Can We Replicate the Most Demanding Periods of Official Football Matches in Large-Sided Training Games?
Abstract
1. Introduction
2. Materials and Methods
2.1. Participants
2.2. Design
2.3. Procedures
2.4. Statistics
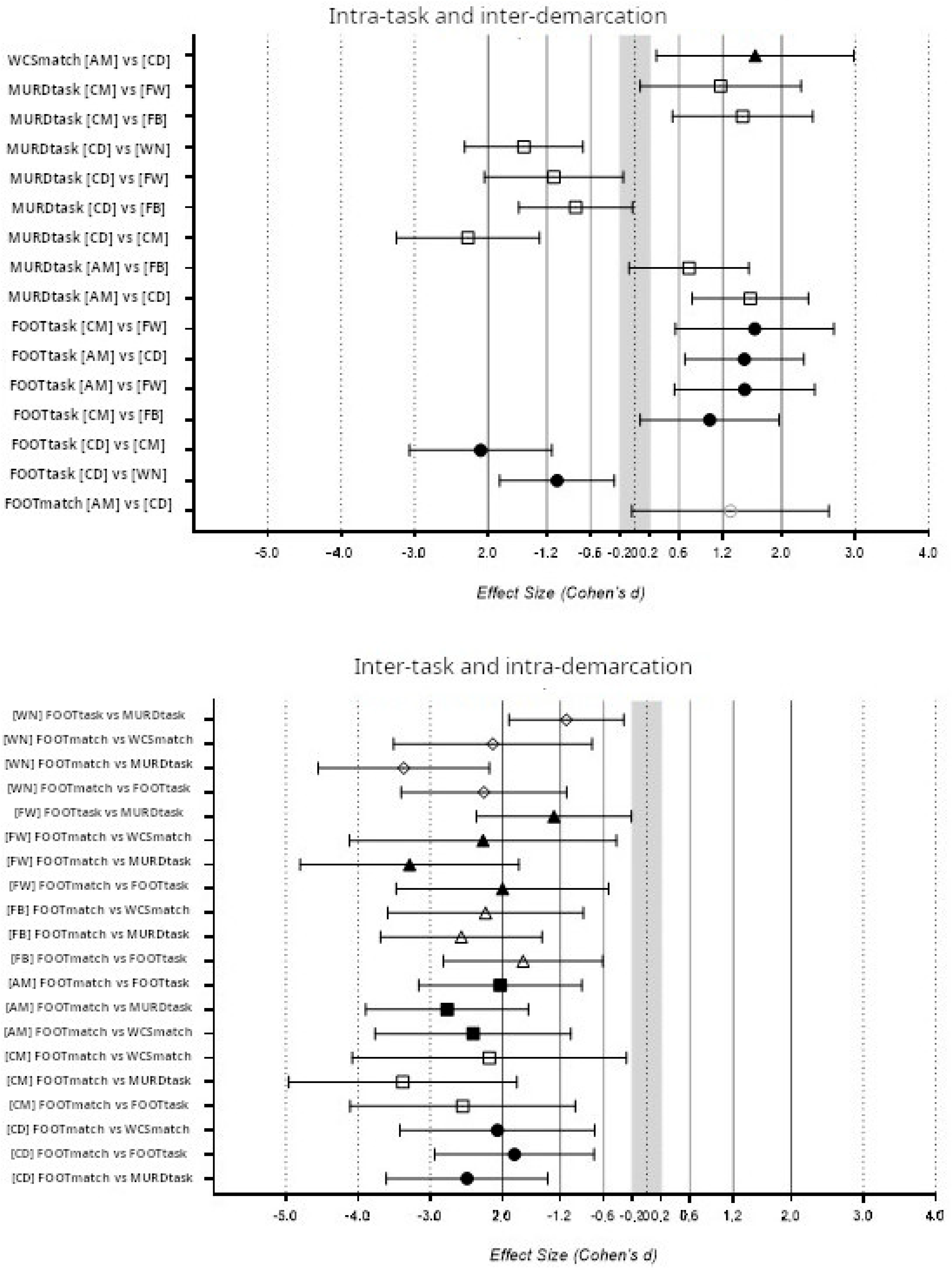
3. Results
4. Discussion
5. Conclusions
6. Practical Applications
Author Contributions
Funding
Institutional Review Board Statement
Informed Consent Statement
Data Availability Statement
Conflicts of Interest
References
- Clemente, F.M.; Afonso, J.; Sarmento, H. Small sided games: An umbrella review of systematic reviews and meta analyses. PLoS ONE 2021, 16, e0247067. [Google Scholar] [CrossRef]
- Beato, M.; Vicens Bordas, J.; Peña, J.; Costin, A.J. Training load comparison between small, medium, and large sided games in professional football. Front. Sports Act. Living 2023, 5, 1165242. [Google Scholar] [CrossRef]
- Asian Clemente, J.; Requena, B.; Owen, A.; Santalla, A. External workload compared between competitive and non competitive matches for professional male soccer players. J. Hum. Kinet. 2022, 83, 175–184. [Google Scholar] [CrossRef] [PubMed]
- Kyprianou, E.; Di Salvo, V.; Lolli, L.; Al Haddad, H.; Villanueva, A.M.; Gregson, W.; Weston, M. To measure peak velocity in soccer, let the players sprint. J. Strength Cond. Res. 2019, 36, 273–276. [Google Scholar] [CrossRef] [PubMed]
- Martin García, A.; Castellano, J.; Diaz, A.G.; Cos, F.; Casamichana, D. Positional demands for various sided games with goalkeepers according to the most demanding passages of match play in football. Biol. Sport. 2019, 36, 171–180. [Google Scholar] [CrossRef] [PubMed]
- Mernagh, D.; Weldon, A.; Wass, J.; Phillips, J.; Parmar, N.; Waldron, M.; Turner, A. A comparison of match demands using ball in play versus whole match data in professional soccer players of the English Championship. Sports 2021, 9, 76. [Google Scholar] [CrossRef]
- de Dios-Álvarez, V.; Castellano, J.; Padrón-Cabo, A.; Rey, E. Do small sided games prepare players for the worst case scenarios of match play in elite young soccer players? Biol. Sport 2024, 41, 95–106. [Google Scholar] [CrossRef]
- Sydney, M.G.; Wollin, M.; Chapman, D.W.; Ball, N.; Mara, J.K. Do conditioning focused various sided training games prepare elite youth male soccer players for the demands of competition? Biol. Sport 2022, 39, 825–832. [Google Scholar] [CrossRef]
