Performance Comparisons of Youth Weightlifters as a Function of Age Group and Sex
Abstract
:1. Introduction
2. Materials and Methods
2.1. Experimental Approach to the Problem
2.2. Subjects
2.3. Standardized Warm-Up
2.4. Countermovement Jump Test
2.5. Statistical Analyses
3. Results
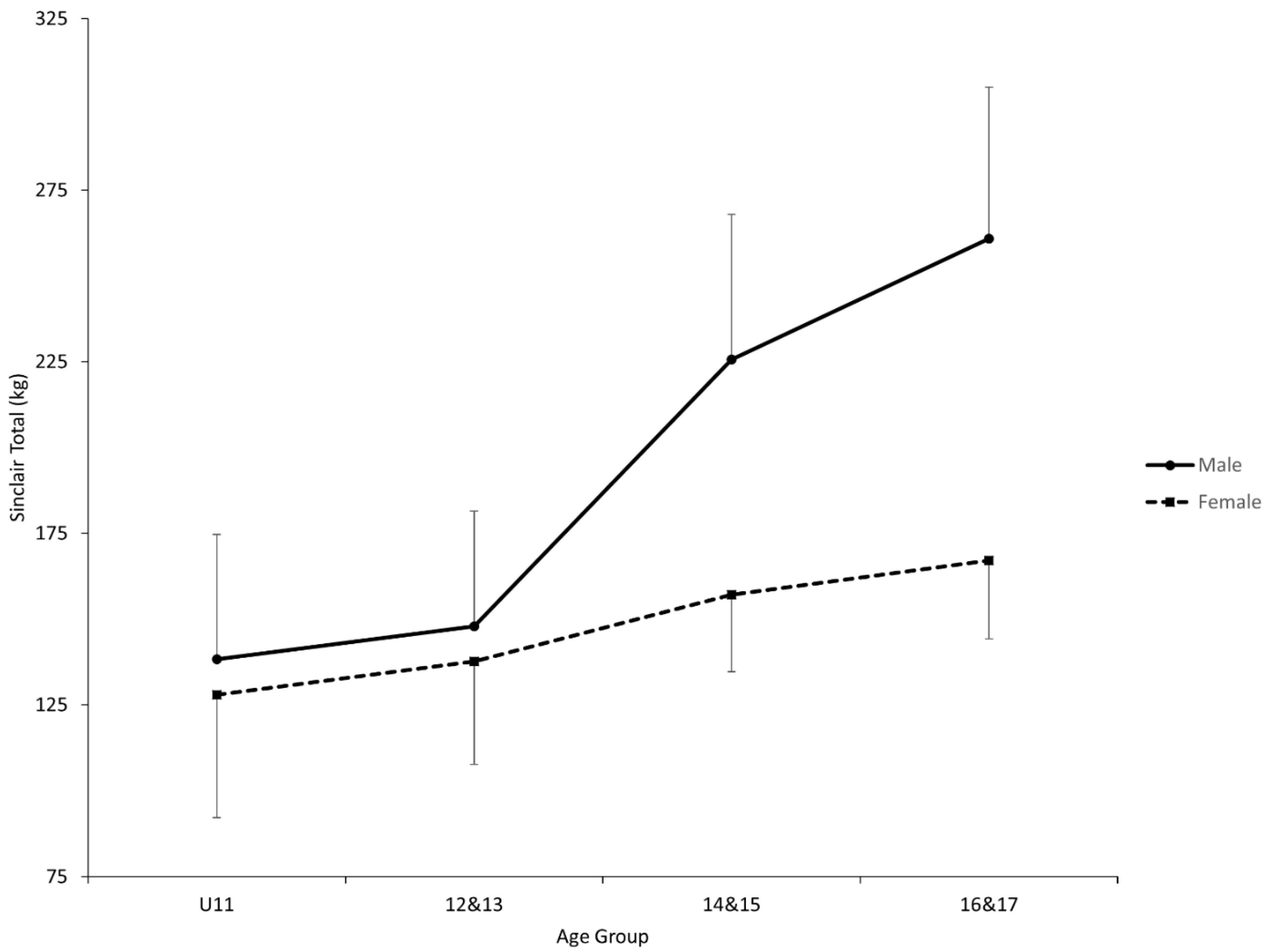
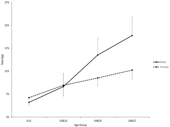
3.1. Development Overview
3.2. Jump Height as a Monitoring Tool
4. Discussion
5. Conclusions
Practical Implications
Author Contributions
Funding
Institutional Review Board Statement
Informed Consent Statement
Data Availability Statement
Conflicts of Interest
References
- Côté, J.; Lidor, R.; Hackfort, D. ISSP position stand: To sample or to specialize? Seven postulates about youth sport activities that lead to continued participation and elite performance. Int. J. Sport Exerc. Psychol. 2009, 7, 7–17. [Google Scholar] [CrossRef]
- Güllich, A. International medallists’ and non-medallists’ developmental sport activities—A matched-pairs analysis. J. Sports Sci. 2017, 35, 2281–2288. [Google Scholar] [CrossRef]
- Coutinho, P.; Mesquita, I.; Fonseca, A.M. Talent development in sport: A critical review of pathways to expert performance. Int. J. Sports Sci. Coach. 2016, 11, 279–293. [Google Scholar] [CrossRef] [Green Version]
- Moesch, K.; Elbe, A.-M.; Hauge, M.-L.T.; Wikman, J.M. Late specialization: The key to success in centimeters, grams, or seconds (cgs) sports. Scand. J. Med. Sci. Sports 2011, 21, e282–e290. [Google Scholar] [CrossRef] [PubMed]
- Byrd, R.; Pierce, K.; Rielly, L.; Brady, J. Young weightlifters’ performance across time. Sports Biomech 2003, 2, 133–140. [Google Scholar] [CrossRef] [PubMed]
- Miller, J.D.; Ventresca, H.C.; Bracken, L.E. Rate of Performance Change in American Female Weightlifters Over Ten Years of Competition. Int. J. Exerc. Sci. 2018, 11, 290–307. [Google Scholar] [PubMed]
- Huebner, M.; Perperoglou, A. Sex differences and impact of body mass on performance from childhood to senior athletes in Olympic weightlifting. PLoS ONE 2020, 15, e0238369. [Google Scholar] [CrossRef] [PubMed]
