Evaluating the Effect of the Schroth Method on Sensorimotor Control in Adolescents with Idiopathic Scoliosis: A Controlled Clinical Trial
Abstract
1. Introduction
2. Materials and Methods
2.1. Study Design and Sample
2.2. Equipment, Materials and Outcome Measures
2.3. Procedure
2.4. Statistical Analysis
3. Results
3.1. Baseline Characteristics and Compliance
3.2. Quality of Life and Brace-Related Stress
3.3. Static and Dynamic Balance Outcomes
3.4. Proprioception Outcomes
4. Discussion
4.1. Clinical Implications
4.2. Limitations
4.3. Future Research
5. Conclusions
Author Contributions
Funding
Institutional Review Board Statement
Informed Consent Statement
Data Availability Statement
Conflicts of Interest
Abbreviations
| AIS | Adolescent Idiopathic Scoliosis. |
| ATR | Angle of Trunk Rotation |
| PSSE | Physiotherapeutic Scoliosis-Specific Exercise. |
| PNF | Proprioceptive Neuromuscular Facilitation. |
| IS | Idiopathic Scoliosis. |
| OSI | Overall Stability Index. |
| APSI | Anterior–Posterior Stability Index. |
| MLSI | Medial–Lateral Stability Index. |
| ANOVA | Analysis of Variance. |
| ICC | Intraclass Correlation Coefficient. |
| TW3 | Tanner-Whitehouse 3. |
| GR-BSSQ | Greek version of the Bad Sobernheim Stress Questionnaire. |
| CI | Confidence Interval |
| SEM | Standard Error of Measurement. |
| SDD | Smallest Detectable Difference. |
| COG | Center of Gravity. |
| JPS | Joint Position Sense. |
| CAD/CAM | Computer-Aided Design and Computer-Aided Manufacturing. |
| SD | Standard Deviation. |
| SEAS | Scientific Exercises Approach to Scoliosis. |
| QOL | Quality of Life. |
Appendix A




| Group | Outcome Measure | Aperture | Initial Measurement | Final Measurement | Mean Difference | 95% CI of the Difference Lower Upper | p | |
|---|---|---|---|---|---|---|---|---|
| Schroth | Error (cm) | 1 | 1.83 (1) | 1.14 (0.73) | 0.68 | 0.31 | 1.04 | 0.001 |
| 2 | 2.82 (0.92) | 1.74 (0.85) | 1.07 | 0.43 | 1.71 | 0.002 | ||
| 3 | 3.45 (2.23) | 2.57 (1.37) | 0.51 | 0.01 | 1.01 | 0.046 | ||
| 4 | 1.52 (1.04) | 0.88 (0.44) | 0.63 | 0.33 | 0.93 | 0.000 | ||
| 5 | 2.84 (2.14) | 2.32 (1.17) | 0.51 | −0.10 | 1.14 | 0.002 | ||
| 6 | 1.96 (1.22) | 1.43 (0.85) | 0.53 | 0.14 | 0.91 | 0.008 | ||
| 7 | 2.35 (1.61) | 1.82 (0.90) | 0.53 | 0.05 | 1 | 0.028 | ||
| 8 | 2.91 (1.96) | 2.66 (1.39) | 0.24 | −0.10 | 0.6 | 0.167 | ||
| Control | Error (cm) | 1 | 1.37 (0.93) | 1.65 (1.87) | −0.28 | −0.81 | 0.25 | 0.293 |
| 2 | 2.4 (1.69) | 2.15 (1.64) | −0.35 | −0.63 | 0.56 | 0.904 | ||
| 3 | 3.06 (1.78) | 3.07 (1.32) | −0.1 | −0.57 | 0.55 | 0.971 | ||
| 4 | 1.30 (0.83) | 1.87 (1.64) | −0.58 | −1.22 | 0.09 | 0.093 | ||
| 5 | 2.66 (1.88) | 3.04 (1.55) | −0.38 | −0.89 | 0.13 | 0.145 | ||
| 6 | 1.62 (1.03) | 1.98 (1.59) | −0.35 | −0.8 | 0.09 | 0.115 | ||
| 7 | 2.08 (1.5) | 2.17 (1.77) | −0.85 | −0.4 | 0.23 | 0.585 | ||
| 8 | 2.39 (1.71) | 2.73 (1.74) | −0.34 | −0.82 | 0.13 | 0.153 | ||
| Outcome Measure/Aperture | Factor | F (1,58) | Partial Eta2 | p |
|---|---|---|---|---|
| Error (cm)/1 | Time Effects | 1.61 | 0.027 | 0.208 |
| Group × Time Effects | 9.22 | 0.137 | 0.004 | |
| Group Effects | 0.01 | 0.000 | 0.910 | |
| Error (cm)/2 | Time Effects | 5.88 | 0.092 | 0.018 |
| Group × Time Effects | 6.71 | 0.104 | 0.012 | |
| Group Effects | 0.18 | 0.003 | 0.667 | |
| Error (cm)/3 | Time Effects | 1.86 | 0.031 | 0.178 |
| Group × Time Effects | 2.01 | 0.034 | 0.161 | |
| Group Effects | 0.17 | 0.003 | 0.675 | |
| Error (cm)/4 | Time Effects | 0.04 | 0.001 | 0.831 |
| Group × Time Effects | 11.41 | 0.164 | 0.001 | |
| Group Effects | 3.19 | 0.052 | 0.079 | |
| Error (cm)/5 | Time Effects | 0.11 | 0.002 | 0.732 |
| Group × Time Effects | 5.08 | 0.081 | 0.028 | |
| Group Effects | 0.44 | 0.008 | 0.507 | |
| Error (cm)/6 | Time Effects | 0.36 | 0.006 | 0.547 |
| Group × Time Effects | 9.48 | 0.141 | 0.003 | |
| Group Effects | 0.14 | 0.002 | 0.706 | |
| Error (cm)/7 | Time Effects | 2.57 | 0.042 | 0.114 |
| Group × Time Effects | 4.93 | 0.078 | 0.030 | |
| Group Effects | 0.01 | 0.000 | 0.914 | |
| Error (cm)/8 | Time Effects | 0.1 | 0.002 | 0.743 |
| Group × Time Effects | 4.1 | 0.066 | 0.047 | |
| Group Effects | 0.29 | 0.005 | 0.592 |
| Group | Outcome Measure | Aperture | Initial | Group | Outcome Measure | 95% CI of the Difference Lower Upper | p | |
|---|---|---|---|---|---|---|---|---|
| Schroth | Error (cm) | 1 | 1.69 (1.24) | 1.06 (0.64) | 0.62 | 0.2 | 1.04 | 0.005 |
| 2 | 2.23 (1.16) | 1.8 (0.89) | 0.43 | −0.1 | 0.87 | 0.055 | ||
| 3 | 1.78 (1.14) | 1.37 (0.65) | 0.41 | −0.7 | 0.9 | 0.094 | ||
| 4 | 1.6 (0.88) | 1.01 (0.54) | 0.59 | 0.2 | 0.98 | 0.004 | ||
