Use of Handgrip Strength as a Health Indicator in Public Sector Workers: A Cross-Sectional Study
Abstract
1. Introduction
2. Materials and Methods
2.1. