Comparison of the Hydrodynamic Profile Between Competitive Triathletes and Swimmers
Abstract
1. Introduction
2. Materials and Methods
2.1. Participants
2.2. Procedures
2.3. Statistical Procedures
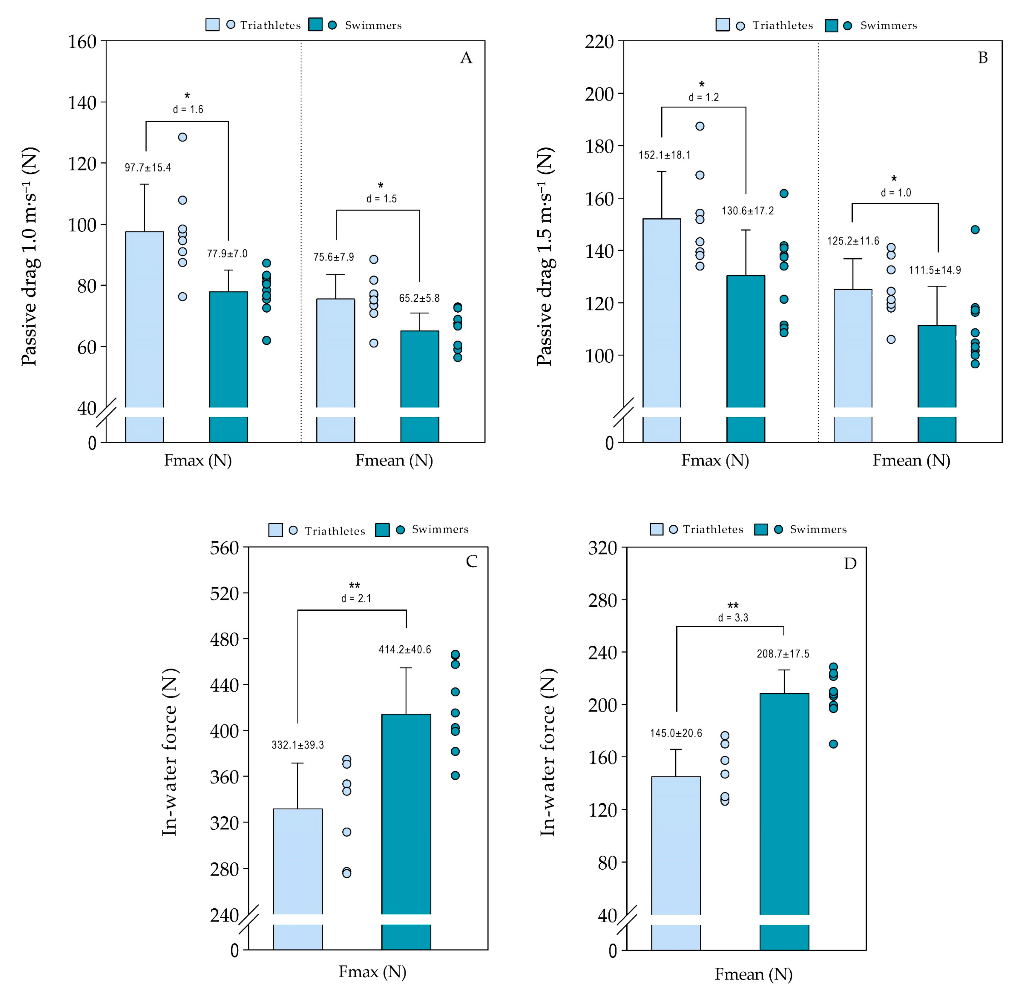
3. Results
4. Discussion
5. Conclusions
Author Contributions
Funding
Institutional Review Board Statement
Informed Consent Statement
Data Availability Statement
Conflicts of Interest
References
- Suriano, R.; Bishop, D. Physiological Attributes of Triathletes. J. Sci. Med. Sport 2010, 13, 340–347. [Google Scholar] [CrossRef] [PubMed]
- Machado, M.L.; Assíria-Costa, L.; Santos, C.C.; Costa, M.J. Unveiling Biophysical Characteristics in Different Triathlon Race Formats: A Systematic Review. AIMS Biophys. 2025, 12, 438–472. [Google Scholar] [CrossRef]
- Peeling, P.; Landers, G. Swimming Intensity during Triathlon: A Review of Current Research and Strategies to Enhance Race Performance. J. Sports Sci. 2009, 27, 1079–1085. [Google Scholar] [CrossRef]
- Lopes, R.F.; Osiecki, R.; Rama, L. Heart Rate and Blood Lactate Concentration Response after Each Segment of the Olympic Triathlon Event. Rev. Bras. Med. Esporte 2012, 18, 158–160. [Google Scholar] [CrossRef]
- Ambrosini, L.; Presta, V.; Galli, D.; Mirandola, P.; Vitale, M.; Gobbi, G.; Condello, G. Interlink between Physiological and Biomechanical Changes in the Swim-to-Cycle Transition in Triathlon Events: A Narrative Review. Sports Med. Open 2022, 8, 129. [Google Scholar] [CrossRef]
- López-Belmonte, Ó.; Ruiz-Navarro, J.J.; Gay, A.; Cuenca-Fernández, F.; Cejuela, R.; Arellano, R. Determinants of 1500-m Front-Crawl Swimming Performance in Triathletes: Influence of Physiological and Biomechanical Variables. Int. J. Sports Physiol. Perform. 2023, 18, 1328–1335. [Google Scholar] [CrossRef]
- Zamparo, P.; Bonifazi, M.; Faina, M.; Milan, A.; Sardella, F.; Schena, F.; Capelli, C. Energy Cost of Swimming of Elite Long-Distance Swimmers. Eur. J. Appl. Physiol. 2005, 94, 697–704. [Google Scholar] [CrossRef] [PubMed]
- Barbosa, T.M.; Bragada, J.A.; Reis, V.M.; Marinho, D.A.; Carvalho, C.; Silva, A.J. Energetics and Biomechanics as Determining Factors of Swimming Performance: Updating the State of the Art. J. Sci. Med. Sport 2010, 13, 262–269. [Google Scholar] [CrossRef]
- Delextrat, A.; Brisswalter, J.; Hausswirth, C.; Bernard, T.; Vallier, J.-M. Does Prior 1500-m Swimming Affect Cycling Energy Expenditure in Well-Trained Triathletes? Can. J. Appl. Physiol. 2005, 30, 392–403. [Google Scholar] [CrossRef]