| 5 | 2.68 (1.36) | 2.3 (1.33) | 0.37 | −0.3 | 1.05 | 0.271 | ||
| 6 | 1.93 (1.14) | 1.51 (0.84) | 0.42 | 0.05 | 0.79 | 0.026 | ||
| 7 | 2.88 (1.87) | 2.20 (0.8) | 0.68 | 0.11 | 1.24 | 0.20 | ||
| 8 | 2.55 (1.66) | 2 (0.91) | 0.55 | 0.16 | 0.94 | 0.007 | ||
| Control | Error (cm) | 1 | 1.50 (1.39) | 1.43 (0.68) | 0.07 | −0.34 | 0.48 | 0.730 |
| 2 | 1.50 (1.05) | 1.68 (1.15) | −0.177 | −0.52 | 0.16 | 0.301 | ||
| 3 | 1.37 (0.70) | 1.34 (0.46) | 0.32 | −0.17 | 0.23 | 0.749 | ||
| 4 | 1.34 (0.9) | 1.30 (0.91) | 0.38 | −0.32 | 0.39 | 0.827 | ||
| 5 | 1.89 (1.22) | 2.13 (0.75) | −0.23 | −0.57 | 0.09 | 0.161 | ||
| 6 | 1.26 (0.76) | 1.43 (0.92) | −0.17 | −0.52 | 0.18 | 0.331 | ||
| 7 | 1.83 (1.09) | 1.75 (0.97) | 0.07 | −0.36 | 0.52 | 0.719 | ||
| 8 | 1.51 (1.1) | 2.08 (0.81) | −0.57 | −0.93 | −0.2 | 0.003 | ||
| Outcome Measure/Aperture | Factor | F (1,58) | Partial Eta2 | p |
|---|---|---|---|---|
| Error (cm)/1 | Time Effects | 5.84 | 0.092 | 0.019 |
| Group × Time Effects | 3.73 | 0.060 | 0.058 | |
| Group Effects | 0.15 | 0.003 | 0.693 | |
| Error (cm)/2 | Time Effects | 0.87 | 0.015 | 0.355 |
| Group × Time Effects | 4.94 | 0.079 | 0.030 | |
| Group Effects | 3.19 | 0.052 | 0.079 | |
| Error (cm)/3 | Time Effects | 2.95 | 0.049 | 0.041 |
| Group × Time Effects | 2.16 | 0.036 | 0.147 | |
| Group Effects | 2.03 | 0.034 | 0.159 | |
| Error (cm)/4 | Time Effects | 5.96 | 0.093 | 0.018 |
| Group × Time Effects | 4.59 | 0.073 | 0.036 | |
| Group Effects | 0.01 | 0.000 | 0.911 | |
| Error (cm)/5 | Time Effects | 0.13 | 0.002 | 0.713 |
| Group × Time Effects | 2.69 | 0.044 | 0.106 | |
| Group Effects | 3.74 | 0.061 | 0.058 | |
| Error (cm)/6 | Time Effects | 1 | 0.017 | 0.319 |
| Group × Time Effects | 5.64 | 0.089 | 0.021 | |
| Group Effects | 0.07 | 0.055 | 0.072 | |
| Error (cm)/7 | Time Effects | 4.69 | 0.075 | 0.034 |
| Group × Time Effects | 2.95 | 0.048 | 0.091 | |
| Group Effects | 7.48 | 0.114 | 0.008 | |
| Error (cm)/8 | Time Effects | 0.00 | 0.000 | 0.943 |
| Group × Time Effects | 18.50 | 0.242 | 0.000 | |
| Group Effects | 3.13 | 0.051 | 0.082 |
References
- Weinstein, S.L.; Dolan, L.A.; Cheng, J.C.; Danielsson, A.; Morcuende, J.A. Adolescent Idiopathic Scoliosis. Lancet 2008, 371, 1527–1537. [Google Scholar] [CrossRef] [PubMed]
- Burwell, R.G.; Dangerfield, P.H.; Moulton, A.; Anderson, S.I. Etiologic Theories of Idiopathic Scoliosis: Autonomic Nervous System and the Leptin-Sympathetic Nervous System Concept for the Pathogenesis of Adolescent Idiopathic Scoliosis. Stud. Health Technol. Inform. 2008, 140, 197–207. [Google Scholar] [PubMed]
- Negrini, S.; Aulisa, A.G.; Aulisa, L.; Circo, A.B.; de Mauroy, J.C.; Durmala, J.; Grivas, T.B.; Knott, P.; Kotwicki, T.; Maruyama, T.; et al. 2011 SOSORT Guidelines: Orthopaedic and Rehabilitation Treatment of Idiopathic Scoliosis during Growth. Scoliosis 2012, 7, 3. [Google Scholar] [CrossRef] [PubMed]
- Cheng, J.C.; Castelein, R.M.; Chu, W.C.; Danielsson, A.J.; Dobbs, M.B.; Grivas, T.B.; Gurnett, C.A.; Luk, K.D.; Moreau, A.; Newton, P.O.; et al. Adolescent Idiopathic Scoliosis. Nat. Rev. Dis. Primers 2015, 1, 15030, Correction in Nat. Rev. Dis. Primers 2015, 1, 15068. https://doi.org/10.1038/nrdp.2015.68. [Google Scholar] [CrossRef]
- Raggio, C.L.; Giampietro, P.F.; Dobrin, S.E.; Zhao, C.; Dorshorst, D.; Ghebranious, N.; Weber, J.L.; Blank, R.D. A Novel Locus for Adolescent Idiopathic Scoliosis on Chromosome 12p. J. Orthop. Res. 2009, 27, 1366–1372. [Google Scholar] [CrossRef] [PubMed]
- Asher, M.A.; Burton, D.C. Adolescent Idiopathic Scoliosis: Natural History and Long Term Treatment Effects. Scoliosis 2006, 1, 2. [Google Scholar] [CrossRef]
- Notarnicola, A.; Farì, G.; Maccagnano, G.; Riondino, A.; Covelli, I.; Bianchi, F.P.; Tafuri, S.; Piazzolla, A.; Moretti, B. Teenagers’ Perceptions of Their Scoliotic Curves. An Observational Study of Comparison Between Sports People and Non-Sports People. Muscle Ligaments Tendons J. 2019, 9, 225–235. [Google Scholar] [CrossRef]
- Liu, Y.; Chen, N.; Chen, C.; Mo, X.; Du, Q. Joint Proprioception of Adolescent Idiopathic Scoliosis: A Mini Review. Biomed. J. Sci. Tech. Res. 2019, 15, 11601–11603. [Google Scholar] [CrossRef][Green Version]
- Guyot, M.-A.; Agnani, O.; Peyrodie, L.; Samantha, D.; Donze, C.; Catanzariti, J.-F. Cervicocephalic Relocation Test to Evaluate Cervical Proprioception in Adolescent Idiopathic Scoliosis. Eur. Spine J. Off. Publ. Eur. Spine Soc. Eur. Spinal Deform. Soc. Eur. Sect. Cerv. Spine Res. Soc. 2016, 25, 3130–3136. [Google Scholar] [CrossRef]
- Cook, S.D.; Harding, A.F.; Burke, S.W.; Whitecloud, T.S.; Barrack, R.L.; Leinhardt, T.M. Upper Extremity Proprioception in Idiopathic Scoliosis. Clin. Orthop. Relat. Res. 1986, 213, 118–124. [Google Scholar] [CrossRef]