- Lacome, M.; Simpson, B.M.; Cholley, Y.; Lambert, P.; Buchheit, M. Small sided games in elite soccer: Does one size fit all? Int. J. Sports Physiol. Perform. 2018, 13, 568–576. [Google Scholar] [CrossRef]
- Martin-Garcia, A.; Casamichana, D.; Gomez Diaz, A.; Cos, F.; Gabbett, T.J. Positional differences in the most demanding passages of play in football competition. J. Sports Sci. Med. 2018, 17, 563–570. [Google Scholar]
- Ade, J.; Fitzpatrick, J.; Bradley, P.S. High intensity efforts in elite soccer matches and associated movement patterns, technical skills and tactical actions. J. Sports Sci. 2016, 34, 2205–2214. [Google Scholar] [CrossRef] [PubMed]
- Oliva-Lozano, J.M.; Martín-Fuentes, I.; Fortes, V.; Muyor, J.M. Differences in worst case scenarios calculated by fixed length and rolling average methods in professional soccer match play. Biol. Sport 2021, 38, 325–331. [Google Scholar] [CrossRef]
- Zurutuza, U.; Castellano, J. Comparison of the physical response, in absolute terms and relative to the competition, of different game formats in football taking into account the demarcation of players. Cuad. Psicol. Deporte 2020, 20, 190–200. [Google Scholar] [CrossRef]
- Novak, A.R.; Impellizzeri, F.M.; Trivedi, A.; Coutts, A.J.; McCall, A. Analysis of the worst case scenarios in an elite football team: Towards a better understanding and application. J. Sports Sci. 2021, 39, 1850–1859. [Google Scholar] [CrossRef]
- Oliva-Lozano, J.M.; Rojas-Valverde, D.; Gómez-Carmona, C.D.; Fortes, V.; Pino-Ortega, J. Worst case scenario match analysis and contextual variables in professional soccer players: A longitudinal study. Biol. Sport 2020, 37, 429–436. [Google Scholar] [CrossRef] [PubMed]
- Fereday, K.; Hills, S.P.; Russell, M.; Smith, J.; Cunningham, D.J.; Shearer, D.; McNarry, M.; Kilduff, L.P. A comparison of rolling averages versus discrete time epochs for assessing the worst case scenario locomotor demands of professional soccer match play. J. Sci. Med. Sport 2020, 23, 764–769. [Google Scholar] [CrossRef]
- Bastida Castillo, A.; Gómez Carmona, C.D.; De la Cruz Sánchez, E.; Pino Ortega, J. Accuracy, intra and inter unit reliability, and comparison between GPS and UWB based position tracking systems used for time motion analyses in soccer. Eur. J. Sport Sci. 2018, 18, 450–457. [Google Scholar] [CrossRef]