- Vizcaya, F.J.; Viana, O.; del Olmo, M.F.; Acero, R.M. Could the Deep Squat Jump Predict Weightlifting Performance? J. Strength Cond. Res. 2009, 23, 729–734. [Google Scholar] [CrossRef] [Green Version]
- Carlock, J.M.; Smith, S.L.; Hartman, M.J.; Morris, R.T.; Ciroslan, D.A.; Pierce, K.C.; Newton, R.U.; Harman, E.A.; Sands, W.A.; Stone, M.H. The Relationship between Vertical Jump Power Estimates and Weightlifting Ability: A Field-Test Approach. J. Strength Cond. Res. 2004, 18, 534–539. [Google Scholar] [CrossRef]
- Hackett, D.; Davies, T.; Soomro, N.; Halaki, M. Olympic weightlifting training improves vertical jump height in sportspeople: A systematic review with meta-analysis. Br. J. Sports Med. 2015, 50, 865–872. [Google Scholar] [CrossRef] [PubMed]
- Peterson, M.D.; Alvar, B.A.; Rhea, M.R. The Contribution of Maximal Force Production to Explosive Movement Among Young Collegiate Athletes. J. Strength Cond. Res. 2006, 20, 867–873. [Google Scholar] [CrossRef] [PubMed]
- Stone, M.H.; Sands, W.A.; Pierce, K.C.; Carlock, J.; Cardinale, M.; Newton, R.U. Relationship of maximum strength to weightlifting performance. Med. Sci. Sports Exerc. 2005, 37, 1037–1043. [Google Scholar] [PubMed]
- Suchomel, T.J.; Nimphius, S.; Stone, M.H. The Importance of Muscular Strength in Athletic Performance. Sports Med. 2016, 46, 1419–1449. [Google Scholar] [CrossRef]
- Crewther, B.; Obminski, Z.; Cook, C. The Effect of Steroid Hormones on the Physical Performance of Boys and Girls During an Olympic Weightlifting Competition. Pediatr. Exerc. Sci. 2016, 28, 580–587. [Google Scholar] [CrossRef]
- Handelsman, D.J. Sex differences in athletic performance emerge coinciding with the onset of male puberty. Clin. Endocrinol. 2017, 87, 68–72. [Google Scholar] [CrossRef] [Green Version]
- Bodyweight Correction Formula. Available online: https://www.iwf.net/wp-content/uploads/downloads/2017/01/Sinclair_BW_Correction_Formula_2017.pdf (accessed on 10 July 2018).