- Keessen, W.; Crowe, A.; Hearn, M. Proprioceptive Accuracy in Idiopathic Scoliosis. Spine 1992, 17, 149–155. [Google Scholar] [CrossRef]
- Le Berre, M.; Guyot, M.-A.; Agnani, O.; Bourdeauducq, I.; Versyp, M.-C.; Donze, C.; Thévenon, A.; Catanzariti, J.-F. Clinical Balance Tests, Proprioceptive System and Adolescent Idiopathic Scoliosis. Eur. Spine J. 2016, 26, 1638–1644. [Google Scholar] [CrossRef] [PubMed]
- Larni, Y.; Mohsenifar, H.; Ghandhari, H.; Salehi, R. Investigation of Static Balance Differences Between Adolescents with Idiopathic Scoliosis and Healthy Age-Matched Adolescents: A Cross-Sectional Study. J. Iran. Med. Counc. 2023, 6, 476–483. [Google Scholar] [CrossRef]
- Stergiou, C. The Schroth Method of Physical Therapy for the Treatment of Idiopathic Scoliosis. J. Res. Pract. Musculoskelet. Syst. 2018, 2, 95–97. [Google Scholar] [CrossRef]
- Ceballos-Laita, L.; Carrasco-Uribarren, A.; Cabanillas-Barea, S.; Pérez-Guillén, S.; Pardos-Aguilella, P.; Jiménez Del Barrio, S. The Effectiveness of Schroth Method in Cobb Angle, Quality of Life and Trunk Rotation Angle in Adolescent Idiopathic Scoliosis: A Systematic Review and Meta-Analysis. Eur. J. Phys. Rehabil. Med. 2023, 59, 228–236. [Google Scholar] [CrossRef] [PubMed]
- Baumann, A.N.; Trager, R.J.; Anaspure, O.S.; Floccari, L.; Li, Y.; Baldwin, K.D. The Schroth Method for Pediatric Scoliosis. JBJS Rev. 2024, 12, e24.00096. [Google Scholar] [CrossRef] [PubMed]
- Chen, C.; Xu, J.; Li, H. Effects of Schroth 3D Exercise on Adolescent Idiopathic Scoliosis: A Systematic Review and Meta-Analysis. Children 2024, 11, 806. [Google Scholar] [CrossRef]
- Dimitrijević, V.; Šćepanović, T.; Jevtić, N.; Rašković, B.; Milankov, V.; Milosević, Z.; Ninković, S.S.; Chockalingam, N.; Obradović, B.; Drid, P. Application of the Schroth Method in the Treatment of Idiopathic Scoliosis: A Systematic Review and Meta-Analysis. Int. J. Environ. Res. Public Health 2022, 19, 16730. [Google Scholar] [CrossRef]
- Bettany-Saltikov, J.; Parent, E.; Romano, M.; Villagrasa, M.; Negrini, S. Physiotherapeutic Scoliosis-Specific Exercises for Adolescents with Idiopathic Scoliosis. Eur. J. Phys. Rehabil. Med. 2014, 50, 111–121. [Google Scholar] [PubMed]
- Campoli, F.; Parisi, M.C.; Zoffoli, A.; Corrado, D.D.; Francavilla, V.; Padua, E.; Messina, G. New Horizons for Adolescent Idiopathic Scoliosis Treatment through PosturalSpine® D’Amanti Method. Eur. J. Transl. Myol. 2025, 35, 13313. [Google Scholar] [CrossRef]
- Akyurek, E.; Zengin Alpozgen, A.; Akgul, T. The Preliminary Results of Physiotherapy Scoliosis-Specific Exercises on Spine Joint Position Sense in Adolescent Idiopathic Scoliosis: A Randomized Controlled Trial. Prosthet. Orthot. Int. 2022, 46, 510–517. [Google Scholar] [CrossRef] [PubMed]
- Bayraktar, B.A.; Elvan, A.; Selmani, M.; Çakiroğlu, A.; Satoğlu, I.S.; Akçali, Ö.; Angin, S.; Şimşek, I.E. Effects of Schroth Exercises Combined with Orthotic Treatment on Balance Control in Adolescent Idiopathic Scoliosis. J. Exerc. Ther. Rehabil. 2018, 5, 125–134. [Google Scholar]
- Abdel-Aziem, A.A.; Abdelraouf, O.R.; Ghally, S.A.; Dahlawi, H.A.; Radwan, R.E. A 10-Week Program of Combined Hippotherapy and Scroth’s Exercises Improves Balance and Postural Asymmetries in Adolescence Idiopathic Scoliosis: A Randomized Controlled Study. Children 2021, 9, 23. [Google Scholar] [CrossRef]
- Kim, G.; HwangBo, P. Effects of Schroth and Pilates Exercises on the Cobb Angle and Weight Distribution of Patients with Scoliosis. J. Phys. Ther. Sci. 2016, 28, 1012–1015. [Google Scholar] [CrossRef] [PubMed]
- Mohamed, R.A.; Yousef, A.M. Impact of Schroth Three-Dimensional vs. Proprioceptive Neuromuscular Facilitation Techniques in Adolescent Idiopathic Scoliosis: A Randomized Controlled Study. Eur. Rev. Med. Pharmacol. Sci. 2021, 25, 7717–7725. [Google Scholar] [CrossRef]
- Radwan, N.L.; Ibrahim, M.M.; Mahmoud, W.S. Comparison of Two Periods of Schroth Exercises for Improving Postural Stability Indices and Cobb Angle in Adolescent Idiopathic Scoliosis. J. Back Musculoskelet. Rehabil. 2022, 35, 573–582. [Google Scholar] [CrossRef]
- Aktan, D.; Erdoganoglu, Y. Effect of Short-Term 3-Dimensional Schroth Exercises in Adolescent Idiopathic Scoliosis: An Observational Study. J. Manip. Physiol. Ther. 2021, 44, 612–620. [Google Scholar] [CrossRef]
- Kokorelias, K.M.; Gignac, M.A.M.; Naglie, G.; Cameron, J.I. Towards a Universal Model of Family Centered Care: A Scoping Review. BMC Health Serv. Res. 2019, 19, 564. [Google Scholar] [CrossRef]
