The Reliability of Linear Speed with and without Ball Possession of Pubertal Soccer Players
Abstract
:1. Introduction
- (a)
- To examine the inter-session reliability (reliability between the first and the second testing occasions, i.e., test–retest) as well as the intra-session reliability (reliability between trials at the same testing occasion) of 30 m linear speed with and without ball possession;
- (b)
- To calculate (using two different equations: delta value and percentage value) and examine the intra-session reliability and inter-session reliability of a specific performance index that indicates the difference between the two speed tests (linear speed with and without ball possession) in pubertal soccer players.
2. Materials and Methods
2.1. Participants
2.2. Measures
2.3. Design and Procedures
2.4. Statistical Analysis
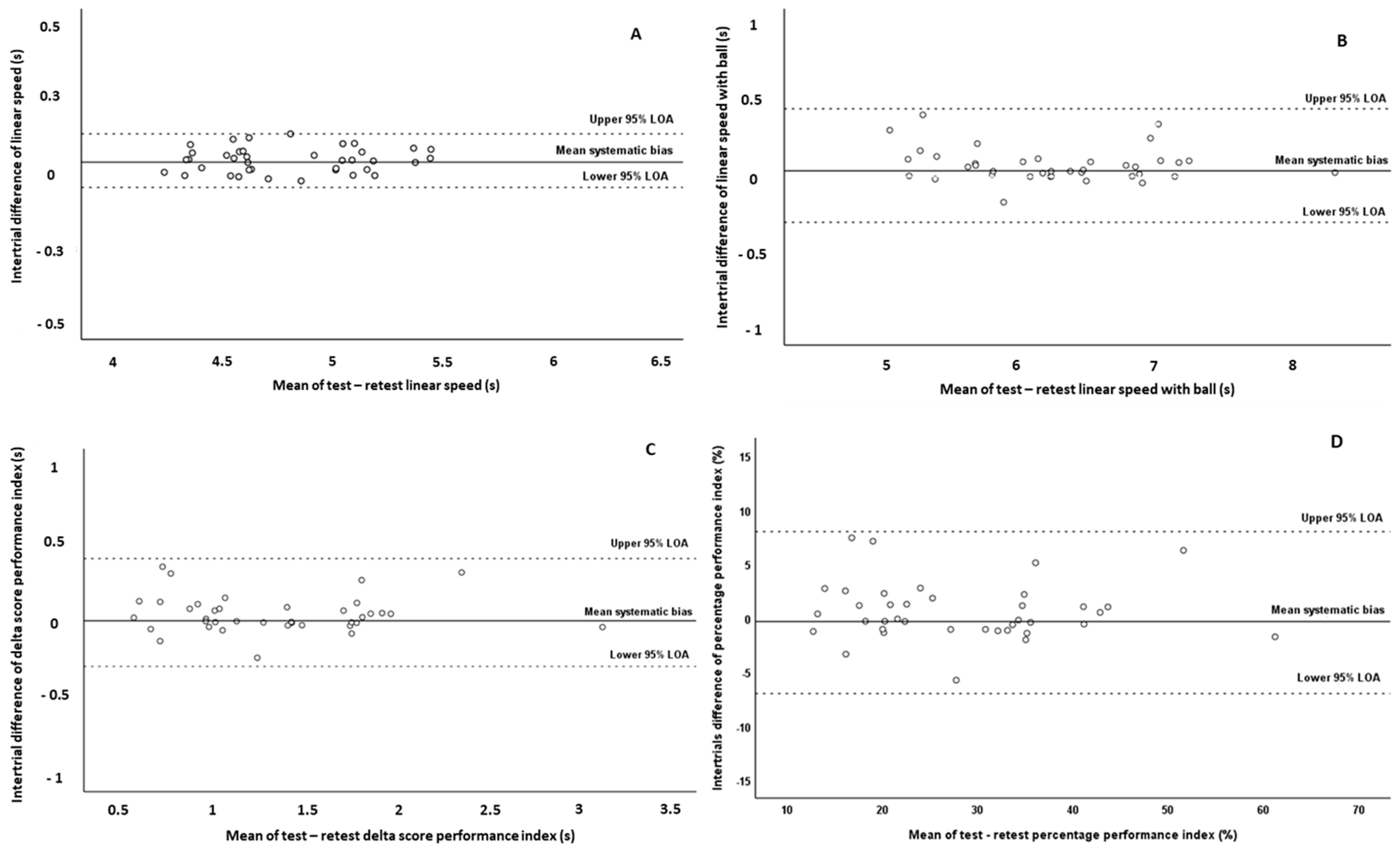
3. Results
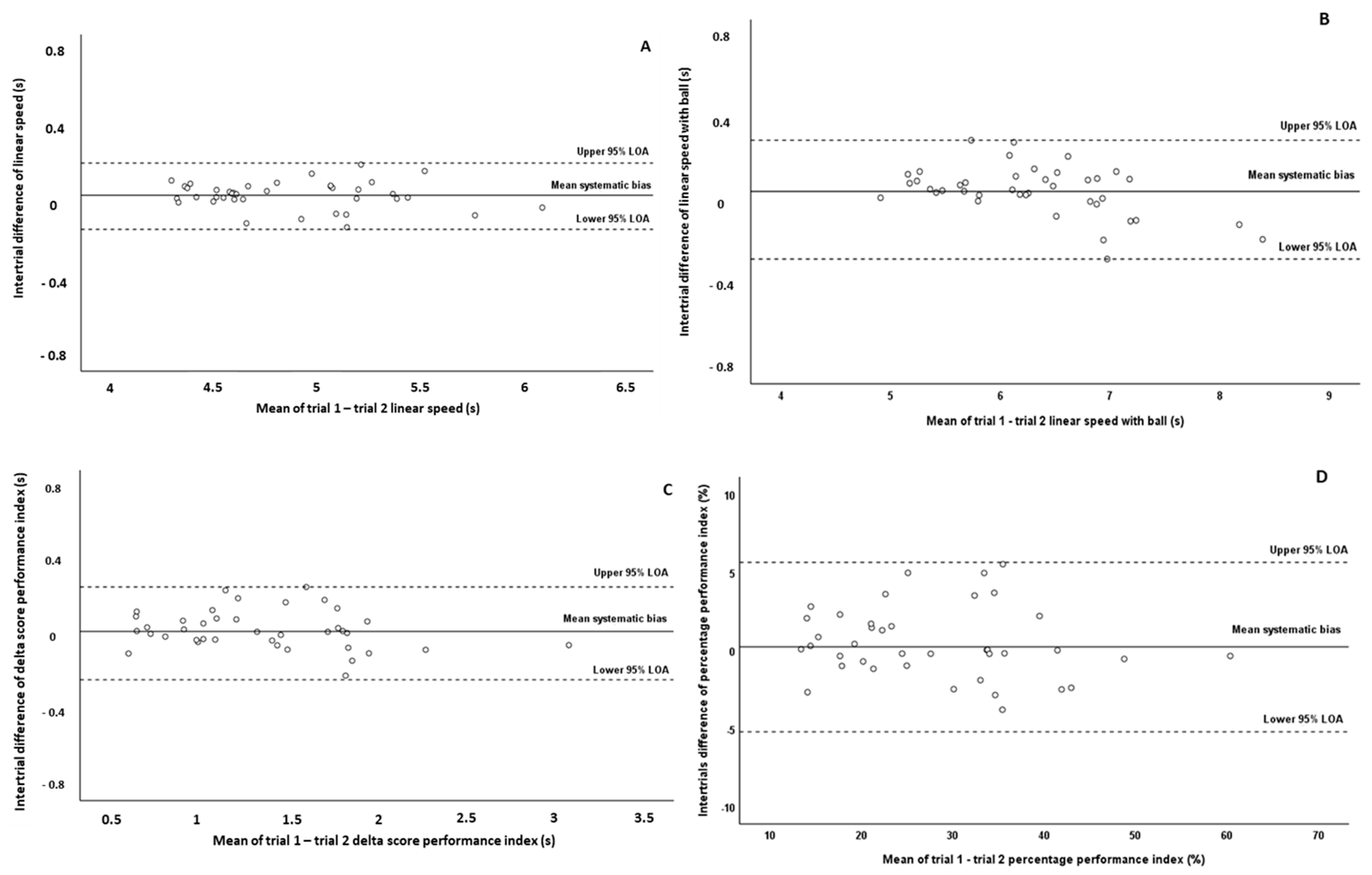
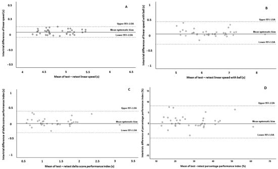
3.1. Inter-Session Reliability
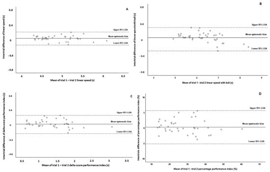
3.2. Intra-Session Reliability
4. Discussion
5. Conclusions
Author Contributions
Funding
Institutional Review Board Statement
Informed Consent Statement
Data Availability Statement
Acknowledgments
Conflicts of Interest
References
- Bangsbo, J.; Mohr, M.; Krustrup, P. Physical and metabolic demands of training and match-play in the elite football player. J. Sports Sci. 2006, 24, 665–674. [Google Scholar] [CrossRef] [PubMed]
- Ekblom, B. Applied physiology of soccer. Sports Med. 1986, 3, 50–60. [Google Scholar] [CrossRef] [PubMed]
- Hoff, J.; Helgerud, J. Endurance and strength training for soccer players: Physiological considerations. Sports Med. 2004, 34, 165–180. [Google Scholar] [CrossRef] [PubMed]
- Manouras, N.; Papanikolaou, Z.; Karatrantou, K.; Kouvarakis, P.; Gerodimos, V. The efficacy of vertical vs. horizontal plyometric training on speed, jumping performance and agility in soccer players. Int. J. Sports Sci. Coach. 2016, 11, 702–709. [Google Scholar] [CrossRef]
- Reilly, T.; Williams, A.M.; Franks, A. A multidisciplinary approach to talent identification in soccer. J. Sports Sci. 2000, 18, 695–702. [Google Scholar] [CrossRef]
- Stølen, T.; Chamari, K.; Castagna, C.; Wisløff, U. Physiology of soccer: An update. Sports Med. 2005, 35, 501–536. [Google Scholar] [CrossRef]
