggregate ceramsite from nepheline tailings. Constr. Build. Mater. 2023, 368, 130458. [Google Scholar] [CrossRef]
  5. Ren, P.; Ling, T.-C.; Mo, K.H. Recent advances in artificial aggregate production. J. Clean. Prod. 2021, 291, 125215. [Google Scholar] [CrossRef]
  6. Cheng, Y.; Liu, S.; Zhu, B.; Liu, R.; Wang, Y. Preparation of preplaced aggregate concrete and experimental study on its strength. Constr. Build. Mater. 2019, 229, 116847. [Google Scholar] [CrossRef]
  7. Wu, Z.; Zhang, J.; Fang, Q.; Yu, H.; Ma, H. Mesoscopic modelling of concrete material under static and dynamic loadings: A review. Constr. Build. Mater. 2021, 278, 122419. [Google Scholar] [CrossRef]
  8. Jin, L.; Yu, W.; Du, X.; Yang, W. Mesoscopic numerical simulation of dynamic size effect on the splitting-tensile strength of concrete. Eng. Fract. Mech. 2019, 209, 317–332. [Google Scholar] [CrossRef]
  9. Mazzucco, G.; Xotta, G.; Pomaroa, B.; Salomoni, V.A.; Faleschinia, F. Elastoplastic-damaged meso-scale modelling of concrete with recycled aggregates. Compos. Part B 2018, 140, 145–156. [Google Scholar] [CrossRef]
  10. Li, D.; S. Hejazi, S.M.A.; Jin, L.; Du, X. An extended universal morphological model for concrete mode-I fracture: Formulations and preliminary verifications. Struct. Concr. 2024, 25, 1388–1403. [Google Scholar] [CrossRef]
  11. Ren, Y.; Chen, J.; Lu, G. Mesoscopic simulation of uniaxial compression fracture of concrete via the nonlocal macro–meso-scale consistent damage model. Eng. Fract. Mech. 2024, 304, 110148. [Google Scholar] [CrossRef]
  12. Saksala, T. Numerical modelling of concrete fracture processes under dynamic loading: Meso-mechanical approach based on embedded discontinuity finite elements. Eng. Fract. Mech. 2018, 201, 282–297. [Google Scholar] [CrossRef]
  13. Jin, L.; Yu, W.; Du, X.; Zhang, S.; Li, D. Meso-scale modelling of the size effect on dynamic compressive failure of concrete under different strain rates. Int. J. Impact Eng. 2019, 125, 1–12. [Google Scholar] [CrossRef]
  14. Qin, C.; Zhang, C. Numerical study of dynamic behavior of concrete by meso-scale particle element modeling. Int. J. Impact Eng. 2011, 38, 1011–1021. [Google Scholar] [CrossRef]
  15. Wu, H.; Lu, S.; Chen, D. Dynamic shear behavior of CFRP-concrete interface: Test and 3D mesoscale numerical simulation. Int. J. Impact Eng. 2024, 193, 105045. [Google Scholar] [CrossRef]
  16. GB 175-2007; Common Portland Cement. National Standardization Administration: Beijing, China, 2007.
  17. Osco, L.P.; Wu, Q.; De Lemos, E.L.; Gonçalves, W.N.; Ramos, A.P.M.; Li, J.; Marcato, J. The Segment Anything Model (SAM) for remote sensing applications: From zero to one shot. Int. J. Appl. Earth Obs. Geoinf. 2023, 124, 103540. [Google Scholar] [CrossRef]
  18. Ma, J.; He, Y.; Li, F.; Han, L.; You, C.; Wang, B. Segment anything in medical images. Nat Commun 2024, 15, 654. [Google Scholar] [CrossRef]
  19. Dong, B.; Liu, J.; Hong, S.; Zhang, Y.; Wang, Y.; Xing, F. Core-Shell structured ceramsite made by excavated soil and expanded perlite through cold-bonded technology. Constr. Build. Mater. 2021, 306, 124941. [Google Scholar] [CrossRef]
  20. Ouyang, H.; Chen, X. 3D meso-scale modeling of concrete with a local background grid method. Constr. Build. Mater. 2020, 257, 119382. [Google Scholar] [CrossRef]
  21. Feng, X.; Gong, B.; Tang, C.; Zhao, T. Study on the non-linear deformation and failure characteristics of EPS concrete based on CT-scanned structure modelling and cloud computing. Eng. Fract. Mech. 2022, 261, 108214. [Google Scholar] [CrossRef]