- Peeling, P.D.; Bishop, D.J.; Landers, G.J. Effect of Swimming Intensity on Subsequent Cycling and Overall Triathlon Performance. Br. J. Sports Med. 2005, 39, 960–964. [Google Scholar] [CrossRef]
- Millet, G.P.; Chollet, D.; Chalies, S.; Chatard, J.C. Coordination in Front Crawl in Elite Triathletes and Elite Swimmers. Int. J. Sports Med. 2002, 23, 99–104. [Google Scholar] [CrossRef] [PubMed]
- Chatard, J.C.; Senegas, X.; Selles, M.; Dreanot, P.; Geyssant, A. Wet Suit Effect: A Comparison between Competitive Swimmers and Triathletes. Med. Sci. Sports Exerc. 1995, 27, 580–586. [Google Scholar] [CrossRef]
- Barbosa, T.M.; Costa, M.J.; Marinho, D.A. Proposal of a deterministic model to explain swimming performance. Int. J. Swim. Kinet. 2013, 2, 1–54. [Google Scholar]
- Gatta, G.; Cortesi, M.; Zamparo, P. The Relationship between Power Generated by Thrust and Power to Overcome Drag in Elite Short Distance Swimmers. PLoS ONE 2016, 11, e0162387. [Google Scholar] [CrossRef]
- Figueiredo, P.; Marques, E.A.; Lepers, R. Changes in Contributions of Swimming, Cycling, and Running Performances on Overall Triathlon Performance over a 26-Year Period. J. Strength Cond. Res. 2016, 30, 2406–2415. [Google Scholar] [CrossRef]
- Quagliarotti, C.; Cortesi, M.; Coloretti, V.; Fantozzi, S.; Gatta, G.; Bonifazi, M.; Zamparo, P.; Piacentini, M.F. The Effects of a Wetsuit on Biomechanical, Physiological, and Perceptual Variables in Experienced Triathletes. Int. J. Sports Physiol. Perform. 2023, 18, 171–179. [Google Scholar] [CrossRef]
- Lohman, T.G.; Roche, A.F.; Martorell, R. Anthropometric Standardization Reference Manual; Human Kinetics: Champaign, IL, USA, 1988. [Google Scholar]
- Barbosa, T.M.; Morais, J.E.; Costa, M.J.; Mejias, J.E.; Marinho, D.A.; Silva, A.J. Estimating the trunk transverse surface area to assess swimmer’s drag force based on their competitive level. J. Hum. Kinet. 2012, 32, 9–19. [Google Scholar] [CrossRef]
- Kolmogorov, S.V.; Duplishcheva, O.A. Active Drag, Useful Mechanical Power Output and Hydrodynamic Force Coefficient in Different Swimming Strokes at Maximal Velocity. J. Biomech. 1992, 25, 311–318. [Google Scholar] [CrossRef] [PubMed]
- Craig, A.; Skehan, P.; Pawelczyk, J.; Boomer, W. Velocity, Stroke Rate and Distance per Stroke during Elite Swimming Competition. Med. Sci. Sports Exerc. 1985, 17, 625–634. [Google Scholar] [CrossRef] [PubMed]
- Costill, D.; Kovaleski, J.; Porter, D.; Fielding, R.; King, D. Energy Expenditure during Front Crawl Swimming: Predicting Success in Middle-Distance Events. Int. J. Sports Med. 1985, 6, 266–270. [Google Scholar] [CrossRef]