- Bekris, E.; Gissis, I.; Kounalakis, S. The dribbling agility test as a potential tool for evaluating the dribbling skill in young soccer players. Res. Sports Med. 2018, 26, 425–435. [Google Scholar] [CrossRef]
- Sawczuk, T.; Jones, B.L.; Scantlebury, S.; Weakley, J.; Read, D.; Costello, N.B.; Darrall-Jones, J.D.; Stokes, K.; Till, K. Between-Day Reliability and Usefulness of a Fitness Testing Battery in Youth Sport Athletes: Reference Data for Practitioners. Meas. Phys. Educ. Exerc. Sci. 2018, 22, 11–18. [Google Scholar] [CrossRef]
- Hachana, Y.; Chaabene, H.; Ben Rajeb, G.; Khlifa, R.; Aouadi, R.; Chamari, K.; Gabbett, T.J. Validity and reliability of new agility test among elite and subelite under 14-soccer players. PLoS ONE 2014, 9, e95773. [Google Scholar] [CrossRef]
- Huijgen, B.C.; Elferink-Gemser, M.T.; Post, W.; Visscher, C. Soccer skill development in professionals. Int. J. Sports Med. 2009, 30, 585–591. [Google Scholar] [CrossRef]
- Di Salvo, V.; Baron, R.; Tschan, H.; Calderon Montero, F.J.; Bachl, N.; Pigozzi, F. Performance characteristics according to playing position in elite soccer. Int. J. Sports Med. 2007, 28, 222–227. [Google Scholar] [CrossRef]
- Altmann, S.; Ringhof, S.; Neumann, R.; Woll, A.; Rumpf, M.C. Validity and reliability of speed tests used in soccer: A systematic review. PLoS ONE 2019, 14, e0220982. [Google Scholar] [CrossRef]
- Paul, D.J.; Nassis, G.P. Physical Fitness Testing in Youth Soccer: Issues and Considerations Regarding Reliability, Validity and Sensitivity. Pediatr. Exerc. Sci. 2015, 27, 301–313. [Google Scholar] [CrossRef] [PubMed]
- Buchheit, M.; Mendez-Villanueva, A. Reliability and stability of anthropometric and performance measures in highly-trained young soccer players: Effect of age and maturation. J. Sports Sci. 2013, 31, 1332–1343. [Google Scholar] [CrossRef] [PubMed]
- Christou, M.; Smilios, I.; Sotiropoulos, K.; Volaklis, K.; Pilianidis, T.; Tokmakidis, S.P. Effects of resistance training on the physical capacities of adolescent soccer players. J. Strength Cond. Res. 2006, 20, 783–791. [Google Scholar] [CrossRef]
- Comfort, P.; Stewart, A.; Bloom, L.; Clarkson, B. Relationships between strength, sprint and jump performance in well-trained youth soccer players. J. Strength Cond. Res. 2014, 28, 173–177. [Google Scholar] [CrossRef]
