Analysis of Individual O2max Responses during a Cardiopulmonary Exercise Test and the Verification Phase in Physically Active Women
Abstract
1. Introduction
2. Materials and Methods
2.1. Experimental Approach
2.2. Subjects
2.3. Graded Exercise Test with Verification Phase
2.4. Statistical Analyses
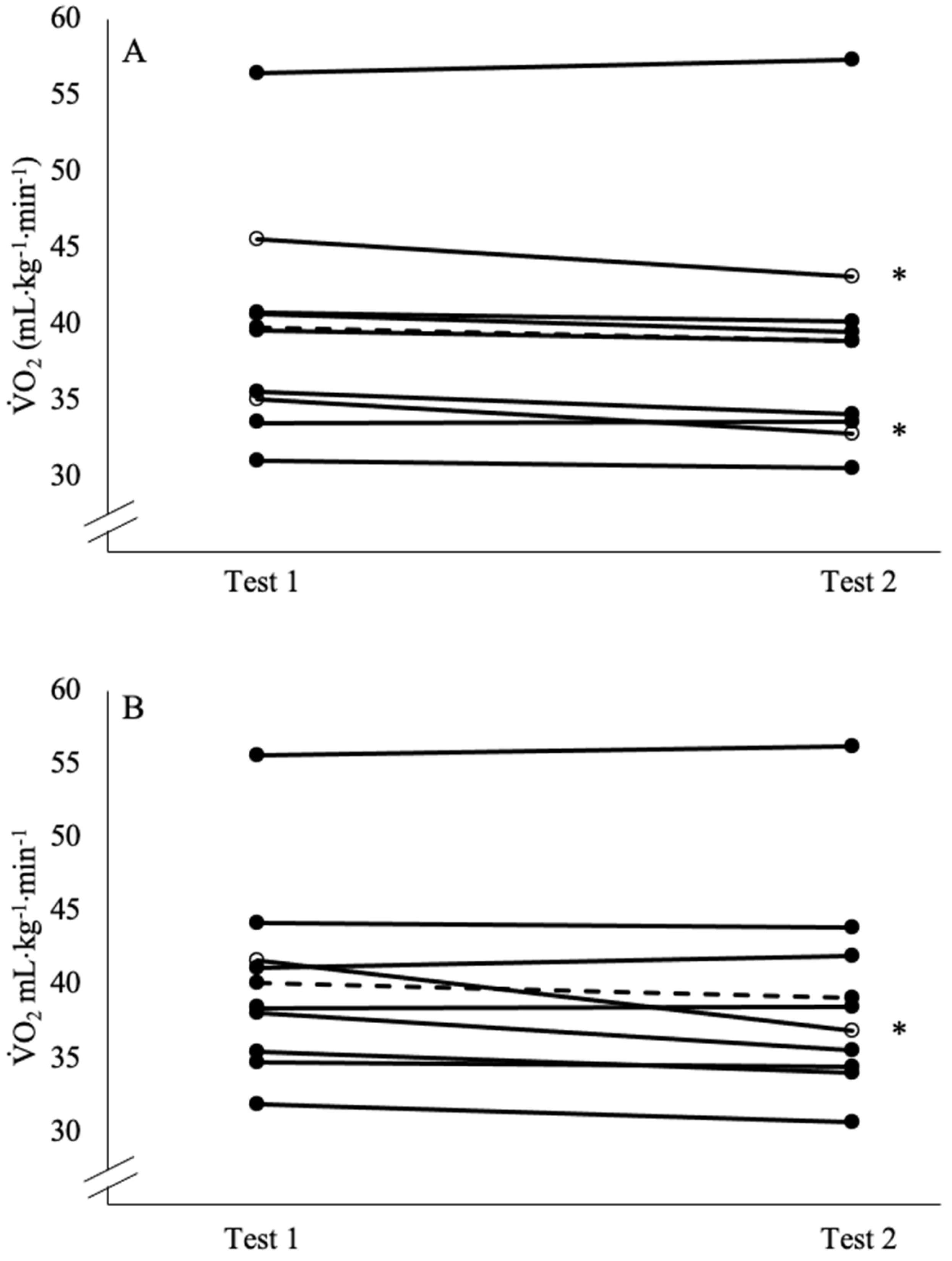
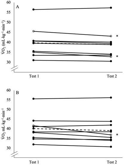
3. Results
4. Discussion
Limitations
5. Conclusions
Author Contributions
Funding
Institutional Review Board Statement
Informed Consent Statement
Data Availability Statement
Conflicts of Interest
References
- Dionne, F.T.; Turcotte, L.; Thibault, M.C.; Boulay, M.R.; Skinner, J.S.; Bouchard, C. Mitochondrial DNA Sequence Polymorphism, VO2max, and Response to Endurance Training. Med. Sci. Sports Exerc. 1991, 23, 177–185. [Google Scholar] [CrossRef] [PubMed]
- Dipla, K. The FITT Principle in Individuals with Type 2 Diabetes: From Cellular Adaptations to Individualized Exercise Prescription. J. Adv. Med. Med. Res. 2017, 22, 1–18. [Google Scholar] [CrossRef][Green Version]
- Marks, P.; Witten, C. Toward a New Framework for the Development of Individualized Therapies. Gene Ther. 2021, 28, 615–617. [Google Scholar] [CrossRef]
- Weatherwax, R.M.; Harris, N.K.; Kilding, A.E.; Dalleck, L.C. Incidence of VO2max Responders to Personalized versus Standardized Exercise Prescription. Med. Sci. Sports Exerc. 2019, 51, 681–691. [Google Scholar] [CrossRef] [PubMed]
- Pollet, T.V.; Stulp, G.; Henzi, S.P.; Barrett, L. Taking the Aggravation out of Data Aggregation: A Conceptual Guide to Dealing with Statistical Issues Related to the Pooling of Individual-Level Observational Data. Am. J. Primatol. 2015, 77, 727–740. [Google Scholar] [CrossRef] [PubMed]
- Kirkeberg, J.M.; Dalleck, L.C.; Kamphoff, C.S.; Pettitt, R.W. Validity of 3 Protocols for Verifying VO2max. Int. J. Sports Med. 2011, 32, 266–270. [Google Scholar] [CrossRef]
- Midgley, A.W.; McNaughton, L.R.; Carroll, S. Verification Phase as a Useful Tool in the Determination of the Maximal Oxygen Uptake of Distance Runners. Appl. Physiol. Nutr. Metab. 2006, 31, 541–548. [Google Scholar] [CrossRef]
- Midgley, A.W.; Carroll, S. Emergence of the Verification Phase Procedure for Confirming “true” VO(2max). Scand. J. Med. Sci. Sports 2009, 19, 313–322. [Google Scholar] [CrossRef]