- Asian-Clemente, J.; Rabano-Muñoz, A.; Muñoz, B.; Franco, J.; Suarez-Arrones, L. Can small sided games provide adequate high speed training in professional soccer? Int. J. Sports Med. 2021, 42, 523–528. [Google Scholar] [CrossRef] [PubMed]
- Hodgson, C.; Akenhead, R.; Thomas, K. Time motion analysis of acceleration demands of 4v4 small sided soccer games played on different pitch sizes. Hum. Mov. Sci. 2014, 33, 25–32. [Google Scholar] [CrossRef]
- Buchheit, M.; Settembre, M.; Hader, K.; McHugh, D. Exposures to near to maximal speed running bouts during different turnarounds in elite football: Association with match hamstring injuries. Biol. Sport 2023, 40, 1057–1067. [Google Scholar] [CrossRef]
- Batterham, A.; Hopkins, W. Making meaningful inferences about magnitudes. Int. J. Sports Physiol. Perform. 2006, 1, 50–57. [Google Scholar] [CrossRef] [PubMed]
- Asian-Clemente, J.A.; Muñoz, B.; Beltran-Garrido, J.V.; Requena, B. Possession or position games: What is the key in soccer? Biol. Sport 2024, 41, 109–117. [Google Scholar] [CrossRef]
- Santos, F.; Clemente, F.M.; Sarmento, H.; Ferreira, C.; Figueiredo, T.; Hernández-Beltrán, V.; Gamonales, J.M.; Espada, M. External load of different format small-sided games in youth football players in relation to age. Int. J. Sports Sci. Coach. 2024, 19, 2024–2034. [Google Scholar] [CrossRef]
- Beato, M.; Bertinato, L.; Schena, F. High volume training with small sided games affects technical demands in football: A descriptive study. Sport Sci. Health 2014, 10, 219–223. [Google Scholar] [CrossRef]
- Fernández Espínola, C.; Abad Robles, M.T.; Giménez Fuentes Guerra, F.J. Small sided games as a methodological resource for team sports teaching: A systematic review. Int. J. Environ. Res. Public Health 2020, 17, 1884. [Google Scholar] [CrossRef]
- Rumpf, M.C.; Jäger, J.; Clemente, F.M.; Altmann, S.; Lochmann, M. The effect of relative pitch size on physiological, physical, technical and tactical variables in small-sided games: A literature review and practical guide. Front. Sports Act Living 2025, 6, 1592536. [Google Scholar] [CrossRef] [PubMed]