- Faul, F.; Erdfelder, E.; Lang, A.-G.; Buchner, A. G*Power 3: A Flexible Statistical Power Analysis Program for the Social, Behavioral, and Biomedical Sciences. Behav. Res. Methods 2007, 39, 175–191. [Google Scholar] [CrossRef]
- Kastrinis, A.; Skaftourou, E.; Dadakaridou, D.; Nomikou, E.; Paras, G.; Dimitriadis, Z. Reliability and Validity of Visual Observation When Classifying Spinal Deformities in Adolescents with Idiopathic Scoliosis Based on the Schroth Classification: A Retrospective Cross-Sectional Study. Int. J. Ther. Rehabil. 2025, 32, 1–10. [Google Scholar] [CrossRef]
- Suwannarat, P.; Wattanapan, P.; Wiyanad, A.; Chokphukiao, P.; Wilaichit, S.; Amatachaya, S. Reliability of Novice Physiotherapists for Measuring Cobb Angle Using a Digital Method. Hong Kong Physiother. J. 2017, 37, 34–38. [Google Scholar] [CrossRef] [PubMed]
- Modi, H.N.; Modi, C.H.; Suh, S.; Yang, J.-H.; Hong, J.-Y. Correlation and Comparison of Risser Sign Versus Bone Age Determination (TW3) Between Children with and Without Scoliosis in Korean Population. J. Orthop. Surg. Res. 2009, 4, 36. [Google Scholar] [CrossRef]
- Botens-Helmus, C.; Klein, R.; Stephan, C. The Reliability of the Bad Sobernheim Stress Questionnaire (BSSQbrace) in Adolescents with Scoliosis During Brace Treatment. Scoliosis 2006, 1, 22. [Google Scholar] [CrossRef]
- Kastrinis, A.; Koumantakis, G.A.; Tsekoura, M.; Nomikou, E.; Katsoulaki, M.; Takousi, M.; Strimpakos, N.; Dimitriadis, Z. Greek Adaptation and Validation of the Bad Sobernheim Stress Questionnaire-Brace and the Bad Sobernheim Stress Questionnaire-Deformity. Adv. Exp. Med. Biol. 2023, 1425, 141–149. [Google Scholar] [CrossRef]
- Bonanni, M.; Newton, R.A. Test–Retest Reliability of the Fukuda Stepping Test. Physiother. Res. Int. 1998, 3, 58–68. [Google Scholar] [CrossRef]
- Kastrinis, A.; Strimpakos, N.; Koumantakis, G.A.; Tzatzaliaris, D.; Oikonomaki, M.; Theodosopoulos, E.; Skaftourou, E.; Tsekoura, M.; Kanellopoulos, A.K.; Nomikou, E.; et al. Reliability of Sensorimotor Control Tests in Individuals with Adolescent Idiopathic Scoliosis. Muscles 2024, 3, 376–392. [Google Scholar] [CrossRef]
- Barozzi, S.; Socci, M.; Soi, D.; Di Berardino, F.; Fabio, G.; Forti, S.; Gasbarre, A.M.; Brambilla, D.; Cesarani, A. Reliability of Postural Control Measures in Children and Young Adolescents. Eur. Arch. Oto-Rhino-Laryngol. 2014, 271, 2069–2077. [Google Scholar] [CrossRef] [PubMed]
- Reddy, R.S.; Alahmari, K.A.; Samuel, P.S.; Tedla, J.S.; Kakaraparthi, V.N.; Rengaramanujam, K. Intra-Rater and Inter-Rater Reliability of Neutral and Target Lumbar Positioning Tests in Subjects with and Without Non-Specific Lower Back Pain. J. Back Musculoskelet. Rehabil. 2020, 34, 289–299. [Google Scholar] [CrossRef]
- Tzatzaliaris, D.; Kastrinis, A.; Theodosopoulos, E.; Kelalis, G. In Brace Correction Effectiveness on Cobb Angle of the SLC Scoliosis Brace on Thoracolumbar Scoliosis. In Proceedings of the 16th International Phillip Zorab Symposium, Dublin, Ireland, 20–21 June 2019. [Google Scholar] [CrossRef]
- Kastrinis, A.; Koumantakis, G.A.; Tsekoura, M.; Nomikou, E.; Strimpakos, N.; Dimitriadis, Z. The Efficacy of Schroth Therapy and Scoliosis SLC Brace in the Treatment of Adolescent Idiopathic Scoliosis. A Retrospective Study. In Proceedings of the Aging Clinical and Experimental Research, 26 August 2022; Springer Nature AG: Cham, Switzerland, 2022; Volume 34, p. S422. [Google Scholar] [CrossRef]
- Weiss, H.; Seibel, S.; Moramarco, M.; Kleban, A. Bracing Scoliosis: The Evolution to CAD/CAM for Improved In-Brace Corrections. Hard Tissue 2013, 2, 43. [Google Scholar] [CrossRef]
- Tombak, K.; Yüksel, İ.; Ozsoy, U.; Yıldırım, Y.; Karaşin, S. A Comparison of the Effects of Supervised Versus Home Schroth Exercise Programs with Adolescent Idiopathic Scoliosis. Children 2024, 11, 354. [Google Scholar] [CrossRef]
- Kastrinis, A.; Kompogianni, K.; Skaftourou, E.; Theodosopoulos, E.; Nomikou, E.; Tsekoura, M.; Dimitriadis, Z.; Paras, G. The Effect of a Schroth MethodBased Exercise Program, on Enhancing the InBrace Correction on Individuals with Idiopathic Scoliosis: A Retrospective Cohort Study. In GeNeDIS 2024; Vlamos, P., Ed.; Springer Nature: Cham, Switzerland, 2026; pp. 163–172. [Google Scholar]
- Ghasemi, A.; Zahediasl, S. Normality Tests for Statistical Analysis: A Guide for Non-Statisticians. Int. J. Endocrinol. Metab. 2012, 10, 486–489. [Google Scholar] [CrossRef] [PubMed]
- Sharifi, P.; Kamali, M.; Ranjbar, H.; Akbarfahimi, M.; Babaee, T. Brace Compliance Model in Adolescents with Idiopathic Scoliosis: A Qualitative Research. Med. J. Islam. Repub. Iran 2025, 39, 27. [Google Scholar] [CrossRef]
- Sapienza, M.; Vaccalluzzo, M.S.; Perricone, E.; Giannone, C.; Caldaci, A.; Musumeci, G.; Vescio, A.; Testa, G.; Pavone, V. Clinical, Psychological, and Social Determinants of Brace Compliance in Adolescent Idiopathic Scoliosis: A Systematic Review and Meta-Analysis. J. Funct. Morphol. Kinesiol. 2026, 11, 68. [Google Scholar] [CrossRef]
- Asada, T.; Kotani, T.; Sakuma, T.; Iijima, Y.; Nakayama, K.; Inage, K.; Shiga, Y.; Akazawa, T.; Minami, S.; Ohtori, S.; et al. Impact of Brace-Related Stress on Brace Compliance in Adolescent Idiopathic Scoliosis: A Single-Center Comparative Study Using Objective Compliance Measurement and Brace-Related Stress. Spine Surg. Relat. Res. 2023, 7, 377–384. [Google Scholar] [CrossRef]
- Prieto, T.E.; Myklebust, J.B.; Hoffmann, R.G.; Lovett, E.G.; Myklebust, B.M. Measures of Postural Steadiness: Differences Between Healthy Young and Elderly Adults. IEEE Trans. Biomed. Eng. 1996, 43, 956–966. [Google Scholar] [CrossRef]
- Duarte, M.; Freitas, S.M.S.F. Revision of Posturography Based on Force Plate for Balance Evaluation. Rev. Bras. De Fisioter. 2010, 14, 183–192. [Google Scholar]
- Ruhe, A.; Fejer, R.; Walker, B. The Test–Retest Reliability of Centre of Pressure Measures in Bipedal Static Task Conditions—A Systematic Review of the Literature. Gait Posture 2010, 32, 436–445. [Google Scholar] [CrossRef]
- Pau, M.; Loi, A.; Pezzotta, M.C. Does Sensorimotor Training Improve the Static Balance of Young Volleyball Players? Sports Biomech. 2012, 11, 97–107. [Google Scholar] [CrossRef]
- Schedler, S.; Brock, K.; Fleischhauer, F.; Kiss, R.; Muehlbauer, T. Effects of Balance Training on Balance Performance in Youth: Are There Age Differences? Res. Q. Exerc. Sport 2020, 91, 405–414. [Google Scholar] [CrossRef] [PubMed]
- Heleno, L.R.; da Silva, R.A.; Shigaki, L.; Araújo, C.G.A.; Coelho Candido, C.R.; Okazaki, V.H.A.; Frisseli, A.; Macedo, C.d.S.G. Five-Week Sensory Motor Training Program Improves Functional Performance and Postural Control in Young Male Soccer Players—A Blind Randomized Clinical Trial. Phys. Ther. Sport 2016, 22, 74–80. [Google Scholar] [CrossRef] [PubMed]
- Larni, Y.; Mohsenifar, H.; Ghandhari, H.; Salehi, R. The Effectiveness of Schroth Exercises Added to the Brace on the Postural Control of Adolescents with Idiopathic Scoliosis: Case Series. Ann. Med. Surg. 2022, 84, 104893. [Google Scholar] [CrossRef]
- Kuru, T.; Yeldan, İ.; Dereli, E.E.; Özdinçler, A.R.; Dikici, F.; Çolak, İ. The Efficacy of Three-Dimensional Schroth Exercises in Adolescent Idiopathic Scoliosis: A Randomised Controlled Clinical Trial. Clin. Rehabil. 2015, 30, 181–190. [Google Scholar] [CrossRef] [PubMed]
- Schreiber, S.; Parent, E.C.; Khodayari Moez, E.; Hedden, D.M.; Hill, D.L.; Moreau, M.; Lou, E.; Watkins, E.M.; Southon, S.C. Schroth Physiotherapeutic Scoliosis-Specific Exercises Added to the Standard of Care Lead to Better Cobb Angle Outcomes in Adolescents with Idiopathic Scoliosis—An Assessor and Statistician Blinded Randomized Controlled Trial. PLoS ONE 2016, 11, e0168746. [Google Scholar] [CrossRef]
- Hemm, S.; Baumann, D.; Duarte da Costa, V.; Tarnutzer, A.A. Test-Re-Test Reliability and Dynamics of the Fukuda–Unterberger Stepping Test. Front. Neurol. 2023, 14, 1128760. [Google Scholar] [CrossRef]
- Belluscio, V.; Bergamini, E.; Iosa, M.; Tramontano, M.; Morone, G.; Vannozzi, G. The IFST: An Instrumented Version of the Fukuda Stepping Test for Balance Assessment. Gait Posture 2018, 60, 203–208. [Google Scholar] [CrossRef]
- Woo, E.J.; Siegmund, G.P.; Reilly, C.W.; Blouin, J.-S. Asymmetric Unilateral Vestibular Perception in Adolescents with Idiopathic Scoliosis. Front. Neurol. 2019, 10, 1270. [Google Scholar] [CrossRef] [PubMed]
- Berdishevsky, H.; Lebel, V.A.; Bettany-Saltikov, J.; Rigo, M.; Lebel, A.; Hennes, A.; Romano, M.; Białek, M.; M’hango, A.; Betts, T.; et al. Physiotherapy Scoliosis-Specific Exercises—A Comprehensive Review of Seven Major Schools. Scoliosis Spinal Disord. 2016, 11, 20. [Google Scholar] [CrossRef] [PubMed]
- Cullen, K.E. The Vestibular System: Multimodal Integration and Encoding of Self-Motion for Motor Control. Trends Neurosci. 2012, 35, 185–196. [Google Scholar] [CrossRef]
- Catanzariti, J.F.; Salomez, E.; Bruandet, J.M.; Thevenon, A. Visual Deficiency and Scoliosis. Spine 2001, 26, 48–52. [Google Scholar] [CrossRef]
- Negrini, S.; Atanasio, S.; Zaina, F.; Romano, M. Rehabilitation of Adolescent Idiopathic Scoliosis: Results of Exercises and Bracing from a Series of Clinical Studies. Europa Medicophysica-SIMFER 2007 Award Winner. Eur. J. Phys. Rehabil. Med. 2008, 44, 169–176. [Google Scholar] [PubMed]