- McMahon, J.J.; Jones, P.A.; Comfort, P. A Correction Equation for Jump Height Measured Using the Just Jump System. Int. J. Sports Physiol. Perform. 2016, 11, 555–557. [Google Scholar] [CrossRef] [PubMed] [Green Version]
- Rosopa, P.; Schaffer, M.M.; Schroeder, A.N. Managing heteroscedasticity in general linear models. Psychol. Methods 2013, 18, 335–351. [Google Scholar] [CrossRef] [PubMed]
- Hopkins, W.G. A New View of Statistics: A Scale of Magnitudes for Effect Statistics. Available online: http://www.sportsci.org/resource/stats/effectmag.html (accessed on 1 December 2015).
- Field, A.P.; Wilcox, R.R. Robust statistical methods: A primer for clinical psychology and experimental psychopathology researchers. Behav. Res. Ther. 2017, 98, 19–38. [Google Scholar] [CrossRef] [PubMed]
- Field, A.; Miles, J.; Field, Z. Discovering Statistics Using R; Sage Publications: London, UK, 2012. [Google Scholar]
- Barber-Westin, S.D.; Noyes, F.R.; Galloway, M. Jump-Land Characteristics and Muscle Strength Development in Young Athletes. Am. J. Sports Med. 2006, 34, 375–384. [Google Scholar] [CrossRef]
- Ervin, R.B.; Fryar, C.D.; Wang, C.-Y.; Miller, I.M.; Ogden, C.L. Strength and Body Weight in US Children and Adolescents. Pediatrics 2014, 134, e782–e789. [Google Scholar] [CrossRef] [PubMed] [Green Version]
- Dore, E.; Bedu, M.; Van Praagh, E. Squat jump performance during growth in both sexes: Comparison with cycling power. Res. Q. Exerc. Sport 2008, 79, 517–524. [Google Scholar] [CrossRef] [PubMed]
- Tonnessen, E.; Svendsen, I.S.; Olsen, I.C.; Guttormsen, A.; Haugen, T. Performance development in adolescent track and field athletes according to age, sex and sport discipline. PLoS ONE 2015, 10, e0129014. [Google Scholar] [CrossRef] [PubMed] [Green Version]
- Huebner, M.; Perperoglou, A. Performance Development From Youth to Senior and Age of Peak Performance in Olympic Weightlifting. Front. Physiol. 2019, 10, 1121. [Google Scholar] [CrossRef] [Green Version]
- Crewther, B.; Cronin, J.; Keogh, J.; Cook, C. The salivary testosterone and cortisol response to three loading schemes. J. Strength Cond. Res. 2008, 22, 250–255. [Google Scholar] [CrossRef] [PubMed]
- Cardinale, M.; Stone, M.H. Is testosterone influencing explosive performance? J. Strength Cond. Res. 2006, 20, 103–107. [Google Scholar] [PubMed]
- Crewther, B.T.; Christian, C. Relationships between salivary testosterone and cortisol concentrations and training performance in Olympic weightlifters. J. Sports Med. Phys. Fit. 2010, 50, 371–375. [Google Scholar]
- Kraemer, W.J.; Ratamess, N.A.; Hymer, W.C.; Nindl, B.C.; Fragala, M.S. Growth Hormone(s), Testosterone, Insulin-Like Growth Factors, and Cortisol: Roles and Integration for Cellular Development and Growth With Exercise. Front. Endocrinol. (Lausanne) 2020, 11, 33. [Google Scholar] [CrossRef] [PubMed]
- Rønnestad, B.R.; Nygaard, H.; Raastad, T. Physiological elevation of endogenous hormones results in superior strength training adaptation. Eur. J. Appl. Physiol. 2011, 111, 2249–2259. [Google Scholar] [CrossRef] [PubMed] [Green Version]