- Dugdale, J.H.; Arthur, C.A.; Sanders, D.; Hunter, A.M. Reliability and validity of field-based fitness tests in youth soccer players. Eur. J. Sport Sci. 2019, 19, 745–756. [Google Scholar] [CrossRef]
- Kovacevic, Z.; Zuvela, F.; Kuvacic, G. Metric Characteristics of Tests Assessing Speed and Agility in Youth Soccer Players. Sport Mont. 2018, 16, 9–14. [Google Scholar] [CrossRef]
- Krolo, A.; Gilic, B.; Foretic, N.; Pojskic, H.; Hammami, R.; Spasic, M.; Uljevic, O.; Versic, S.; Sekulic, D. Agility Testing in Youth Football (Soccer) Players; Evaluating Reliability, Validity, and Correlates of Newly Developed Testing Protocols. Int. J. Environ. Res. Public Health 2020, 17, 294. [Google Scholar] [CrossRef]
- Makhlouf, I.; Tayech, A.; Mejri, M.A.; Haddad, M.; Behm, D.G.; Granacher, U.; Chaouachi, A. Reliability and validity of a modified Illinois change-of-direction test with ball dribbling speed in young soccer players. Biol. Sport 2022, 39, 295–306. [Google Scholar] [CrossRef]
- Pardos-Mainer, E.; Casajús, J.A.; Gonzalo-Skok, O. Reliability and sensitivity of jumping, linear sprinting and change of direction ability tests in adolescent female football players. Sci. Med. Football 2019, 3, 183–190. [Google Scholar] [CrossRef]
- Wilson, R.S.; Smith, N.M.A.; Ramos, S.P.; Giuliano- Caetano, F.; Aparecido Rinaldo, M.; Santiago, P.R.P.; Cunha, S.A.; Moura, F.A. Dribbling speed along curved paths predicts attacking performance in match-realistic one vs. one soccer games. J. Sports Sci. 2019, 37, 1072–1079. [Google Scholar] [CrossRef] [PubMed]
- Bullock, W.; Panchuk, D.; Broatch, J.; Christian, R.; Stepto, N.K. An integrative test of agility, speed and skill in soccer: Effects of exercise. J. Sci. Med. Sport 2012, 15, 431–436. [Google Scholar] [CrossRef] [PubMed]
- Haugen, T.A.; Tønnessen, E.; Seiler, S. Speed and countermovement-jump characteristics of elite female soccer players, 1995–2010. Int. J. Sports Physiol. Perform. 2012, 7, 340–349. [Google Scholar] [CrossRef]
- Meylan, C.; Trewin, J.; McKean, K. Quantifying Explosive Actions in International Women’s Soccer. Int. J. Sports Physiol. Perform. 2017, 12, 310–315. [Google Scholar] [CrossRef]
- Small, K.; McNaughton, L.R.; Greig, M.; Lohkamp, M.; Lovell, R. Soccer fatigue, sprinting and hamstring injury risk. Int. J. Sports Med. 2009, 30, 573–578. [Google Scholar] [CrossRef]
