Examination of Countermovement Jump Performance Changes in Collegiate Female Volleyball in Fatigued Conditions
Abstract
:1. Introduction
2. Materials and Methods
2.1. Subjects
2.2. Procedures
2.3. Data Analysis
2.4. Statistical Analysis
3. Results
4. Discussion
5. Conclusions
Author Contributions
Funding
Institutional Review Board Statement
Informed Consent Statement
Data Availability Statement
Conflicts of Interest
References
- Legg, L.; Rush, M.; Rush, J.; McCoy, S.; Garner, J.C.; Donahue, P.T. Association Between Body Composition and Vertical Jump Performance in Female Collegiate Volleyball Athletes. Int. J. Kinesiol. Sports Sci. 2021, 9, 43–48. [Google Scholar] [CrossRef]
- Rush, M.E.; Littlefield, T.; McInnis, A.K.; Donahue, P.T. Positional Comparison of Jump Performance in NCAA Division I Female Volleyball Athletes. Int. J. Kinesiol. Sports Sci. 2022, 10, 1–6. [Google Scholar] [CrossRef]
- Marques, M.C.; Van Den Tillaar, R.; Vescovi, J.D.; González-Badillo, J.J. Changes in Strength and Power Performance in Elite Senior Female Professional Volleyball Players during the In-Season: A Case Study. J. Strength Cond. Res. 2008, 22. [Google Scholar] [CrossRef]
- Gathercole, R.J.; Sporer, B.C.; Stellingwerff, T.; Sleivert, G.G. Comparison of the Capacity of Different Jump and Sprint Field Tests to Detect Neuromuscular Fatigue. J. Strength Cond. Res. 2015, 29, 2522–2531. [Google Scholar] [CrossRef]
- Claudino, J.G.; Cronin, J.; Mezêncio, B.; McMaster, D.T.; McGuigan, M.; Tricoli, V.; Amadio, A.C.; Serrão, J.C. The Countermovement Jump to Monitor Neuromuscular Status: A Meta-Analysis. J. Sci. Med. Sport 2017, 20, 397–402. [Google Scholar] [CrossRef]
- Gathercole, R.; Sporer, B.; Stellingwerff, T.; Sleivert, G. Alternative Countermovement-Jump Analysis to Quantify Acute Neuromuscular Fatigue. Int. J. Sports Physiol. Perform. 2015, 10, 84–92. [Google Scholar] [CrossRef]
- Heishman, A.; Brown, B.; Daub, B.; Miller, R.; Freitas, E.; Bemben, M. The Influence of Countermovement Jump Protocol on Reactive Strength Index Modified and Flight Time: Contraction Time in Collegiate Basketball Players. Sports 2019, 7, 37. [Google Scholar] [CrossRef]