- Riboli, A.; Esposito, F.; Coratella, G. Small sided games in elite football: Practical solutions to replicate the 4 min match derived maximal intensities. J. Strength Cond. Res. 2023, 37, 366–374. [Google Scholar] [CrossRef]
- Faude, O.; Koch, T.; Meyer, T. Straight sprinting is the most frequent action in goal situations in professional football. J. Sports Sci. 2012, 30, 625–631. [Google Scholar] [CrossRef]
- Clemente, F.M.; Soylu, Y.; Arslan, E.; Kilit, B.; Garrett, J.; van den Hoek, D.; Badicu, G.; Silva, A.F. Can high intensity interval training and small sided games be effective for improving physical fitness after detraining? PeerJ 2022, 10, e13514. [Google Scholar] [CrossRef]
- Malone, S.; Owen, A.; Mendes, B.; Hughes, B.; Collins, K.; Gabbett, T.J. High speed running and sprinting as an injury risk factor in soccer: Can well developed physical qualities reduce the risk? J. Sci. Med. Sport 2018, 21, 257–262. [Google Scholar] [CrossRef] [PubMed]
- Bradley, P.S.; Dellal, A.; Mohr, M.; Castellano, J.; Wilkie, A. Gender differences in match performance characteristics of soccer players competing in the UEFA Champions League. Hum. Mov. Sci. 2014, 33, 159–171. [Google Scholar] [CrossRef] [PubMed]
- Arslan, E.; Orer, G.; Clemente, F.M. Running based high intensity interval training vs small sided game training programs: Effects on the physical performance, psychophysiological responses and technical skills in young soccer players. Biol. Sport 2020, 37, 165–173. [Google Scholar] [CrossRef] [PubMed]
- Dalen, T.; Jørgen, I.; Gertjan, E.; Havard, H.G.; Ulrik, W. Player load, acceleration, and deceleration during forty five competitive matches of elite soccer. J. Strength Cond. Res. 2016, 30, 351–359. [Google Scholar] [CrossRef] [PubMed]
- Sonderegger, K.; Tschopp, M.; Taube, W. The challenge of evaluating the intensity of short actions in soccer: A new methodological approach using percentage acceleration. PLoS ONE 2016, 11, e0166534. [Google Scholar] [CrossRef]


| Activity | |||||
|---|---|---|---|---|---|
| Variables | FOOTmatch (1) | FOOTtask (2) | MURDtask (3) | MDSmatch (4) | Effect Size (95%CI) |
| TD (m·min−1) | 115.8 ± 8.2 | 137.6 ± 13.7 1 | 147.3 ± 13.5 124 | 139.9 ± 11.0 1 | (1) vs. (2) = −1.71(−2.08/−1.34) (1) vs. (3) = −2.47(−2.86/−2.09) (1) vs. (4) = −1.89(−2.33/−1.45) (2) vs. (3) = −0.77(−1.02/−0.51) (3) vs. (4) = 0.58(0.24/0.93) |