- Murias, J.M.; Pogliaghi, S.; Paterson, D.H. Measurement of a True VO2max during a Ramp Incremental Test Is not Confirmed by a Verification Phase. Front. Physiol. 2018, 9, 143. [Google Scholar] [CrossRef]
- Rossiter, H.B.; Kowalchuk, J.M.; Whipp, B.J. A Test to Establish Maximum O2 Uptake despite No Plateau in the O2 Uptake Response to Ramp Incremental Exercise. J. Appl. Physiol. 2006, 100, 764–770. [Google Scholar] [CrossRef]
- Sawyer, B.J.; McMahon, N.; Thornhill, K.L.; Baughman, B.R.; Mahoney, J.M.; Pattison, K.L.; Freeberg, K.A.; Botts, R.T. Supra-Versus Submaximal Cycle Ergometer Verification of VO2max in Males and Females. Sports 2020, 8, 163. [Google Scholar] [CrossRef] [PubMed]
- Astorino, T.A.; DE LA Rosa, A.B.; Clark, A.; DE Revere, J.L. Verification Testing to Confirm VO2max Attainment in Inactive Women with Obesity. Int. J. Exerc. Sci. 2020, 13, 1448–1458. [Google Scholar] [PubMed]
- Iannetta, D.; de Almeida Azevedo, R.; Ingram, C.P.; Keir, D.A.; Murias, J.M. Evaluating the Suitability of Supra-POpeak Verification Trials after Ramp-Incremental Exercise to Confirm the Attainment of Maximum O2 Uptake. Am. J. Physiol. Regul. Integr. Comp. Physiol. 2020, 319, R315–R322. [Google Scholar] [CrossRef] [PubMed]
- Dalleck, L.C.; Astorino, T.A.; Erickson, R.M.; McCarthy, C.M.; Beadell, A.A.; Botten, B.H. Suitability of Verification Testing to Confirm Attainment of VO2max in Middle-Aged and Older Adults. Res. Sports Med. 2012, 20, 118–128. [Google Scholar] [CrossRef] [PubMed]
- Hecksteden, A.; Kraushaar, J.; Scharhag-Rosenberger, F.; Theisen, D.; Senn, S.; Meyer, T. Individual Response to Exercise Training—A Statistical Perspective. J. Appl. Physiol. 2015, 118, 1450–1459. [Google Scholar] [CrossRef]
- Hopkins, W.G. Individual Responses Made Easy. J. Appl. Physiol. 2015, 118, 1444–1446. [Google Scholar] [CrossRef]
- Weir, J.P. Quantifying Test-Retest Reliability Using the Intraclass Correlation Coefficient and the SEM. J. Strength Cond. Res. 2005, 19, 231–240. [Google Scholar] [CrossRef]
- Poole, D.C.; Jones, A.M. Measurement of the Maximum Oxygen Uptake VO2max: VO2peak Is No Longer Acceptable. J. Appl. Physiol. 2017, 122, 997–1002. [Google Scholar] [CrossRef]
- Taylor, H.L.; Buskirk, E.; Henschel, A. Maximal Oxygen Intake as an Objective Measure of Cardio-Respiratory Performance. J. Appl. Physiol. 1955, 8, 73–80. [Google Scholar] [CrossRef]
- Howley, E.T.; Bassett, D.R.; Welch, H.G. Criteria for Maximal Oxygen Uptake: Review and Commentary. Med. Sci. Sports Exerc. 1995, 27, 1292–1301. [Google Scholar] [CrossRef]