- Hara, M.; Shibayama, A.; Takeshita, D.; Hay, D.C.; Fukashiro, S. A Comparison of the Mechanical Effect of Arm Swing and Countermovement on the Lower Extremities in Vertical Jumping. Hum. Mov. Sci. 2008, 27, 636–648. [Google Scholar] [CrossRef]
- Harman, E.A.; Rosenstein, M.T.; Frykman, P.N.; Rosenstein, R.M. The Effects of Arms and Countermovement on Vertical Jumping. Med. Sci. Sports Exerc. 1990, 22, 825. [Google Scholar] [CrossRef]
- Lees, A.; Vanrenterghem, J.; Clercq, D.D. Understanding How an Arm Swing Enhances Performance in the Vertical Jump. Biomech. 2004, 37, 1929–1940. [Google Scholar] [CrossRef]
- Feltner, M.E.; Bishop, E.J.; Perez, C.M. Segmental and Kinetic Contributions in Vertical Jumps Performed with and without an Arm Swing. Res. Q. Exerc. Sport 2004, 75, 216–230. [Google Scholar] [CrossRef]
- Cormack, S.J.; Newton, R.U.; McGuigan, M.R. Neuromuscular and Endocrine Responses of Elite Players to an Australian Rules Football Match. Int. J. Sports Physiol. Perform. 2008, 3, 359–374. [Google Scholar] [CrossRef] [PubMed]
- Hoffman, J.R.; Nusse, V.; Kang, J. The Effect of an Intercollegiate Soccer Game on Maximal Power Performance. Can. J. Appl. Physiol. 2003, 28, 807–817. [Google Scholar] [CrossRef]
- Johnston, R.D.; Gibson, N.V.; Twist, C.; Gabbett, T.J.; MacNay, S.A.; MacFarlane, N.G. Physiological Responses to an Intensified Period of Rugby League Competition. J. Strength Cond. Res. 2013, 27, 643. [Google Scholar] [CrossRef]
- Cabarkapa, D.V.; Cabarkapa, D.; Whiting, S.M.; Fry, A.C. Fatigue-Induced Neuromuscular Performance Changes in Professional Male Volleyball Players. Sports 2023, 11, 120. [Google Scholar] [CrossRef]
- Donahue, P.T.; Rush, M.; McInnis, A.K.; Littlefield, T. Phase Specific Comparisons of High and Low Vertical Jump Performance in Collegiate Female Athletes. J. Sci. Sport Exerc. 2022. [Google Scholar] [CrossRef]
- Chavda, S.; Bromley, T.; Jarvis, P.; Williams, S.; Bishop, C.; Turner, A.N.; Lake, J.P.; Mundy, P.D. Force-Time Characteristics of the Countermovement Jump: Analyzing the Curve in Excel. Strength Cond. J. 2018, 20, 67–77. [Google Scholar] [CrossRef]