- He, C.; Yang, J.; Zheng, Q.; Zhao, M.; Zong-Hao, C. How Do Paraspinal Muscles Contract during the Schroth Exercise Treatment in Patients with Adolescent Idiopathic Scoliosis (AIS)? Bioengineering 2022, 9, 234. [Google Scholar] [CrossRef]
- Weiss, H.R. Imbalance of Electromyographic Activity and Physical Rehabilitation of Patients with Idiopathic Scoliosis. Eur. Spine J. 1993, 1, 240–243. [Google Scholar] [CrossRef]
- Zhang, X.; Lv, J.; Li, X.; Lin, B.; Huang, Y.; Lin, Y.; Hu, M.; Liao, B. Immediate Effects of the Schroth Method on Spinal Curvature and Paravertebral Muscle Activation in Adolescent Idiopathic Scoliosis. Orthop. Surg. 2025, 17, 2150–2158. [Google Scholar] [CrossRef]
- Mehkri, Y.; Hernandez, J.; McQuerry, J.L.; Carmona, J.; Ihnow, S. Global Spine Range of Motion in Patients with Adolescent Idiopathic Scoliosis Before and After Corrective Surgery. Cureus 2021, 13, e19362. [Google Scholar] [CrossRef]
- Zhang, K.-Q.; Li, Y.-X.; Lv, N.; Ma, Q.; Zhang, S.-J.; Zhao, X.; Wang, K.; Li, L.; Li, L. Proprioceptive Acuity Assessment in Multiple Directions across Multiple Joints in the Upper Limb. Mot. Control 2023, 27, 860–879. [Google Scholar] [CrossRef]
- Kim, T.-G.; Kim, Y.-H.; Ma, R.; Kim, S.-Y. Scapula Position Test Reliability and Comparisons of Scapula Position and Shoulder Function among Individuals with and without Adolescent Idiopathic Scoliosis. J. Back Musculoskelet. Rehabil. 2024, 37, 1519–1528. [Google Scholar] [CrossRef]
- Jiménez-Jiménez, A.B.; Gámez-Centeno, E.; Muñoz-Paz, J.; Muñoz-Alcaraz, M.N.; Mayordomo-Riera, F.J. The Effects of the Schroth Method on the Cobb Angle, Angle of Trunk Rotation, Pulmonary Function, and Health-Related Quality of Life in Adolescent Idiopathic Scoliosis: A Narrative Review. Healthcare 2025, 13, 2631. [Google Scholar] [CrossRef]
- Wimoolchat, W.; Yin, E.; Ng, S. A Case Report—Outcome of Bracing and Physiotherapeutic Scoliosis-Specific Exercises in an Adolescent with an Idiopathic Thoracic Scoliosis in Surgical Range. J. Phys. Med. Rehabil. 2025, 7, 86–91. [Google Scholar] [CrossRef]
- Dimitrijević, V.; Rašković, B.; Popović, M.; Viduka, D.; Nikolić, S.; Drid, P.; Obradović, B. Treatment of Idiopathic Scoliosis with Conservative Methods Based on Exercises: A Systematic Review and Meta-Analysis. Front. Sports Act. Living 2024, 6, 1492241. [Google Scholar] [CrossRef] [PubMed]
- Negrini, S.; Donzelli, S.; Aulisa, A.G.; Czaprowski, D.; Schreiber, S.; de Mauroy, J.C.; Diers, H.; Grivas, T.B.; Knott, P.; Kotwicki, T.; et al. 2016 SOSORT Guidelines: Orthopaedic and Rehabilitation Treatment of Idiopathic Scoliosis during Growth. Scoliosis Spinal Disord. 2018, 13, 3. [Google Scholar] [CrossRef] [PubMed]
- Weinstein, S.L.; Dolan, L.A.; Wright, J.G.; Dobbs, M.B. Effects of Bracing in Adolescents with Idiopathic Scoliosis. N. Engl. J. Med. 2013, 369, 1512–1521. [Google Scholar] [CrossRef]
- Kotwicki, T.; Kinel, E.; Stryła, W.; Szulc, A. Estimation of the Stress Related to Conservative Scoliosis Therapy: An Analysis Based on BSSQ Questionnaires. Scoliosis 2007, 2, 1. [Google Scholar] [CrossRef]
- Brox, J.I.; Lange, J.E.; Gunderson, R.B.; Steen, H. Good Brace Compliance Reduced Curve Progression and Surgical Rates in Patients with Idiopathic Scoliosis. Eur. Spine J. 2012, 21, 1957–1963. [Google Scholar] [CrossRef]
- Rivett, L.; Rothberg, A.; Stewart, A.; Berkowitz, R. The Relationship Between Quality of Life and Compliance to a Brace Protocol in Adolescents with Idiopathic Scoliosis: A Comparative Study. BMC Musculoskelet. Disord. 2009, 10, 5. [Google Scholar] [CrossRef] [PubMed]
- Hall, A.Μ.; Ferreira, P.H.; Maher, C.G.; Latimer, J.; Ferreira, M.L. The Influence of the Therapist-Patient Relationship on Treatment Outcome in Physical Rehabilitation: A Systematic Review. Phys. Ther. 2010, 90, 1099–1110. [Google Scholar] [CrossRef]
- Babatunde, F.; MacDermid, J.; MacIntyre, N. Characteristics of Therapeutic Alliance in Musculoskeletal Physiotherapy and Occupational Therapy Practice: A Scoping Review of the Literature. BMC Health Serv. Res. 2017, 17, 375, Correction in BMC Health Serv. Res. 2017, 17, 820. https://doi.org/10.1186/s12913-017-2776-0. [Google Scholar]
- Gao, A.; Li, J.-Y.; Shao, R.; Wu, T.-X.; Wang, Y.-Q.; Liu, X.-G.; Yu, M. Schroth Exercises Improve Health-Related Quality of Life and Radiographic Parameters in Adolescent Idiopathic Scoliosis Patients. Chin. Med. J. 2021, 134, 2589–2596. [Google Scholar] [CrossRef]
- Horne, J.P.; Flannery, R.; Usman, S. Adolescent Idiopathic Scoliosis: Diagnosis and Management. Am. Fam. Physician 2014, 89, 193–198. [Google Scholar] [PubMed]