  22. Livermore Software Technology Corporation. Ls-Dyna Keyword User’s Manual; Livermore Software Technology Corporation: Livermore, CA, USA, 2017. [Google Scholar]
  23. Yang, F.; Ke, Z.; Feng, W.; Li, X.; Chen, S.; Li, H. Effects of crumb rubber particles on the dynamic response of reinforced concrete beams subjected to blast loads. Eng. Struct. 2024, 300, 117181. [Google Scholar] [CrossRef]
  24. Feng, W.; Chen, B.; Yang, F.; Liu, F.; Li, L.; Jing, L.; Li, H. Numerical study on blast responses of rubberized concrete slabs using the Karagozian and Case concrete model. J. Build. Eng. 2021, 33, 101610. [Google Scholar] [CrossRef]
  25. Feng, W.; Chen, B.; Tang, Y.; Wei, W.; He, W.; Yang, Y. Structural effects and real strain-rate effects on compressive strength of sustainable concrete with crumb rubber in split Hopkinson pressure bar tests. Arch. Civ. Mech. Eng. 2022, 22, 136. [Google Scholar] [CrossRef]
  26. Huang, Z.; Deng, W.; Du, S.; Gu, Z.; Long, W.; Ye, J. Effect of rubber particles and fibers on the dynamic compressive behavior of novel ultra-lightweight cement composites: Numerical simulations and metamodeling. Compos. Struct. 2021, 258, 113210. [Google Scholar] [CrossRef]
  27. Si, D.; Pan, Z.; Zhang, H. Determination method of mesh size for numerical simulation of blast load in near-ground detonation. Def. Technol. 2024, 38, 111–125. [Google Scholar] [CrossRef]
  28. Turon, A.; Dávila, C.G.; Camanho, P.P.; Costa, J. An engineering solution for mesh size effects in the simulation of delamination using cohesive zone models. Eng. Fract. Mech. 2007, 74, 1665–1682. [Google Scholar] [CrossRef]
  29. Guo, L.; Xiang, J.; Latham, J.-P.; Izzuddin, B. A numerical investigation of mesh sensitivity for a new three-dimensional fracture model within the combined finite-discrete element method. Eng. Fract. Mech. 2016, 151, 70–91. [Google Scholar] [CrossRef]
  30. Wang, L. Foundations of Stress Waves; Elsevier: Oxford, UK, 2007. [Google Scholar]
  31. Qiu, W.; Ueda, T.; Fu, S.; Han, Y.; Wang, J.; Ye, J. Meso-scale computational modeling of the fracture of concrete with complex shaped aggregates under the self-restraint stress. Compos. Struct. 2023, 303, 116267. [Google Scholar] [CrossRef]
Figure 1. Typical aggregate profile image segmentation and geometric feature recognition for (ac) different specimens #1~#3.
Figure 1. Typical aggregate profile image segmentation and geometric feature recognition for (ac) different specimens #1~#3.
Infrastructures 09 00230 g001
Figure 2. Micro-modeling process of concrete with fissure-based filling method.
Figure 2. Micro-modeling process of concrete with fissure-based filling method.
Infrastructures 09 00230 g002
Figure 3. Cracking filling process diagram for fissure-based filling method: (a) Droping large spheres (b) Generating random direction vectors and droping medium spheres (c) Generating small spheres.
Figure 3. Cracking filling process diagram for fissure-based filling method: (a) Droping large spheres (b) Generating random direction vectors and droping medium spheres (c) Generating small spheres.
Infrastructures 09 00230 g003
Figure 4. The process of aggregate unit and ITZ generation: (a) comparison of the position of aggregate and element; (b) matching of cell identifiers; (c) ITZ generation of a certain thickness; and (d) ITZ, ALA, and mortar in FE model.