- Cortesi, M.; Gatta, G. Effect of the Swimmer’s Head Position on Passive Drag. J. Hum. Kinet. 2015, 49, 37–45. [Google Scholar] [CrossRef] [PubMed]
- Cortesi, M.; Di Michele, R.; Gatta, G. Effects of Intracyclic Velocity Variations on the Drag Exerted by Different Swimming Parachutes. J. Strength Cond. Res. 2019, 33, 531–537. [Google Scholar] [CrossRef] [PubMed]
- Cohen, J. Statistical Power Analysis for the Behavioral Sciences, 2nd ed.; Routledge: New York, NY, USA, 1988. [Google Scholar]
- Malina, R.M. Adherence to physical activity from childhood to adulthood: A perspective from tracking studies. Quest 2001, 53, 346–355. [Google Scholar] [CrossRef]
- López-Belmonte, Ó.; Gay, A.; Ruiz-Navarro, J.J.; Cuenca-Fernández, F.; Cejuela, R.; Arellano, R. Open Water Swimming in Elite Triathletes: Physiological and Biomechanical Determinants. Int. J. Sports Med. 2024, 45, 598–607. [Google Scholar] [CrossRef]
- Hue, O.; Benavente, H.; Chollet, D. The Effect of Wet Suit Use by Triathletes: An Analysis of the Different Phases of Arm Movement. J. Sports Sci. 2003, 21, 1025–1030. [Google Scholar] [CrossRef]
- Santos, C.C.; Garrido, N.D.; Cuenca-Fernández, F.; Marinho, D.A.; Costa, M.J. Performance Tiers within a Competitive Age Group of Young Swimmers Are Characterized by Different Kinetic and Kinematic Behaviors. Sensors 2023, 23, 5113. [Google Scholar] [CrossRef]
- Chatard, J.C.; Wilson, B. Drafting Distance in Swimming. Med. Sci. Sports Exerc. 2003, 35, 1176–1181. [Google Scholar] [CrossRef]
- Cortesi, M.; Gatta, G.; Michielon, G.; Di Michele, R.; Bartolomei, S.; Scurati, R. Passive Drag in Young Swimmers: Effects of Body Composition, Morphology and Gliding Position. Int. J. Environ. Res. Public Health 2020, 17, 2002. [Google Scholar] [CrossRef]
- Gay, A.; Ruiz-Navarro, J.J.; Cuenca-Fernández, F.; López-Belmonte, Ó.; Abraldes, J.A.; Fernandes, R.J.; Arellano, R. The Impact of Wetsuit Use on Swimming Performance, Physiology and Biomechanics: A Systematic Review. Physiologia 2022, 2, 198–230. [Google Scholar] [CrossRef]
- Tomikawa, M.; Shimoyama, Y.; Nomura, T.; Ikegami, Y.; Miyashita, M. Changes in Stroke Parameters during Competitive Front Crawl Swimming. J. Biomech. 2008, 41, 2941–2944. [Google Scholar]
- Costa, M.J.; Santos, C.C. Deterministic Models in Competitive Swimming: Gathering Links for Better Coaching. In Training Control and Evaluation in Swimmers: A Guide for Coaches and Researchers; Santos, C.C., Costa, M.J., Eds.; Prime Books: Estoril, Portugal, 2025; pp. 21–36. [Google Scholar]


| Triathletes (Mean ± SD) | Swimmers (Mean ± SD) | p | d | 95% CI | |
|---|---|---|---|---|---|