- McMahon, J.J.; Suchomel, T.J.; Lake, J.P.; Comfort, P. Understanding the Key Phases of the Countermovement Jump Force-Time Curve. Strength Cond. J. 2018, 40, 96–106. [Google Scholar] [CrossRef]
- Owen, N.J.; Watkins, J.; Kilduff, L.P.; Bevan, H.R.; Bennett, M.A. Development of a Criterion Method to Determine Peak Mechanical Power Output in a Countermovement. J. Strength Cond. Res. 2014, 28, 1552–1558. [Google Scholar] [CrossRef]
- Ebben, W.P.; Petushek, E.J. Using the Reactive Strength Index Modified to Evaluate Plyometric Performance. J. Strength Cond. Res. 2010, 24, 1983–1987. [Google Scholar] [CrossRef]
- Hopkins, W.G. A Scale of Magnitudes for Effect Statistics. Available online: http://www.sportsci.org/resource/stats/effectmag.html (accessed on 8 January 2019).
- Donahue, P.T.; Peel, S.A.; McInnis, A.K.; Littlefield, T.; Calci, C.; Gabriel, M.; Rush, M. Changes in Strength and Jump Performance over a 10 Week Competitive Period in Male Collegiate Golfers. J. Trainology 2022, 11, 22–27. [Google Scholar] [CrossRef]
- Doeven, S.H.; Brink, M.S.; Kosse, S.J.; Lemmink, K.A.P.M. Postmatch Recovery of Physical Performance and Biochemical Markers in Team Ball Sports: A Systematic Review. BMJ Open Sport Exerc. Med. 2018, 4, e000264. [Google Scholar] [CrossRef] [PubMed]
- Cooper, C.N.; Dabbs, N.C.; Davis, J.; Sauls, N.M. Effects of Lower-Body Muscular Fatigue on Vertical Jump and Balance Performance. J. Strength Cond. Res. 2020, 34, 2903. [Google Scholar] [CrossRef] [PubMed]
- Vaverka, F.; Jandačka, D.; Zahradník, D.; Uchytil, J.; Farana, R.; Supej, M.; Vodičar, J. Effect of an Arm Swing on Countermovement Vertical Jump Performance in Elite Volleyball Players. J. Hum. Kinet. 2016, 53, 41–50. [Google Scholar] [CrossRef] [PubMed]
- McLellan, C.P.; Lovell, D.I.; Gass, G.C. Markers of Postmatch Fatigue in Professional Rugby League Players. J. Strength Cond. Res. 2011, 25, 1030. [Google Scholar] [CrossRef]