- Sonderegger, K.; Tschopp, M.; Taube, W. The Challenge of Evaluating the Intensity of Short Actions in Soccer: A New Methodological Approach Using Percentage Acceleration. PLoS ONE 2016, 11, e0166534. [Google Scholar] [CrossRef]
- Williams, J.D.; Abt, G.; Kilding, A.E. Ball-Sport Endurance and Sprint Test (BEAST90): Validity and reliability of a 90-minute soccer performance test. J. Strength Cond. Res. 2010, 24, 3209–3218. [Google Scholar] [CrossRef]
- Yanci, J.; Calleja-Gonzalez, J.; Camara, J.; Mejuto, G.; San Roman, J.; Los Arcos, A. Validity and reliability of a global positioning system to assess 20 m sprint performance in soccer players. Proc. Inst. Mech. Eng. 2017, 231, 68–71. [Google Scholar] [CrossRef]
- Pojskic, H.; Aslin, E.; Krolo, A.; Jukic, I.; Uljevic, O.; Spasic, M.; Sekulic, D. Importance of Reactive Agility and Change of Direction Speed in Differentiating Performance Levels in Junior Soccer Players: Reliability and Validity of Newly Developed Soccer-Specific Tests. Front. Physiol. 2018, 9, 506. [Google Scholar] [CrossRef]
- Duncan, M.; Richardson, D.; Morris, R.; Eyre, E.; Clarke, N. Test-retest reliability of soccer dribbling tests in children. J. Motor Learn. Develop. 2021, 9, 526–532. [Google Scholar] [CrossRef]
- Padrón-Cabo, A.; Rey, E.; Kalén, A.; Costa, P.B. Effects of Training with an Agility Ladder on Sprint, Agility, and Dribbling Performance in Youth Soccer Players. J. Hum. Kinet. 2020, 73, 219–228. [Google Scholar] [CrossRef]
- Haugen, T.; Tønnessen, E.; Hisdal, J.; Seiler, S. The role and development of sprinting speed in soccer. Int. J. Sports Physiol. Perform. 2014, 9, 432–441. [Google Scholar] [CrossRef]
- Faude, O.; Koch, T.; Meyer, T. Straight sprinting is the most frequent action in goal situations in professional football. J. Sports Sci. 2012, 30, 625–631. [Google Scholar] [CrossRef]
- Karsten, B.; Larumbe-Zabala, E.; Kandemir, G.; Hazir, T.; Klose, A.; Naclerio, F. The effects of a 6-week strength training on critical velocity, anaerobic running distance, 30-m sprint and yo-yo intermittent running test performances in male soccer players. PLoS ONE 2016, 11, e0151448. [Google Scholar] [CrossRef] [PubMed]
- Shalfawi, S.A.I.; Tønnessen, E.; Enoksen, E.; Ingebrigtsen, J. Assessing day-to-day reliability of the Newtest 2000 sprint timing system. Servian J. Sports Sci. 2011, 5, 107–113. [Google Scholar]