| TD21 (m·min−1) | 5.8 ± 2.3 | 9.9 ± 6.5 1 | 11.1 ± 7.2 1 | 16.6 ± 5.6 123 | (1) vs. (2) = −0.64(−0.99/−0.30) (1) vs. (3) = −0.84(−1.19/−0.49) (1) vs. (4) = −1.72(−2.16/−1.28) (2) vs. (4) = −1.07(−1.43/−0.72) (3) vs. (4) = −0.88(−1.23/−0.53) |
| TD24 (m·min−1) | 2.5 ± 1.6 | 7.6 ± 8.2 1 | 8.8 ± 8.9 1 | 8.9 ± 4.3 1 | (1) vs. (2) = −0.68(−1.03/−0.33) (1) vs. (3) = −0.83(−1.18/−0.48) (1) vs. (4) = −0.85(−1.27/−0.43) |
| TD28 (m·min−1) | 0.5 ± 0.5 | 0.6 ± 1.6 | 0.6 ± 1.3 | 2.9 ± 2.7 123 | (1) vs. (4) = −1.52(−1.95/−1.09) (2) vs. (4) = −1.45(−1.81/−1.09) (3) vs. (4) = −1.46(−1.82/−1.10) |
| ACC3 (n·min−1) | 0.7 ± 0.2 | 0.9 ± 0.4 | 0.9 ± 0.5 | 1.7 ± 0.6 123 | (1) vs. (4) = −2.20(−2.65/−1.75) (2) vs. (4) = −1.92(−2.29/−1.54) (3) vs. (4) = −1.79(−2.16/−1.42) |
| DEC3 (n·min−1) | 0.9 ± 0.2 | 1.6 ± 0.9 1 | 2.1 ± 1.2 12 | 1.9 ± 0.5 1 | (1) vs. (2) = −0.74(−1.09/−0.39) (1) vs. (3) = −1.22(−1.57/−0.86) (1) vs. (4) = −1.02(−1.44/−0.59) (2) vs. (3) = −0.48(−0.72/−0.23) |
| ACC4 (n·min−1) | 0.1 ± 0.1 | 0.1 ± 0.2 1 | 0.1 ± 0.2 | 0.6 ± 0.3 123 | (1) vs. (4) = −2.32(−2.77/−1.86) (2) vs. (4) = −2.35(−2.73/−1.96) (3) vs. (4) = −2.39(−2.77/−2.00) (1) vs. (2) = −0.46(−0.81/−0.12) |
| DEC4 (n·min−1) | 0.3 ± 0.1 | 0.4 ± 0.3 | 0.4 ± 0.3 | 0.8 ± 0.3 123 | (1) vs. (4) = −2.02(−2.46/−1.57) (2) vs. (4) = −1.55(−1.92/−1.19) (3) vs. (4) = −1.70(−2.06/−1.33) |
| Players | Activity | |||||
|---|---|---|---|---|---|---|
| Variable | Demarcations | FOOTmatch | FOOTtask | MURDtask | MDSmatch | ES (Range) |
| TD21 | AM | 5.2 ± 1.4 | 8.9 ± 5.4 | 8.9 ± 6.1 | 15.9 ± 4.4 1 | 1.86 |
| CD | 4.1 ± 1.4 | 7.4 ± 5.9 | 9.0 ± 6.1 | 13.1 ± 4.6 1 | 1.58 | |
| CM | 3.5 ± 1.1 | 6.3 ± 4.3 | 7.1 ± 5.0 | 10.4 ± 2.4 | ||
| FB | 7.2 ± 1.9 | 12.9 ± 6.9 a,b,d | 14.4 ± 8.4 1,b | 19.4 ± 5.0 1,2 | 1.14–2.12 | |
| FW | 8.1 ± 1.8 | 7.5 ± 4.8 | 12.0 ± 6.6 | 21.3 ± 6.3 1,2,3,b | 1.61–2.39 | |
| WN | 6.9 ± 2.3 | 13.3 ± 6.4 1,a,b,d | 13.9 ± 6.7 b | 18.8 ± 4.3 1 | 1.11–2.07 | |
| ES (range) | 0.94–1.21 | 1.19–1.27 | 1.89 | |||
| TD24 | AM | 1.9 ± 1.3 | 6.2 ± 7.9 | 5.7 ± 6.4 | 7.8 ± 3.8 | |
| CD | 1.6 ± 0.8 | 5.9 ± 6.9 | 7.8 ± 7.9 | 7.4 ± 3.6 | ||
| CM | 0.8 ± 0.7 | 3.4 ± 5.4 | 4.6 ± 4.6 | 3.4 ± 1.8 | ||
| FB | 3.1 ± 1.2 | 11.5 ± 10.1 1,a,b,d | 13.0 ± 11.4 1,e,b | 10.5 ± 2.9 | 1.17–1.38 | |
| FW | 4.1 ± 1.4 | 4.9 ± 5.0 | 8.9 ± 8.6 | 13.2 ± 5.8 | ||