Figure 4. The process of aggregate unit and ITZ generation: (a) comparison of the position of aggregate and element; (b) matching of cell identifiers; (c) ITZ generation of a certain thickness; and (d) ITZ, ALA, and mortar in FE model.
Infrastructures 09 00230 g004
Figure 5. Three relative positions between spheres and their identification: (a) separate, (b) touching and (c) overlap.
Figure 5. Three relative positions between spheres and their identification: (a) separate, (b) touching and (c) overlap.
Infrastructures 09 00230 g005
Figure 6. Meso-FE model: (a) mortar, aggregate, and ITZ assemblage; (b) specimen profile.
Figure 6. Meso-FE model: (a) mortar, aggregate, and ITZ assemblage; (b) specimen profile.
Infrastructures 09 00230 g006
Figure 7. FE model of SHPB test system: (a) overall system diagram; (b) subdivision and coarse division grid schematic.
Figure 7. FE model of SHPB test system: (a) overall system diagram; (b) subdivision and coarse division grid schematic.
Infrastructures 09 00230 g007
Figure 8. Half-sinusoidal load curve.
Figure 8. Half-sinusoidal load curve.
Infrastructures 09 00230 g008
Figure 9. Stress wave propagation process.
Figure 9. Stress wave propagation process.
Infrastructures 09 00230 g009
Figure 10. The predicted results of specimens with different mesh sizes: (a) predicted stress–strain curves; (bf) failure modes with mesh sizes of 0.5 mm, 0.6 mm, 0.8 mm, 0.9 mm, and 1.0 mm.
Figure 10. The predicted results of specimens with different mesh sizes: (a) predicted stress–strain curves; (bf) failure modes with mesh sizes of 0.5 mm, 0.6 mm, 0.8 mm, 0.9 mm, and 1.0 mm.
Infrastructures 09 00230 g010
Figure 11. Comparison of simulation prediction and experiment: (a) waveform diagram; (b) dynamic stress-strain curves.
Figure 11. Comparison of simulation prediction and experiment: (a) waveform diagram; (b) dynamic stress-strain curves.
Infrastructures 09 00230 g011
Figure 12. Comparison of failure modes between experiment and simulation: (a) experimental side failure; (b) predicted side damage; (c) predicted integral damage.
Figure 12. Comparison of failure modes between experiment and simulation: (a) experimental side failure; (b) predicted side damage; (c) predicted integral damage.
Infrastructures 09 00230 g012
Figure 13. Subuliform failure in the longitudinal profile: (a) profile location; (b) upper layer; (c) middle layer; (d) lower layer.
Figure 13. Subuliform failure in the longitudinal profile: (a) profile location; (b) upper layer; (c) middle layer; (d) lower layer.
Infrastructures 09 00230 g013
Figure 14. Dynamic stress–strain curves of SLAC with different aggregate contents.
Figure 14. Dynamic stress–strain curves of SLAC with different aggregate contents.
Infrastructures 09 00230 g014
Figure 15. Failure modes, longitudinal profile failures, and aggregate distributions of specimens with aggregate contents of (a) 50%, (b) 46%, (c) 42%, (d) 38%, (e) 34%, and (f) 30%.
Figure 15. Failure modes, longitudinal profile failures, and aggregate distributions of specimens with aggregate contents of (a) 50%, (b) 46%, (c) 42%, (d) 38%, (e) 34%, and (f) 30%.
Infrastructures 09 00230 g015
Figure 16. Stress–strain curves of different ITZ layers.
Figure 16. Stress–strain curves of different ITZ layers.
Infrastructures 09 00230 g016
Figure 17. Failure modes, longitudinal profile failures, and aggregate distribution of ITZ layers (a) one, (b) two, and (c) three.