- Enoksen, E.; Tønnessen, E.; Shalfawi, S. Validity and reliability of the Newtest Powertimer 300-series testing system. J. Sports Sci. 2009, 27, 77–84. [Google Scholar] [CrossRef] [PubMed]
- Tanner, J.M.; Whitehouse, R.H. Clinical longitudinal standards for height, weight, height velocity, weight velocity, and stages of puberty. Arch. Dis. Child. 1976, 51, 170–179. [Google Scholar] [CrossRef]
- Koo, T.K.; Li, M.Y. A Guideline of Selecting and Reporting Intraclass Correlation Coefficients for Reliability Research. J. Chiropr. Med. 2016, 15, 155–163. [Google Scholar] [CrossRef]
- Svensson, E.; Waling, K.; Häger-Ross, C. Grip strength in children: Test-retest reliability using Grippit. Acta Paediatr. 2008, 97, 1226–1231. [Google Scholar] [CrossRef]
- Atkinson, G.; Nevill, A.M. Statistical methods for assessing measurement error (reliability) in variables relevant to sports medicine. Sports Med. 1998, 26, 217–238. [Google Scholar] [CrossRef] [PubMed]
- Bland, J.M.; Altman, D.G. Statistical methods for assessing agreement between two methods of clinical measurement. Lancet 1986, 1, 307–310. [Google Scholar] [CrossRef]
- Sammoud, S.; Bouguezzi, R.; Negra, Y.; Chaabene, H. The Reliability and Sensitivity of Change of Direction Deficit and Its Association with Linear Sprint Speed in Prepubertal Male Soccer Players. J. Funct. Morphol. Kinesiol. 2021, 6, 41. [Google Scholar] [CrossRef] [PubMed]
- Taylor, J.M.; Cunningham, L.; Hood, P.; Thorne, B.; Irvin, G.; Weston, M. The reliability of a modified 505 test and change-of-direction deficit time in elite youth football players. Sci. Med. Football 2019, 2, 157–162. [Google Scholar] [CrossRef]


| Variables | Test | Retest | ICC (95% CI) | SEM | SEM% | 95% LOA | |
|---|---|---|---|---|---|---|---|
| Lower | Upper | ||||||
| Linear speed without ball | 4.85 ± 0.43 s | 4.89 ± 0.42 s | 0.995 (0.960–0.998) | 0.03 s | 0.62 | −0.045 | 0.13 |
| Linear speed with ball | 6.24 ± 0.79 s | 6.28 ± 0.78 s | 0.982 (0.965–0.990) | 0.11 s | 1.69 | −0.37 | 0.45 |
| Performance Index | |||||||
| Delta score | 1.39 ± 0.60 s | 1.39 ± 0.59 s | 0.965 (0.934–0.981) | 0.11 s | 8.10 | −0.43 | 0.43 |
| Percent value | 28.67 ± 12.22% | 28.33 ± 12.05% | 0.957 (0.919–0.977) | 2.52% | 8.83 | −7 | 8.45 |