| WN | 3.2 ± 1.8 | 10.4 ± 7.9 b | 10.8 ± 9.2 | 10.7 ± 2.9 | ||
| ES (range) | 0.78–1.13 | 1.02–1.16 | ||||
| TD28 | AM | 0.3 ± 0.4 | 0.5 ± 1.2 | 0.2 ± 0.8 | 2.1 ± 2.0 2,3,b | 1.1–1.28 |
| CD | 0.3 ± 0.3 | 0.4 ± 1.3 | 0.4 ± 0.8 | 1.7 ± 1.4 b | ||
| CM | 0.0 ± 0.1 | 0.3 ± 0.9 | 0.0 ± 0.0 | 0.4 ± 0.7 | ||
| FB | 0.6 ± 0.6 | 1.1 ± 2.6 | 1.2 ± 2.2 | 3.6 ± 2.8 1,2,3,b | 1.57–2.02 | |
| FW | 1.1 ± 0.7 | 0.3 ± 1.0 | 0.9 ± 1.5 | 6.0 ± 3.1 1,2,3,b,c | 3.31–3.83 | |
| WN | 0.6 ± 0.6 | 0.6 ± 1.1 | 0.6 ± 1.1 | 3.8 ± 2.7 1,2,3,a,b | 2.15–2.19 | |
| ES (range) | 1.42–3.77 | |||||
| ACC3 | AM | 0.7 ± 0.1 | 0.8 ± 0.4 | 0.7 ± 0.3 | 1.7 ± 0.7 1,2,3 | 2.36–2.58 |
| CD | 0.7 ± 0.1 | 0.7 ± 0.3 | 0.8 ± 0.5 | 1.7 ± 0.7 1,2,3 | 2.13–2.3 | |
| CM | 0.6 ± 0.1 | 0.5 ± 0.3 | 0.7 ± 0.3 | 1.4 ± 0.6 1,2,3 | 1.61−1.98 | |
| FB | 0.8 ± 0.2 | 1.0 ± 0.4 b | 1.0 ± 0.4 | 1.9 ± 0.7 1,2,3 | 2.12–2.59 | |
| FW | 0.8 ± 0.3 | 1.0 ± 0.4 b | 0.9 ± 0.4 | 1.6 ± 0.7 1 | 1.87 | |
| WN | 0.8 ± 0.1 | 1.1 ± 0.4 a,b,e | 1.3 ± 0.5 a,b,e | 1.8 ± 0.6 1,2,3 | 1.27–2.51 | |
| ES (range) | 0.77–1.32 | 1.28–1.49 | ||||
| DEC3 | AM | 0.9 ± 0.2 | 1.7 ± 0.9 | 2.0 ± 1.1 | 1.9 ± 0.4 | |
| CD | 0.8 ± 0.2 | 1.1 ± 0.6 | 1.7 ± 1.0 | 1.7 ± 0.4 | ||
| CM | 0.9 ± 0.2 | 1.3 ± 0.6 | 1.8 ± 1.2 | 1.8 ± 0.3 | ||
| FB | 1.0 ± 0.2 | 1.8 ± 0.9 a | 2.1 ± 1.0 | 1.9 ± 0.4 | ||
| FW | 1.0 ± 0.3 | 1.8 ± 0.8 | 2.1 ± 1.0 | 2.0 ± 1.0 | ||
| WN | 1.0 ± 0.3 | 2.0 ± 1.21 1,a | 2.6 ± 1.5 1,a | 2.0 ± 0.4 | 1.09–1.76 | |
| ES (range) | 0.78 | 1.01 | ||||
| ACC4 | AM | 0.1 ± 0.1 | 0.1 ± 0.1 | 0.1 ± 0.2 | 0.4 ± 0.2 1,2,3 | 1.89–1.96 |
| CD | 0.1 ± 0.1 | 0.1 ± 0.2 | 0.1 ± 0.1 | 0.6 ± 0.3 1,2,3 | 2.45–2.59 | |
| CM | 0.1 ± 0.0 | 0.1 ± 0.1 | 0.1 ± 0.1 | 0.4 ± 0.2 1,2,3 | 1.88–2.12 | |
| FB | 0.2 ± 0.1 | 0.2 ± 0.2 | 0.2 ± 0.2 | 0.7 ± 0.4 1,2,3,e | 2.89–3.06 | |
| FW | 0.2 ± 0.1 | 0.1 ± 0.1 | 0.1 ± 0.1 | 0.6 ± 0.2 1,2,3 | 2.45–2.73 | |
| WN | 0.2 ± 0.1 | 0.2 ± 0.2 b | 0.2 ± 0.2 | 0.6 ± 0.3 1,2,3 | 2.33–2.49 | |
| ES (range) | 0.99 | 1.41 | ||||
| DEC4 | AM | 0.3 ± 0.1 | 0.4 ± 0.3 | 0.3 ± 0.3 | 0.8 ± 0.3 1,2,3 | 1.75–2.15 |
| CD | 0.2 ± 0.1 | 0.2 ± 0.2 | 0.3 ± 0.3 | 0.7 ± 0.2 1,2,3 | 1.76–1.83 | |
| CM | 0.2 ± 0.1 | 0.4 ± 0.3 | 0.3 ± 0.3 | 0.7 ± 0.2 1,3 | 1.59–1.96 | |
| FB | 0.3 ± 0.1 | 0.5 ± 0.3 a | 0.4 ± 0.2 | 0.9 ± 0.2 1,2,3 | 1.73–2.31 | |
| FW | 0.4 ± 0.1 | 0.5 ± 0.3 a | 0.4 ± 0.3 | 0.9 ± 0.2 1,2,3 | 1.88–2.23 | |