- Moreno-Pérez, V.; Del Coso, J.; Raya-González, J.; Nakamura, F.Y.; Castillo, D. Effects of Basketball Match-Play on Ankle Dorsiflexion Range of Motion and Vertical Jump Performance in Semi-Professional Players. J. Sports Med. Phys. Fit. 2020, 60, 110–118. [Google Scholar] [CrossRef]
- Gathercole, R.J.; Stellingwerff, T.; Sporer, B.C. Effect of Acute Fatigue and Training Adaptation on Countermovement Jump Performance in Elite Snowboard Cross Athletes. J. Strength Cond. Res. 2015, 29, 37. [Google Scholar] [CrossRef]
- Robineau, J.; Jouaux, T.; Lacroix, M.; Babault, N. Neuromuscular Fatigue Induced by a 90-Minute Soccer Game Modeling. J. Strength Cond. Res. 2012, 26, 555. [Google Scholar] [CrossRef]
- Cortis, C.; Tessitore, A.; Lupo, C.; Perroni, F.; Pesce, C.; Capranica, L. Changes in Jump, Sprint, and Coordinative Performances After a Senior Soccer Match. J. Strength Cond. Res. 2013, 27, 2989. [Google Scholar] [CrossRef]
- Cortis, C.; Tessitore, A.; Lupo, C.; Pesce, C.; Fossile, E.; Figura, F.; Capranica, L. Inter-Limb Coordination, Strength, Jump, and Sprint Performances Following a Youth Men’s Basketball Game. J. Strength Cond. Res. 2011, 25, 135. [Google Scholar] [CrossRef]
- Skazalski, C.; Whiteley, R.; Bahr, R. High Jump Demands in Professional Volleyball—Large Variability Exists between Players and Player Positions. Scand. J. Med. Sci. Sports 2018, 28, 2293–2298. [Google Scholar] [CrossRef] [PubMed]



| ICC (95% CI) | CV (95% CI) | |
|---|---|---|
| Arm Swing | ||
| Braking Mean Force | 0.91 (0.77–0.96) | 3.71 (1.49–5.93) |
| Braking Duration | 0.94 (0.86–0.97) | 5.22 (2.01–8.42) |
| Braking Impulse | 0.84 (0.61–0.93) | 5.77 (2.75–8.79) |
| Propulsive Mean Force | 0.99 (0.97–0.99) | 1.81 (0.76–2.86) |
| Propulsive Duration | 0.86 (0.64–0.95) | 2.12 (1.03–3.22) |
| Propulsive Net Impulse | 0.97 (0.89–0.99) | 1.84 (0.37–3.30) |
| Countermovement Depth | 0.88 (0.61–0.96) | 3.26 (2.09–4.42) |
| Time To Takeoff | 0.94 (0.87–0.98) | 1.08 (0.55–1.61) |
| Jump Height | 0.97 (0.93–0.99) | 1.97 (1.14–2.80) |
| RSIm | 0.95 (0.90–0.98) | 2.39 (1.30–3.48) |
| No Arm Swing | ||
| Braking Mean Force | 0.91 (0.78–0.96) | 6.38 (2.92–9.81) |
| Braking Duration | 0.93 (0.86–0.97) | 5.89 (3.22–8.56) |