- Poole, D.C.; Wilkerson, D.P.; Jones, A.M. Validity of Criteria for Establishing Maximal O2 Uptake during Ramp Exercise Tests. Eur. J. Appl. Physiol. 2008, 102, 403–410. [Google Scholar] [CrossRef] [PubMed]
- Robergs, R.A.; Landwehr, R. The Surprising History of the “HRmax=220-Age” Equation. J. Exerc. Physiol. 2002, 5, 1–10. [Google Scholar]
- Costa, V.A.B.; Midgley, A.W.; Carroll, S.; Astorino, T.A.; de Paula, T.; Farinatti, P.; Cunha, F.A. Is a Verification Phase Useful for Confirming Maximal Oxygen Uptake in Apparently Healthy Adults? A Systematic Review and Meta-Analysis. PLoS ONE 2021, 16, e0247057. [Google Scholar] [CrossRef]
- Noakes, T.D. Maximal Oxygen Uptake as a Parametric Measure of Cardiorespiratory Capacity: Comment. Med. Sci. Sports Exerc. 2008, 40, 585. [Google Scholar] [CrossRef] [PubMed]
- Pryor, J.L.; Lao, P.; Leija, R.G.; Perez, S.; Morales, J.; Looney, D.P.; Cochrane-Snyman, K.C. Verification Phase Confirms VO2max in a Hot Environment in Sedentary Untrained Males. Med. Sci. Sports Exerc. 2023, 55, 1069–1075. [Google Scholar] [CrossRef] [PubMed]
- Midgley, A.W.; Carroll, S.; Marchant, D.; McNaughton, L.R.; Siegler, J. Evaluation of True Maximal Oxygen Uptake Based on a Novel Set of Standardized Criteria. Appl. Physiol. Nutr. Metab. 2009, 34, 115–123. [Google Scholar] [CrossRef]
- Succi, P.J.; Benitez, B.; Kwak, M.; Bergstrom, H.C. VO2max Is Reliably Measured from a Stand-Alone Graded Exercise Test in Healthy Women. J. Exerc. Physiol. Online 2022, 25, 14–25. [Google Scholar]
- Succi, P.J.; Benitez, B.; Kwak, M.; Bergstrom, H.C. Methodological Considerations for the Determination of VO2max in Healthy Men. Eur. J. Appl. Physiol. 2023, 123, 191–199. [Google Scholar] [CrossRef]
- Succi, P.J.; Benitez, B.; Kwak, M.; Bergstrom, H.C. The Minimal Difference as an Individual Threshold to Examine the Utility of a Verification Bout in Determining VO2max. Med. Sci. Sports Exerc. 2023, 55, 1063–1068. [Google Scholar] [CrossRef]
- Day, J.R.; Rossiter, H.B.; Coats, E.M.; Skasick, A.; Whipp, B.J. The Maximally Attainable VO2 during Exercise in Humans: The Peak vs. Maximum Issue. J. Appl. Physiol. 2003, 95, 1901–1907. [Google Scholar] [CrossRef]
- Robergs, R.A.; Dwyer, D.; Astorino, T. Recommendations for Improved Data Processing from Expired Gas Analysis Indirect Calorimetry. Sports Med. 2010, 40, 95–111. [Google Scholar] [CrossRef] [PubMed]