Figure 17. Failure modes, longitudinal profile failures, and aggregate distribution of ITZ layers (a) one, (b) two, and (c) three.
Infrastructures 09 00230 g017
Table 1. Mass mix ratio of lightweight aggregate concrete (kg/m3).
Table 1. Mass mix ratio of lightweight aggregate concrete (kg/m3).
CompositionMass Mixing Ratio
CementWaterSandALA
SLAC398210609756
Table 2. Statistics of aggregate area fraction in profiles.
Table 2. Statistics of aggregate area fraction in profiles.
NumberAggregate Number in ProfileAggregate Area (mm2)Profile Area (mm2)Aggregate Area Fraction
11264783730665.5%
21174666744362.7%
31214316733058.9%
Table 3. Aggregate delivery program parameter setting and actual delivery situation.
Table 3. Aggregate delivery program parameter setting and actual delivery situation.
Diameter Range (mm)3~55~88~10
Number of attempt drops3,510,00027,000180
Number of iterations5014080
Actual number of drops2240842178
Table 4. Keyword parameters of mortar and ITZ [23,24,25].
Table 4. Keyword parameters of mortar and ITZ [23,24,25].
Param. ρ 0 /(g·cm−3) a 0 a 1 a 2 a 0 y a 1 y a 2 y a 1 f a 2 f
Mortar2.401.90 × 10−40.4952405.08 × 10−50.49219300.754116
ITZ2.201.62 × 10−40.4952434.93 × 10−50.49220840.765126
Table 5. Keyword parameters of lightweight aggregate [26].
Table 5. Keyword parameters of lightweight aggregate [26].
Param. ρ 0 /(g·cm−3)G/GPaAB f c /(MPa)CN
Value0.9275.830.542.2552.20.0071.36
Param. s m a x T /(MPa) D 1 D 2 ε f   m i n p c /MPa μ c
Value7.02.400.041.00.0117.40.0022
Param. p l /MPa μ l K 1 /Mbar K 2 /Mbar K 3 /MbarFS
Value9000.120.85−1.712.080.004
Table 6. Peak stress and peak strain with aggregate contents of 30%, 34%, 38%, 42%, 46%, and 50%.
Table 6. Peak stress and peak strain with aggregate contents of 30%, 34%, 38%, 42%, 46%, and 50%.
Content30%34%38%42%46%50%
Peak stress (MPa)26.827.528.228.829.530.3
Peak strain0.00500.00500.00480.00500.00530.0049
Table 7. Peak stress and peak strain of different ITZ layers.
Table 7. Peak stress and peak strain of different ITZ layers.
ITZ LayerL.1L.2L.3
Peak stress (MPa)30.327.825.3
Peak strain0.00490.00500.0055
Disclaimer/Publisher’s Note: The statements, opinions and data contained in all publications are solely those of the individual author(s) and contributor(s) and not of MDPI and/or the editor(s). MDPI and/or the editor(s) disclaim responsibility for any injury to people or property resulting from any ideas, methods, instructions or products referred to in the content.

Share and Cite

MDPI and ACS Style

Chen, L.; Yang, F.; Li, X. Simulation of Dynamic Mechanical Properties of Sustainable Lightweight Aggregate Concrete with Mesoscopic Model. Infrastructures 2024, 9, 230. https://doi.org/10.3390/infrastructures9120230

AMA Style

Chen L, Yang F, Li X. Simulation of Dynamic Mechanical Properties of Sustainable Lightweight Aggregate Concrete with Mesoscopic Model. Infrastructures. 2024; 9(12):230. https://doi.org/10.3390/infrastructures9120230

Chicago/Turabian Style

Chen, Lin, Fei Yang, and Xin Li. 2024. "Simulation of Dynamic Mechanical Properties of Sustainable Lightweight Aggregate Concrete with Mesoscopic Model" Infrastructures 9, no. 12: 230. https://doi.org/10.3390/infrastructures9120230

APA Style

Chen, L., Yang, F., & Li, X. (2024). Simulation of Dynamic Mechanical Properties of Sustainable Lightweight Aggregate Concrete with Mesoscopic Model. Infrastructures, 9(12), 230. https://doi.org/10.3390/infrastructures9120230

Article Metrics

Back to TopTop