| Braking Impulse | 0.84 (0.61–0.93) | 4.16 (3.03–9.76) |
| Propulsive Mean Force | 0.91 (0.80–0.96) | 2.79 (1.53–4.05) |
| Propulsive Duration | 0.88 (0.80–0.95) | 2.90 (1.66–4.14) |
| Propulsive Net Impulse | 0.93 (0.85–0.97) | 1.62 (0.44–2.80) |
| Countermovement Depth | 0.88 (0.61–0.96) | 3.56 (2.03–5.08) |
| Time To Takeoff | 0.94 (0.87–0.98) | 2.17 (1.03–3.30) |
| Jump Height | 0.97 (0.93–0.99) | 2.74 (0.87–4.61) |
| RSIm | 0.95 (0.90–0.98) | 4.10 (2.16–6.04) |
| Arm Swing Condition | |||||
|---|---|---|---|---|---|
| Pre | Post | p | g | %Δ | |
| Mean Braking Force (N) | 496.93 ± 145.62 | 536.29 ± 170.51 | 0.047 | 0.656 | 7.9 |
| Braking Duration (ms) | 201.41 ± 39.39 | 196.86 ± 56.70 | 0.704 | 0.114 | 2.6 |
| Braking Net Impulse (N*s) | 96.46 ± 24.03 | 100.31 ± 28.52 | 0.386 | 0.263 | 4.0 |
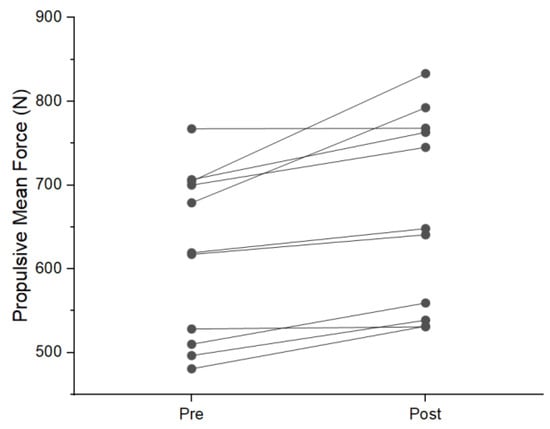
| Mean Propulsive Force (N) | 624.42 ± 119.76 | 630.52 ± 119.91 | 0.413 | 0.248 | 1.0 |
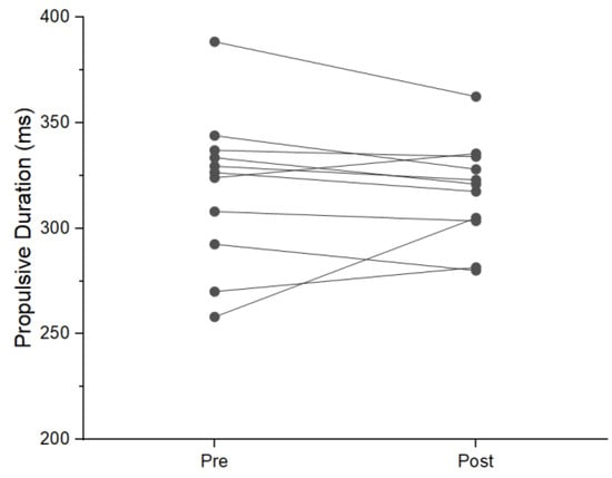
| Propulsive Duration (ms) | 336.59 ± 23.21 | 339.91 ± 35.86 | 0.573 | 0.169 | 1.0 |
| Propulsive Net Impulse (N*s) | 210.27 ± 35.16 | 213.19 ± 28.73 | 0.554 | 0.178 | 1.4 |
| Countermovement Depth (cm) | 39.51 ± 5.66 | 41.08 ± 7.11 | 0.103 | 0.521 | 4.0 |
| Jump Height (cm) | 33.84 ± 4.74 | 34.19 ± 4.46 | 0.545 | 0.182 | 1.0 |
| Time to Takeoff (ms) | 992.13 ± 99.26 | 971.95 ± 89.05 | 0.321 | 0.303 | 2.0 |
| RSImod | 0.34 ± 0.05 | 0.35 ± 0.05 | 0.133 | 0.475 | 2.9 |
| No Arm Swing Condition | |||||
| Pre | Post | p | g | %Δ | |
| Mean Braking Force (N) | 527.45 ± 155.94 | 570.61 ± 149.25 | 0.097 | 0.551 | 8.2 |
| Braking Duration (ms) | 189.23 ± 34.28 | 170.73 ± 42.92 | 0.099 | 0.527 | 9.8 |
| Braking Net Impulse (N*s) | 95.89 ± 20.73 | 92.54 ± 19.63 | 0.548 | 0.188 | 3.5 |
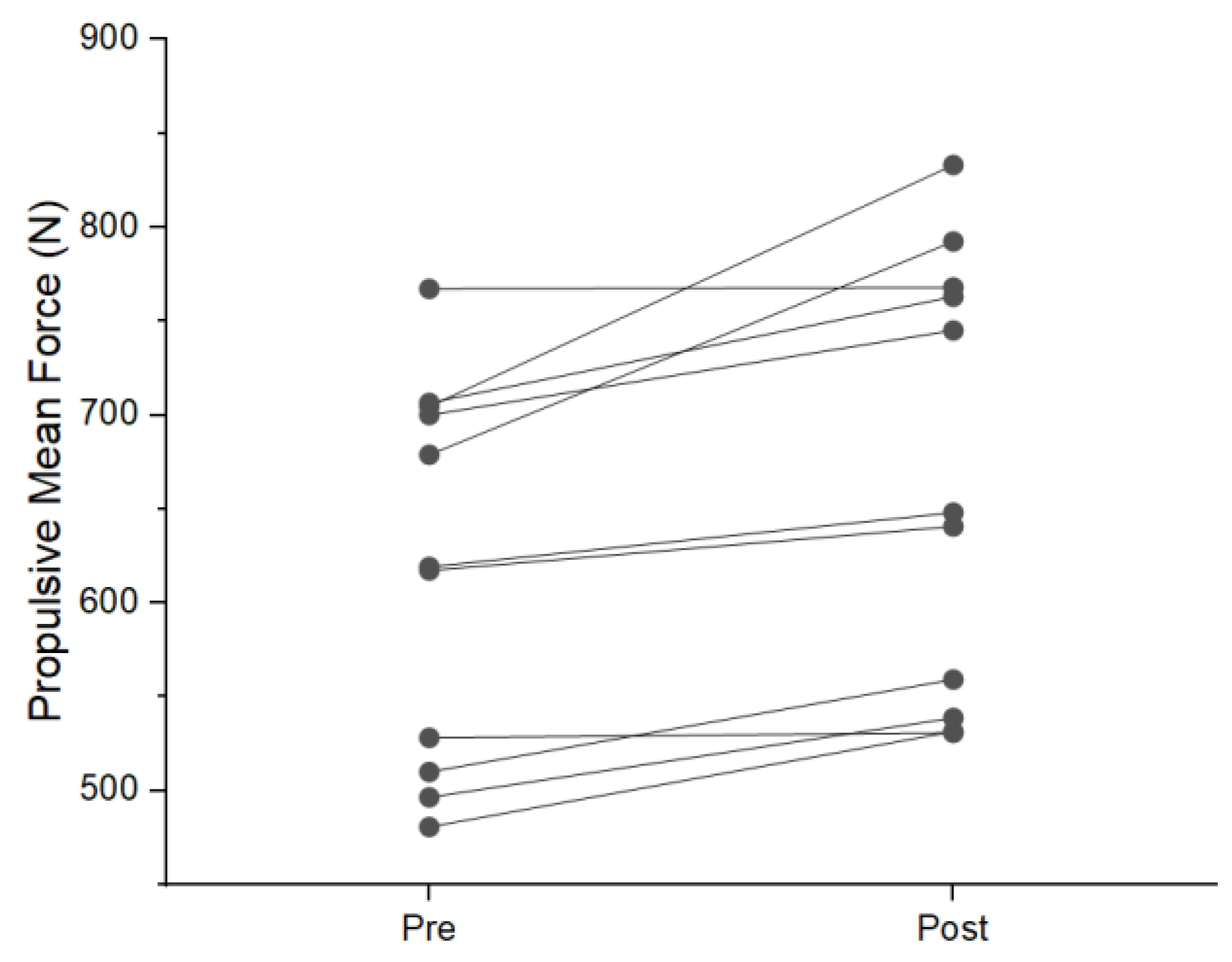
| Mean Propulsive Force (N) | 619.03 ± 100.74 | 668.30 ± 116.16 | 0.002 | 1.179 | 8.0 |
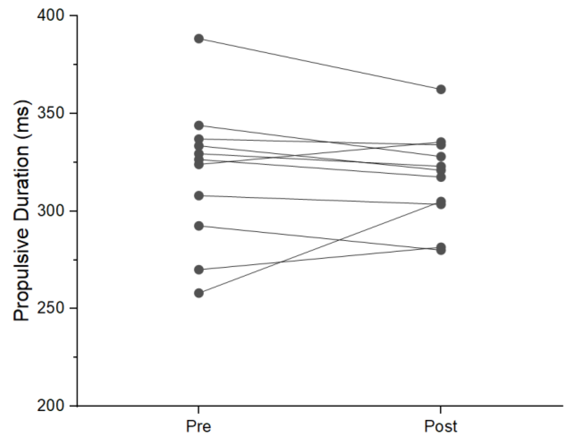
| Propulsive Duration (ms) | 319.23 ± 36.23 | 317.41 ± 24.14 | 0.764 | 0.089 | 0.6 |
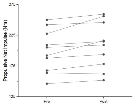