- Jones, A.M.; Grassi, B.; Christensen, P.M.; Krustrup, P.; Bangsbo, J.; Poole, D.C. Slow Component of VO2 Kinetics: Mechanistic Bases and Practical Applications. Med. Sci. Sports Exerc. 2011, 43, 2046–2062. [Google Scholar] [CrossRef] [PubMed]
- Borg, G. Perceived Exertion as an Indicator of Somatic Stress. Scand. J. Rehabil. Med. 1970, 2, 92–98. [Google Scholar] [CrossRef] [PubMed]
- Hopkins, W.G. Measures of Reliability in Sports Medicine and Science. Sports Med. 2000, 30, 1–15. [Google Scholar] [CrossRef] [PubMed]
- Shrout, P.E.; Fleiss, J.L. Intraclass Correlations: Uses in Assessing Rater Reliability. Psychol. Bull. 1979, 86, 420–428. [Google Scholar] [CrossRef]
- Vincent, W.J.; Weir, J.P. Statistics in Kinesiology, 4th ed.; Human Kinetics: Champaign, IL, USA, 2012. [Google Scholar]
- Buckthorpe, M.W.; Hannah, R.; Pain, T.G.; Folland, J.P. Reliability of Neuromuscular Measurements during Explosive Isometric Contractions, with Special Reference to Electromyography Normalization Techniques. Muscle Nerve 2012, 46, 566–576. [Google Scholar] [CrossRef]
- Atkinson, G.; Nevill, A.M. Statistical Methods for Assessing Measurement Error (Reliability) in Variables Relevant to Sports Medicine. Sports Med. 1998, 26, 217–238. [Google Scholar] [CrossRef]
- Rose, G.A.; Davies, R.G.; Appadurai, I.R.; Williams, I.M.; Bashir, M.; Berg, R.M.G.; Poole, D.C.; Bailey, D.M. “Fit for Surgery”: The Relationship between Cardiorespiratory Fitness and Postoperative Outcomes. Exp. Physiol. 2022, 107, 787–799. [Google Scholar] [CrossRef]
- Succi, P.J.; Dinyer, T.K.; Byrd, M.T.; Soucie, E.P.; Voskuil, C.C.; Bergstrom, H.C. Test-Retest Reliability of Critical Power, Critical Heart Rate, Time to Exhaustion, and Average Heart Rate during Cycle Ergometry. J. Exerc. Physiol. Online 2021, 24, 33–52. [Google Scholar]
- Astorino, T.A.; DeRevere, J. Efficacy of Constant Load Verification Testing to Confirm VO2max Attainment. Clin. Physiol. Funct. Imaging 2018, 38, 703–709. [Google Scholar] [CrossRef]
- Pickering, C.; Kiely, J. Do Non-Responders to Exercise Exist-and If So, What Should We Do about Them? Sports Med. 2019, 49, 1–7. [Google Scholar] [CrossRef] [PubMed]
- Knaier, R.; Infanger, D.; Niemeyer, M.; Cajochen, C.; Schmidt-Trucksäss, A. In Athletes, the Diurnal Variations in Maximum Oxygen Uptake Are More than Twice as Large as the Day-to-Day Variations. Front. Physiol. 2019, 10, 219. [Google Scholar] [CrossRef] [PubMed]