- Pena-Gonzalez, I.; Fernandez-Fernandez, J.; Cervello, E.; Moya-Ramon, M. Effect of biological maturation on strength-related adaptations in young soccer players. PLoS ONE 2019, 14, e0219355. [Google Scholar] [CrossRef] [PubMed]
- Gastin, P.B.; Tangalos, C.; Torres, L.; Robertson, S. Match running performance and skill execution improves with age but not the number of disposals in young Australian footballers. J. Sports Sci. 2017, 35, 2397–2404. [Google Scholar] [CrossRef] [PubMed] [Green Version]
- Lloyd, R.S.; Radnor, J.M.; De Ste Croix, M.B.; Cronin, J.B.; Oliver, J.L. Changes in Sprint and Jump Performances After Traditional, Plyometric, and Combined Resistance Training in Male Youth Pre- and Post-Peak Height Velocity. J. Strength Cond. Res. 2016, 30, 1239–1247. [Google Scholar] [CrossRef] [PubMed]
- Meylan, C.M.; Cronin, J.B.; Oliver, J.L.; Hopkins, W.G.; Contreras, B. The effect of maturation on adaptations to strength training and detraining in 11–15-year-olds. Scand. J. Med. Sci. Sports 2014, 24, e156–e164. [Google Scholar] [CrossRef] [PubMed]
- Moran, J.; Parry, D.A.; Lewis, I.; Collison, J.; Rumpf, M.C.; Sandercock, G.R.H. Maturation-related adaptations in running speed in response to sprint training in youth soccer players. J. Sci. Med. Sport 2018, 21, 538–542. [Google Scholar] [CrossRef] [PubMed] [Green Version]
- Asadi, A.; Ramirez-Campillo, R.; Arazi, H.; Saez de Villarreal, E. The effects of maturation on jumping ability and sprint adaptations to plyometric training in youth soccer players. J. Sports Sci. 2018, 36, 2405–2411. [Google Scholar] [CrossRef] [PubMed]
- Vandendriessche, J.B.; Vaeyens, R.; Vandorpe, B.; Lenoir, M.; Lefevre, J.; Philippaerts, R.M. Biological maturation, morphology, fitness, and motor coordination as part of a selection strategy in the search for international youth soccer players (age 15–16 years). J. Sports Sci. 2012, 30, 1695–1703. [Google Scholar] [CrossRef] [PubMed]
- Figueiredo, A.J.; Goncalves, C.E.; Coelho, E.S.M.J.; Malina, R.M. Youth soccer players, 11–14 years: Maturity, size, function, skill and goal orientation. Ann. Hum. Biol. 2009, 36, 60–73. [Google Scholar] [CrossRef] [PubMed] [Green Version]
- Leyhr, D.; Kelava, A.; Raabe, J.; Honer, O. Longitudinal motor performance development in early adolescence and its relationship to adult success: An 8-year prospective study of highly talented soccer players. PLoS ONE 2018, 13, e0196324. [Google Scholar] [CrossRef] [Green Version]
- Handelsman, D.J.; Hirschberg, A.L.; Bermon, S. Circulating Testosterone as the Hormonal Basis of Sex Differences in Athletic Performance. Endocr. Rev. 2018, 39, 803–829. [Google Scholar] [CrossRef] [PubMed] [Green Version]
- Hori, N.; Newton, R.U.; Andrews, W.A.; Kawamori, N.; McGuigan, M.R.; Nosaka, K. Does performance of hang power clean differentiate performance of jumping, sprinting, and changing of direction? J. Strength Cond. Res. 2008, 22, 412–418. [Google Scholar] [CrossRef] [Green Version]