| Propulsive Net Impulse (N*s) | 197.81 ± 33.04 | 213.19 ± 38.67 | 0.038 | 0.695 | 7.8 |
| Countermovement Depth (cm) | 35.90 ± 6.39 | 35.58 ± 6.16 | 0.421 | 0.244 | 0.9 |
| Jump Height (cm) | 28.95 ± 4.97 | 31.27 ± 5.00 | 0.001 | 1.700 | 8.0 |
| Time to Takeoff (ms) | 873.09 ± 103.28 | 831.95 ± 99.83 | 0.015 | 0.852 | 4.7 |
| RSImod | 0.33 ± 0.06 | 0.38 ± 0.07 | 0.001 | 1.466 | 15.2 |
Disclaimer/Publisher’s Note: The statements, opinions and data contained in all publications are solely those of the individual author(s) and contributor(s) and not of MDPI and/or the editor(s). MDPI and/or the editor(s) disclaim responsibility for any injury to people or property resulting from any ideas, methods, instructions or products referred to in the content. |
© 2023 by the authors. Licensee MDPI, Basel, Switzerland. This article is an open access article distributed under the terms and conditions of the Creative Commons Attribution (CC BY) license (https://creativecommons.org/licenses/by/4.0/).
Share and Cite
Donahue, P.T.; McInnis, A.K.; Williams, M.K.; White, J. Examination of Countermovement Jump Performance Changes in Collegiate Female Volleyball in Fatigued Conditions. J. Funct. Morphol. Kinesiol. 2023, 8, 137. https://doi.org/10.3390/jfmk8030137
Donahue PT, McInnis AK, Williams MK, White J. Examination of Countermovement Jump Performance Changes in Collegiate Female Volleyball in Fatigued Conditions. Journal of Functional Morphology and Kinesiology. 2023; 8(3):137. https://doi.org/10.3390/jfmk8030137
Chicago/Turabian StyleDonahue, Paul T., Ayden K. McInnis, Madelyn K. Williams, and Josey White. 2023. "Examination of Countermovement Jump Performance Changes in Collegiate Female Volleyball in Fatigued Conditions" Journal of Functional Morphology and Kinesiology 8, no. 3: 137. https://doi.org/10.3390/jfmk8030137
APA StyleDonahue, P. T., McInnis, A. K., Williams, M. K., & White, J. (2023). Examination of Countermovement Jump Performance Changes in Collegiate Female Volleyball in Fatigued Conditions. Journal of Functional Morphology and Kinesiology, 8(3), 137. https://doi.org/10.3390/jfmk8030137