- Lebrun, C.M.; McKenzie, D.C.; Prior, J.C.; Taunton, J.E. Effects of Menstrual Cycle Phase on Athletic Performance. Med. Sci. Sports Exerc. 1995, 27, 437–444. [Google Scholar] [CrossRef] [PubMed]


| Subject | O2CPET | O2CPET | O2verification | O2verification |
|---|---|---|---|---|
| 1 | 45.5 * | 43.1 | 44.1 | 43.9 |
| 2 | 31.0 | 30.5 | 31.9 | 30.6 |
| 3 | 40.6 | 39.5 ‡ | 41.7 † | 36.8 |
| 4 | 40.8 | 40.1 | 41.1 | 41.9 |
| 5 | 35.1 * | 32.8 | 35.4 | 34.0 |
| 6 | 35.6 | 34.0 | 38.0 ‡ | 35.4 |
| 7 | 56.4 | 57.3 | 55.5 | 56.2 |
| 8 | 33.6 | 33.6 | 34.6 | 34.3 |
| 9 | 39.5 | 38.8 | 38.4 | 38.5 |
| Mean | 39.8 | 38.9 | 40.1 | 39.1 |
| SD | 7.6 | 8.1 | 6.9 | 7.6 |
| T1 CPET | T2 CPET | T1 Verification | T2 Verification | |
|---|---|---|---|---|
| TLim (min) * | 11.25 ± 1.27 | 11.43 ± 1.23 | 3.01 ± 0.98 | 3.14 ± 0.88 |
| Power Output (W) * | 203 ± 23 | 203 ± 23 | 183 ± 21 | 183 ± 21 |
| HR (b·min−1) | 182 ± 6 | 180 ± 8 | 181 ± 8 | 180 ± 8 |
| RER * | 1.18 ± 0.05 | 1.20 ± 0.06 | 1.08 ± 0.07 | 1.11 ± 0.05 |
| RPE | 19 ± 1 | 19 ± 1 | 19 ± 1 | 19 ± 1 |
| O2 (Mean ± SD) | Test 1 | Test 2 | p | ICC (95% CI) | SEM (mL·kg−1·min−1) | MD (mL·kg−1·min−1) | CoV (%) |
|---|---|---|---|---|---|---|---|
| O2CPET | 39.8 ± 7.6 | 38.9 ± 8.1 | 0.034 | 0.984 (0.879–0.997) | 0.77 | 2.14 | 1.98 |
| O2verification | 40.1 ± 6.9 | 39.1 ± 7.6 | 0.131 | 0.964 (0.841–0.992) | 1.27 | 3.53 | 3.30 |
Disclaimer/Publisher’s Note: The statements, opinions and data contained in all publications are solely those of the individual author(s) and contributor(s) and not of MDPI and/or the editor(s). MDPI and/or the editor(s) disclaim responsibility for any injury to people or property resulting from any ideas, methods, instructions or products referred to in the content. |
© 2023 by the authors. Licensee MDPI, Basel, Switzerland. This article is an open access article distributed under the terms and conditions of the Creative Commons Attribution (CC BY) license (https://creativecommons.org/licenses/by/4.0/).
Share and Cite
Succi, P.J.; Benitez, B.; Kwak, M.; Bergstrom, H.C.
Analysis of Individual
Succi PJ, Benitez B, Kwak M, Bergstrom HC.
Analysis of Individual
Succi, Pasquale J., Brian Benitez, Minyoung Kwak, and Haley C. Bergstrom.
2023. "Analysis of Individual
Succi, P. J., Benitez, B., Kwak, M., & Bergstrom, H. C.
(2023). Analysis of Individual