| Variables | Trial 1 | Trial 2 | ICC (95% CI) | SEM | SEM% | 95% LOA | |
|---|---|---|---|---|---|---|---|
| Lower | Upper | ||||||
| Linear speed without ball | 4.87 ± 0.44 s | 4.90 ± 0.43 s | 0.98 (0.957–0.990) | 0.06 s | 1.26 | −0.14 | 0.20 |
| Linear speed with ball | 6.26 ± 0.83 s | 6.32 ± 0.77 s | 0.987 (0.970–0.993) | 0.09 s | 1.45 | −0.28 | 0.29 |
| Performance Index | |||||||
| Delta score | 1.40 ± 0.63 s | 1.42 ± 0.57 s | 0.979 (0.961–0.989) | 0.09 s | 6.17 | −0.24 | 0.25 |
| Percent value | 28.74 ± 12.47% | 28.95 ± 11.48% | 0.974 (0.951–0.986) | 1.93% | 6.70 | −5.22 | 5.64 |
Disclaimer/Publisher’s Note: The statements, opinions and data contained in all publications are solely those of the individual author(s) and contributor(s) and not of MDPI and/or the editor(s). MDPI and/or the editor(s) disclaim responsibility for any injury to people or property resulting from any ideas, methods, instructions or products referred to in the content. |
© 2023 by the authors. Licensee MDPI, Basel, Switzerland. This article is an open access article distributed under the terms and conditions of the Creative Commons Attribution (CC BY) license (https://creativecommons.org/licenses/by/4.0/).
Share and Cite
Manouras, N.; Batatolis, C.; Ioakimidis, P.; Karatrantou, K.; Gerodimos, V. The Reliability of Linear Speed with and without Ball Possession of Pubertal Soccer Players. J. Funct. Morphol. Kinesiol. 2023, 8, 147. https://doi.org/10.3390/jfmk8040147
Manouras N, Batatolis C, Ioakimidis P, Karatrantou K, Gerodimos V. The Reliability of Linear Speed with and without Ball Possession of Pubertal Soccer Players. Journal of Functional Morphology and Kinesiology. 2023; 8(4):147. https://doi.org/10.3390/jfmk8040147
Chicago/Turabian StyleManouras, Nikolaos, Christos Batatolis, Panagiotis Ioakimidis, Konstantina Karatrantou, and Vassilis Gerodimos. 2023. "The Reliability of Linear Speed with and without Ball Possession of Pubertal Soccer Players" Journal of Functional Morphology and Kinesiology 8, no. 4: 147. https://doi.org/10.3390/jfmk8040147
APA StyleManouras, N., Batatolis, C., Ioakimidis, P., Karatrantou, K., & Gerodimos, V. (2023). The Reliability of Linear Speed with and without Ball Possession of Pubertal Soccer Players. Journal of Functional Morphology and Kinesiology, 8(4), 147. https://doi.org/10.3390/jfmk8040147