- Larson, J.E.; Meyer, M.A.; Boody, B.; Sarwark, J.F. Evaluation of Angle Trunk Rotation Measurements to Improve Quality and Safety in the Management of Adolescent Idiopathic Scoliosis. J. Orthop. 2018, 15, 563–565. [Google Scholar] [CrossRef]
- Kramers-de Quervain, I.A.; Muller, R.; Stacoff, A.; Grob, D.; Stussi, E. Gait Analysis in Patients with Idiopathic Scoliosis. Eur. Spine J. 2004, 13, 449–456. [Google Scholar] [CrossRef]
- Takahashi, K.; Tsubouchi, Y.; Abe, T.; Takeo, Y.; Iwakiri, M.; Kataoka, T.; Inoue, K.; Sako, N.; Kataoka, M.; Miyazaki, M.; et al. Influence of Main Thoracic and Thoracic Kyphosis Morphology on Gait Characteristics in Adolescents with Idiopathic Scoliosis: Gait Analysis Using an Inertial Measurement Unit. Sensors 2025, 25, 4265. [Google Scholar] [CrossRef]
- Wilczynski, J.; Habik, N.; Bieniek, K.; Janecka, S.; Karolak, P.; Wilczynski, I. Body Posture and Balance Reactions in Girls and Boys Aged 12–15 Years. Mod. Appl. Sci. 2018, 12, 89. [Google Scholar] [CrossRef][Green Version]
- Pialasse, J.-P.; Descarreaux, M.; Mercier, P.; Blouin, J.; Simoneau, M. The Vestibular-Evoked Postural Response of Adolescents with Idiopathic Scoliosis Is Altered. PLoS ONE 2015, 10, e0143124. [Google Scholar] [CrossRef] [PubMed]
- Panjabi, M.M. The Stabilizing System of the Spine. Part I. Function, Dysfunction, Adaptation, and Enhancement. J. Spinal Disord. 1992, 5, 383–389; discussion 397. [Google Scholar] [CrossRef] [PubMed]
- Wu, L.; Qiu, Y.; Wang, B.; Zhu, Z.Z.; Ma, W.W. The Left Thoracic Curve Pattern: A Strong Predictor for Neural Axis Abnormalities in Patients with “Idiopathic” Scoliosis. Spine 2010, 35, 182–185. [Google Scholar] [CrossRef]
- Morton, A.; Riddle, R.; Buchanan, R.; Katz, D.; Birch, J. Accuracy in the Prediction and Estimation of Adherence to Bracewear Before and During Treatment of Adolescent Idiopathic Scoliosis. J. Pediatr. Orthop. 2008, 28, 336–341. [Google Scholar] [CrossRef]



| Schroth Group Mean (SD) | Control Group Mean (SD) | p | |
|---|---|---|---|
| Age (Y) | 13 (1.08) | 13.4 (1.45) | 0.27 |
| Height (cm) | 161.9 (7.82) | 161.4 (6.5) | 0.79 |
| Weight (kg) | 50.6 (8.5) | 53.2 (10.5) | 0.28 |
| Risser Stage | 2.4 (1.22) | 2.26 (1.33) | 0.54 |
| Primary Curve Cobb’s Angle (°) | 30.1 (5.31) | 32.16 (7.16) | 0.21 |
| Group | Outcome Measure | Initial Measurement | Final Measurement | Mean Difference | 95% CI of the Difference Lower Upper | p | |
|---|---|---|---|---|---|---|---|
| Schroth | Score 0–24 | 12.26 (5.14) | 16.2 (4.58) | −3.93 | −5.08 | −2.77 | 0.000 |
| Control | Score 0–24 | 14.5 (5.17) | 15 (5.13) | −0.5 | −1.44 | 0.44 | 0.288 |
| GR-BSSQ Brace Initial Evaluation | Stress Level | Group | |
|---|---|---|---|
| Schroth | Control | ||
| Low | 4 | 6 | |
| Medium | 18 | 22 | |
| High | 8 | 2 | |
| GR-BSSQ Brace Final Evaluation | |||
| Low | 13 | 7 | |
| Medium | 15 | 20 | |
| High | 2 | 3 | |
| Outcome Measure | Factor | F (1,58) | Partial Eta2 | p |
|---|---|---|---|---|
| Score 0–24 | Time Effects | 36.90 | 0.389 | 0.000 |
| Group × Time Effects | 22.13 | 0.276 | 0.000 | |
| Group Effects | 0.17 | 0.003 | 0.679 |
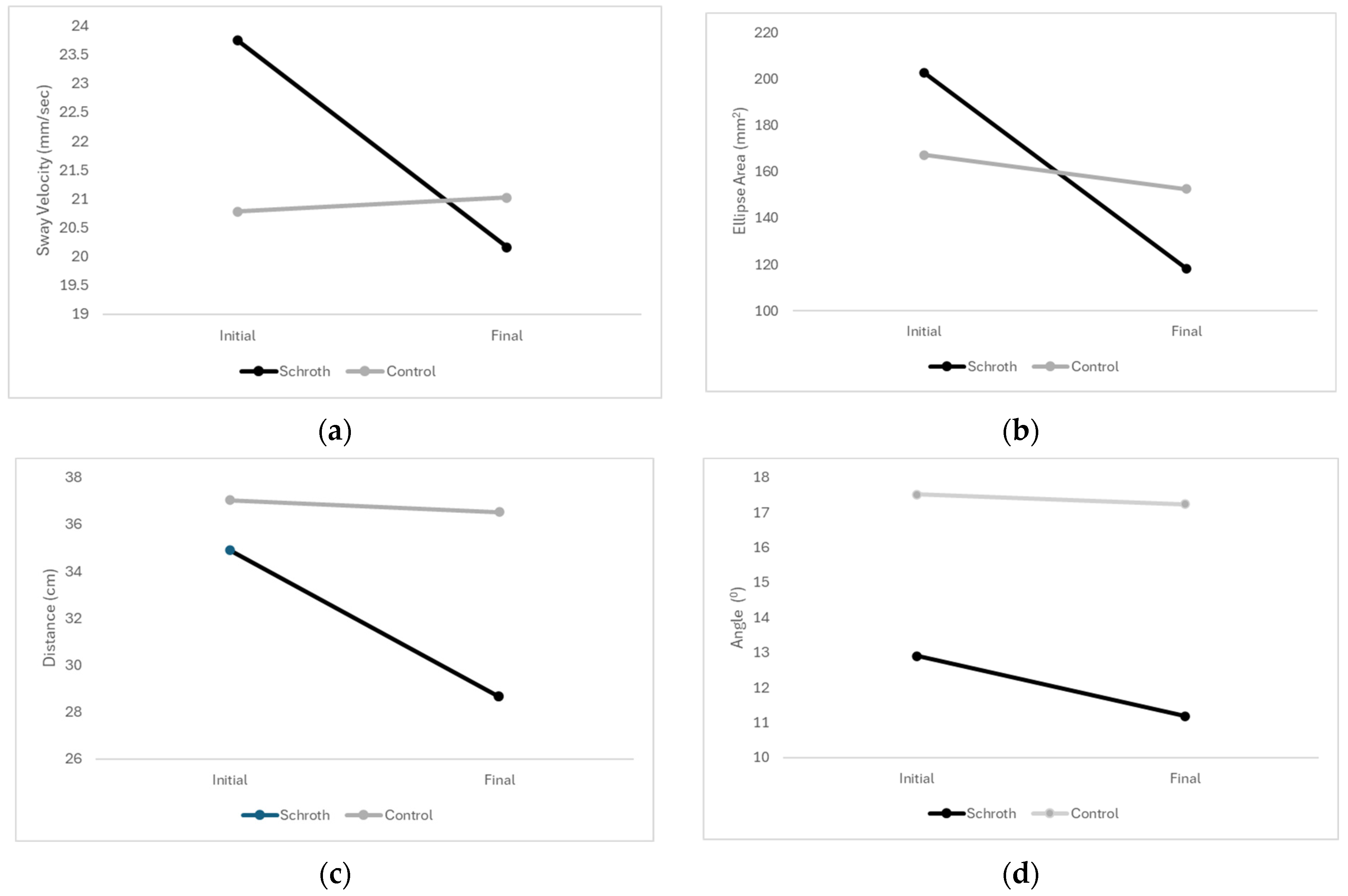
| Group | Outcome Measure | Initial Measurement | Final Measurement | Mean Difference | 95% CI of the Difference Lower Upper | p | |
|---|---|---|---|---|---|---|---|
| Schroth | Sway Velocity (mm/s) | 23.75 (8.74) | 20.16 (9.92) | 3.58 | −0.23 | 7.4 | 0.065 |
| Control | Sway Velocity (mm/s) | 20.78 (7.28) | 21.02 (11.04) | −0.24 | −3.97 | 3.48 | 0.893 |
| Schroth | Ellipse Area (mm2) | 202.71 (127.66) | 118.24 (78.22) | 84.46 | 49.28 | 119.64 | 0.000 |
| Control | Ellipse Area (mm2) | 167.27 (144.27) | 152.47 (103.28) | 14.79 | −19.75 | 49.34 | 0.388 |
| Outcome Measure | Factor | F (1,58) | Partial Eta2 | p |
|---|---|---|---|---|
| Sway Velocity (mm/s) | Time Effects | 1.63 | 0.027 | 0.206 |
| Group × Time Effects | 2.15 | 0.036 | 0.148 | |
| Group Effects | 0.26 | 0.005 | 0.606 | |
| Ellipse Area (mm2) | Time Effects | 16.95 | 0.226 | 0.000 |
| Group × Time Effects | 8.35 | 0.126 | 0.005 | |
| Group Effects | 0.00 | 0.000 | 0.982 |
| Group | Outcome Measure | Initial Measurement | Final Measurement | Mean Difference | 95% CI of the Difference Lower Upper | p | |
|---|---|---|---|---|---|---|---|
| Schroth | Distance (cm) | 34.9 (15.4) | 28.64 (10.82) | 6.24 | 3.57 | 8.91 | 0.000 |
| Angle (°) | 12.9 (7.32) | 11.19 (8.53) | 1.7 | −2.63 | 6.05 | 0.428 | |
| Control | Distance (cm) | 37.04 (22.33) | 36.52 (20.9) | 0.52 | −2.71 | 3.75 | 0.745 |
| Angle (°) | 17.51 (10.07) | 17.23 (7.59) | 0.28 | −2.31 | 2.88 | 0.825 | |
| Outcome Measure | Factor | F (1,58) | Partial Eta2 | p |