- Nuzzo, J.L.; McBride, J.M.; Cormie, P.; McCaulley, G.O. Relationship between countermovement jump performance and multijoint isometric and dynamic tests of strength. J. Strength Cond. Res. 2008, 22, 699–707. [Google Scholar] [CrossRef] [PubMed]
- Comfort, P.; Stewart, A.; Bloom, L.; Clarkson, B. Relationships between strength, sprint, and jump performance in well-trained youth soccer players. J. Strength Cond. Res. 2014, 28, 173–177. [Google Scholar] [CrossRef] [PubMed]
- Beckham, G.; Mizuguchi, S.; Carter, C.; Sato, K.; Ramsey, M.; Lamont, H.; Hornsby, G.; Haff, G.; Stone, M. Relationships of isometric mid-thigh pull variables to weightlifting performance. J. Sports Med. Phys. Fit. 2013, 53, 573–581. [Google Scholar]


| Sex | Age Group | Age | Placement | Total (kg) | Sinclair (kg) | BM (kg) | CMJH (cm) | Pre CMJH (cm) |
|---|---|---|---|---|---|---|---|---|
| Female (n = 65) | 11 and under | 9 (n = 1) | 12.0 | 65.0 | 118.3 | 40.76 | 33.27 | 22.44 |
| (n = 13) | 10 (n = 5) | 7.4 ± 4.3 | 59.2 ± 14.7 | 126.1 ± 38.9 | 29.74 ± 20.35 | 32.92 ± 5.12 | 22.13 ± 4.48 | |
| 11 (n = 7) | 8.3 ± 5.9 | 73.1 ± 17.4 | 130.5 ± 38.8 | 41.01 ± 25.52 | 35.45 ± 7.17 | 24.35 ± 6.27 | ||
| 12–13 | 12 (n = 1) | 5.0 | 75.0 | 129.8 | 43.17 | 38.86 | 27.33 | |
| (n = 12) | 13 (n = 11) | 5.6 ± 5.3 | 95.8 ± 23.5 | 138.3 ± 31.3 | 56.91 ± 13.80 | 38.01 ± 5.58 | 26.59 ± 4.88 | |
| 14–15 | 14 (n = 8) | 9.0 ± 6.1 | 107.8 ± 22.6 | 153.9 ± 27.7 | 36.64 ± 34.40 | 38.96 ± 5.14 | 27.42 ± 4.50 | |
| (n = 17) | 15 (n = 9) | 9.9 ± 6.3 | 112.1 ± 13.1 | 159.8 ± 17.7 | 48.86 ± 19.15 | 40.41 ± 4.53 | 28.69 ± 3.96 | |
| 16–17 | 16 (n = 10) | 6.9 ± 4.5 | 128.6 ± 27.5 | 173.6 ± 26.1 | 55.32 ± 21.65 | 42.06 ± 5.81 | 30.13 ± 5.09 | |
| (n = 23) | 17 (n = 13) | 10.1 ± 5.6 | 126.2 ± 15.2 | 162.0 ± 19.6 | 49.66 ± 30.46 | 42.83 ± 6.02 | 30.80 ± 5.26 | |
| Male (n = 65) | 11 and under | 9 (n = 0) | N/A | N/A | N/A | N/A | N/A | N/A |
| (n = 6) | 10 (n = 2) | 10.0 ± 7.1 | 59.5 ± 7.8 | 153.9 ± 5.1 | 32.03 ± 4.71 | 34.04 ± 7.18 | 23.11 ± 6.28 | |
| 11 (n = 4) | 10.3 ± 9.1 | 55.8 ± 12.7 | 130.3 ± 44.3 | 36.80 ± 6.59 | 36.45 ± 7.51 | 25.22 ± 6.57 | ||
| 12–13 | 12 (n = 9) | 9.8 ± 4.6 | 73.3 ± 20.7 | 146.2 ± 40.1 | 42.26 ± 9.73 | 37.62 ± 7.02 | 26.25 ± 6.14 | |
| (n = 25) | 13 (n = 16) | 5.6 ± 3.3 | 101.1 ± 29.0 | 148.8 ± 30.7 | 66.15 ± 25.36 | 38.39 ± 9.56 | 26.92 ± 8.36 | |
| 14–15 | 14 (n = 8) | 5.6 ± 3.3 | 141.3 ± 26.5 | 217.1 ± 45.8 | 61.49 ± 23.18 | 46.64 ± 8.89 | 34.14 ± 7.77 | |
| (n = 16) | 15 (n = 8) | 4.5 ± 3.9 | 179.1 ± 35.5 | 234.1 ± 39.6 | 73.72 ± 18.95 | 53.82 ± 10.83 | 40.41 ± 9.47 | |
| 16–17 | 16 (n = 3) | 9.0 ± 3.6 | 141.0 ± 16.6 | 214.2 ± 23.2 | 56.65 ± 2.94 | 65.28 ± 1.32 | 50.44 ± 1.15 | |
| (n = 18) | 17 (n = 15) | 7.3 ± 4.6 | 215.1 ± 31.8 | 270.2 ± 41.5 | 79.41 ± 17.66 | 58.10 ± 7.85 | 44.16 ± 6.86 |
| Sex | Comparison | Total | Sinclair Total | ||||||
|---|---|---|---|---|---|---|---|---|---|
| Mean Diff (kg) | 95% CI | Mean Diff (kg) | 95% CI | ||||||
| Female | U11 vs. 12–13 | −26.9 | −43.2 | to | −10.7 | −9.7 | −36.0 | to | 16.6 |