| BM (kg) | 71.99 ± 7.84 | 73.73 ± 5.17 | 0.578 | 0.86 | −0.11, 1.83 |
| Stature (cm) | 177.65 ± 7.23 | 181.12 ± 5.68 | 0.270 | 0.53 | −0.42, 1.48 |
| AS (cm) | 181.28 ± 8.78 | 191.53 ± 7.71 | 0.018 | 1.24 | 0.23, 2.25 |
| ULL (cm) | 82.69 ± 4.93 | 87.00 ± 5.30 | 0.096 | 0.88 | −0.09, 1.85 |
| TSA (cm2) | 845.80 ± 143.50 | 863.39 ± 129.58 | 0.788 | 0.13 | −0.8, 1.06 |
| Variables | Triathletes (Mean ± SD) | Swimmers (Mean ± SD) | p | d | 95% CI |
|---|---|---|---|---|---|
| v (m·s−1) | 1.38 ± 0.14 | 1.75 ± 0.07 | 0.009 | 3.49 | 1.97, 5.02 |
| SF (Hz) | 0.85 ± 0.12 | 0.92 ± 0.07 | 0.134 | 0.74 | −0.22, 1.70 |
| SL (m) | 1.65 ± 0.17 | 1.92 ± 0.09 | <0.001 | 2.02 | 0.86, 3.18 |
| SI (m2·s−1) | 2.28 ± 0.34 | 3.35 ± 0.16 | <0.001 | 4.20 | 2.47, 5.93 |
| Da (N) | 31.06 ± 10.37 | 51.80 ± 22.55 | 0.029 | 1.14 | 0.13, 2.15 |
| CDa (dimensionless) | 0.38 ± 0.09 | 0.39 ± 0.17 | 0.903 | 0.07 | −0.86, 1.00 |
| Wd (W) | 43.66 ± 17.41 | 91.02 ± 40.69 | 0.007 | 1.44 | 0.39, 2.59 |
Disclaimer/Publisher’s Note: The statements, opinions and data contained in all publications are solely those of the individual author(s) and contributor(s) and not of MDPI and/or the editor(s). MDPI and/or the editor(s) disclaim responsibility for any injury to people or property resulting from any ideas, methods, instructions or products referred to in the content. |
© 2025 by the authors. Licensee MDPI, Basel, Switzerland. This article is an open access article distributed under the terms and conditions of the Creative Commons Attribution (CC BY) license.
Share and Cite
Assíria-Costa, L.; Machado, M.L.; Santos, C.C.; Costa, M.J. Comparison of the Hydrodynamic Profile Between Competitive Triathletes and Swimmers. J. Funct. Morphol. Kinesiol. 2026, 11, 10. https://doi.org/10.3390/jfmk11010010
Assíria-Costa L, Machado ML, Santos CC, Costa MJ. Comparison of the Hydrodynamic Profile Between Competitive Triathletes and Swimmers. Journal of Functional Morphology and Kinesiology. 2026; 11(1):10. https://doi.org/10.3390/jfmk11010010
Chicago/Turabian StyleAssíria-Costa, Lawinya, Marta L. Machado, Catarina C. Santos, and Mário J. Costa. 2026. "Comparison of the Hydrodynamic Profile Between Competitive Triathletes and Swimmers" Journal of Functional Morphology and Kinesiology 11, no. 1: 10. https://doi.org/10.3390/jfmk11010010
APA StyleAssíria-Costa, L., Machado, M. L., Santos, C. C., & Costa, M. J. (2026). Comparison of the Hydrodynamic Profile Between Competitive Triathletes and Swimmers. Journal of Functional Morphology and Kinesiology, 11(1), 10. https://doi.org/10.3390/jfmk11010010