|---|---|---|---|---|
| Distance (cm) | Time Effects | 10.88 | 0.158 | 0.002 |
| Group × Time Effects | 7.79 | 0.118 | 0.007 | |
| Group Effects | 1.23 | 0.021 | 0.271 | |
| Angle (°) | Time Effects | 0.64 | 0.011 | 0.424 |
| Group × Time Effects | 0.33 | 0.006 | 0.567 | |
| Group Effects | 8.79 | 0.132 | 0.004 |
| Group | Outcome Measure | Initial Measurement | Final Measurement | Mean Difference | 95% CI of the Difference Lower Upper | p | ||
|---|---|---|---|---|---|---|---|---|
| Schroth | Error (°) | R | 3.79 (2.28) | 2.21 (0.66) | 1.57 | 0.73 | 2.41 | 0.001 |
| L | 4.21 (2.03) | 3.51 (1.58) | 0.69 | 0.23 | 1.16 | 0.04 | ||
| Combined | 4 (1.66) | 2.86 (0.92) | 1.13 | 0.61 | 1.66 | 0.000 | ||
| Control | Error (°) | R | 4.96 (3.22) | 4.78 (3.46) | 0.18 | −0.56 | 0.92 | 0.625 |
| L | 3.74 (2.09) | 3.69 (1.81) | 0.05 | −0.56 | 0.68 | 0.848 | ||
| Combined | 4.35 (2.39) | 4.23 (2.34) | 0.11 | −0.41 | 0.65 | 0.651 | ||
| Outcome Measure | Factor | F (1,58) | Partial Eta2 | p |
|---|---|---|---|---|
| Error (°) R | Time Effects | 10.18 | 0.149 | 0.002 |
| Group × Time Effects | 6.42 | 0.100 | 0.014 | |
| Group Effects | 8.87 | 0.330 | 0.008 | |
| Error (°) L | Time Effects | 3.98 | 0.064 | 0.051 |
| Group × Time Effects | 2.84 | 0.047 | 0.097 | |
| Group Effects | 0.09 | 0.002 | 0.754 | |
| Error (°) Combined | Time Effects | 11.68 | 0.168 | 0.001 |
| Group × Time Effects | 7.65 | 0.117 | 0.008 | |
| Group Effects | 3.42 | 0.056 | 0.067 |
| Group | Outcome Measure | Initial Measurement | Final Measurement | Mean Difference | 95% CI of the Difference Lower Upper | p | ||
|---|---|---|---|---|---|---|---|---|
| Schroth | Error (cm) | R | 2.46 (1.35) | 1.67 (0.7) | 0.59 | 0.30 | 0.87 | 0.000 |
| L | 2.17 (0.93) | 1.66 (0.4) | 0.51 | 0.21 | 0.8 | 0.001 | ||
| Combined | 2.32 (0.99) | 1.76 (0.47) | 0.55 | 0.3 | 0.79 | 0.000 | ||
| Control | Error (cm) | R | 2.07 (1.13) | 2.33 (1.37) | −0.25 | −0.51 | 0.002 | 0.052 |
| L | 1.52 (0.71) | 1.64 (0.56) | −0.11 | −0.29 | 0.05 | 0.178 | ||
| Combined | 1.80 (0.86) | 1.99 (0.89) | −0.18 | −0.34 | −0.02 | 0.023 | ||
| Outcome Measure | Factor | F (1,58) | Partial Eta2 | p |
|---|---|---|---|---|
| Error (cm) R | Time Effects | 3.18 | 0.052 | 0.079 |
| Group × Time Effects | 20.42 | 0.260 | 0.000 | |
| Group Effects | 0.01 | 0.000 | 0.903 | |
| Error (cm) L | Time Effects | 5.64 | 0.089 | 0.021 |
| Group × Time Effects | 14.32 | 0.198 | 0.000 | |
| Group Effects | 4.45 | 0.071 | 0.039 | |
| Error (cm) Combined | Time Effects | 6.54 | 0.101 | 0.013 |
| Group × Time Effects | 26.82 | 0.316 | 0.000 | |
| Group Effects | 0.52 | 0.009 | 0.471 |
Disclaimer/Publisher’s Note: The statements, opinions and data contained in all publications are solely those of the individual author(s) and contributor(s) and not of MDPI and/or the editor(s). MDPI and/or the editor(s) disclaim responsibility for any injury to people or property resulting from any ideas, methods, instructions or products referred to in the content. |
© 2026 by the authors. Licensee MDPI, Basel, Switzerland. This article is an open access article distributed under the terms and conditions of the Creative Commons Attribution (CC BY) license.
Share and Cite
Kastrinis, A.; Strimpakos, N.; Koumantakis, G.A.; Tzatzaliaris, D.; Oikonomaki, M.; Dimitriadis, Z. Evaluating the Effect of the Schroth Method on Sensorimotor Control in Adolescents with Idiopathic Scoliosis: A Controlled Clinical Trial. J. Funct. Morphol. Kinesiol. 2026, 11, 127. https://doi.org/10.3390/jfmk11010127
Kastrinis A, Strimpakos N, Koumantakis GA, Tzatzaliaris D, Oikonomaki M, Dimitriadis Z. Evaluating the Effect of the Schroth Method on Sensorimotor Control in Adolescents with Idiopathic Scoliosis: A Controlled Clinical Trial. Journal of Functional Morphology and Kinesiology. 2026; 11(1):127. https://doi.org/10.3390/jfmk11010127
Chicago/Turabian StyleKastrinis, Alexandros, Nikolaos Strimpakos, George A. Koumantakis, Dionysios Tzatzaliaris, Marianna Oikonomaki, and Zacharias Dimitriadis. 2026. "Evaluating the Effect of the Schroth Method on Sensorimotor Control in Adolescents with Idiopathic Scoliosis: A Controlled Clinical Trial" Journal of Functional Morphology and Kinesiology 11, no. 1: 127. https://doi.org/10.3390/jfmk11010127
APA StyleKastrinis, A., Strimpakos, N., Koumantakis, G. A., Tzatzaliaris, D., Oikonomaki, M., & Dimitriadis, Z. (2026). Evaluating the Effect of the Schroth Method on Sensorimotor Control in Adolescents with Idiopathic Scoliosis: A Controlled Clinical Trial. Journal of Functional Morphology and Kinesiology, 11(1), 127. https://doi.org/10.3390/jfmk11010127