| 12–13 vs. 14–15 | −16.0 | −31.9 | to | −0.1 | −19.5 | −39.9 | to | 1.0 | |
| 14–15 vs. 16–17 | −17.2 | −29.3 | to | −5.2 | −10.0 | −24.3 | to | 4.2 | |
| Male | U11 vs. 12–13 | −34.1 | −49.4 | to | −18.9 | −9.7 | −46.6 | to | 27.2 |
| 12–13 vs. 14–15 | −69.1 | −90.3 | to | −47.8 | −77.8 | −102.5 | to | −53.0 | |
| 14–15 vs. 16–17 | −42.5 | −68.6 | to | −16.5 | −35.2 | −64.6 | to | −5.9 | |
| Female | Male | |||||||||
|---|---|---|---|---|---|---|---|---|---|---|
| Total | U11 | 12–13 | 14–15 | 16–17 | U11 | 12–13 | 14–15 | 16–17 | ||
| Female | U11 | |||||||||
| 12–13 | 1.31 | |||||||||
| 14–15 | 0.75 | |||||||||
| 16–17 | 0.90 | |||||||||
| Male | U11 | 0.73 | ||||||||
| 12–13 | 0.12 | 2.01 | ||||||||
| 14–15 | 1.75 | 2.06 | ||||||||
| 16–17 | 2.25 | 1.11 | ||||||||
| Sinclair total | Female | U11 | ||||||||
| 12–13 | 0.29 | |||||||||
| 14–15 | 0.71 | |||||||||
| 16–17 | 0.44 | |||||||||
| Male | U11 | 0.25 | ||||||||
| 12–13 | 0.33 | 0.24 | ||||||||
| 14–15 | 2.01 | 1.99 | ||||||||
| 16–17 | 2.29 | 0.82 | ||||||||
| Intercept * | CMJH * | CMJH × Age | CMJH × Sex | CMJH × Age × Sex * | ||||||||||
|---|---|---|---|---|---|---|---|---|---|---|---|---|---|---|
| Coef | Bias | 95% CI (LL:UL) | Coef | Bias | 95% CI (LL:UL) | Coef | Bias | 95% CI (LL:UL) | Coef | Bias | 95% CI (LL:UL) | Coef | Bias | 95% CI (LL:UL) |
| 675.9 | −509.2 | 160.6:172.9 | 4.8 | −2.0 | 1.8:4.0 | 0.1 | −0.5 | −0.8:0.1 | −0.4 | 1.5 | −0.3:2.4 | −0.4 | 1.3 | 0.3:1.5 |
Publisher’s Note: MDPI stays neutral with regard to jurisdictional claims in published maps and institutional affiliations. |
© 2021 by the authors. Licensee MDPI, Basel, Switzerland. This article is an open access article distributed under the terms and conditions of the Creative Commons Attribution (CC BY) license (https://creativecommons.org/licenses/by/4.0/).
Share and Cite
Mizuguchi, S.; Cunanan, A.J.; Suarez, D.G.; Cedar, W.E.; South, M.A.; Gahreman, D.; Hornsby, W.G.; Stone, M.H. Performance Comparisons of Youth Weightlifters as a Function of Age Group and Sex. J. Funct. Morphol. Kinesiol. 2021, 6, 57. https://doi.org/10.3390/jfmk6030057
Mizuguchi S, Cunanan AJ, Suarez DG, Cedar WE, South MA, Gahreman D, Hornsby WG, Stone MH. Performance Comparisons of Youth Weightlifters as a Function of Age Group and Sex. Journal of Functional Morphology and Kinesiology. 2021; 6(3):57. https://doi.org/10.3390/jfmk6030057
Chicago/Turabian StyleMizuguchi, Satoshi, Aaron J. Cunanan, Dylan G. Suarez, William E. Cedar, Mark A. South, Daniel Gahreman, William G. Hornsby, and Michael H. Stone. 2021. "Performance Comparisons of Youth Weightlifters as a Function of Age Group and Sex" Journal of Functional Morphology and Kinesiology 6, no. 3: 57. https://doi.org/10.3390/jfmk6030057
APA StyleMizuguchi, S., Cunanan, A. J., Suarez, D. G., Cedar, W. E., South, M. A., Gahreman, D., Hornsby, W. G., & Stone, M. H. (2021). Performance Comparisons of Youth Weightlifters as a Function of Age Group and Sex. Journal of Functional Morphology and Kinesiology, 6(3), 57. https://doi.org/10.3390/jfmk6030057