| WN | 0.4 ± 0.1 | 0.6 ± 0.3 a | 0.5 ± 0.3 | 0.9 ± 0.2 1,2 | 1.34–2.21 | |
| ES (range) | 0.90–1.44 | |||||
Disclaimer/Publisher’s Note: The statements, opinions and data contained in all publications are solely those of the individual author(s) and contributor(s) and not of MDPI and/or the editor(s). MDPI and/or the editor(s) disclaim responsibility for any injury to people or property resulting from any ideas, methods, instructions or products referred to in the content. |
© 2025 by the authors. Licensee MDPI, Basel, Switzerland. This article is an open access article distributed under the terms and conditions of the Creative Commons Attribution (CC BY) license (https://creativecommons.org/licenses/by/4.0/).
Share and Cite
Casamichana, D.; Ulloa, I.; Agirrezabalaga, O.; Etxeazarra, I.; González de Suso, J.M.; Azurza, A.; Calzon, B.; Arrieta, J.M.; Sasiain, I.; Ollora, J.; et al. Can We Replicate the Most Demanding Periods of Official Football Matches in Large-Sided Training Games? J. Funct. Morphol. Kinesiol. 2025, 10, 410. https://doi.org/10.3390/jfmk10040410
Casamichana D, Ulloa I, Agirrezabalaga O, Etxeazarra I, González de Suso JM, Azurza A, Calzon B, Arrieta JM, Sasiain I, Ollora J, et al. Can We Replicate the Most Demanding Periods of Official Football Matches in Large-Sided Training Games? Journal of Functional Morphology and Kinesiology. 2025; 10(4):410. https://doi.org/10.3390/jfmk10040410
Chicago/Turabian StyleCasamichana, David, Iñaki Ulloa, Oier Agirrezabalaga, Ibon Etxeazarra, José Manuel González de Suso, Alfonso Azurza, Bixen Calzon, Jon Mikel Arrieta, Iñigo Sasiain, Jon Ollora, and et al. 2025. "Can We Replicate the Most Demanding Periods of Official Football Matches in Large-Sided Training Games?" Journal of Functional Morphology and Kinesiology 10, no. 4: 410. https://doi.org/10.3390/jfmk10040410
APA StyleCasamichana, D., Ulloa, I., Agirrezabalaga, O., Etxeazarra, I., González de Suso, J. M., Azurza, A., Calzon, B., Arrieta, J. M., Sasiain, I., Ollora, J., Barba, E., Erkizia, B., Lazkano, A., Clemente, F. M., & Castellano, J. (2025). Can We Replicate the Most Demanding Periods of Official Football Matches in Large-Sided Training Games? Journal of Functional Morphology and Kinesiology, 10(4), 410. https://doi.org/10.3390/jfmk10040410

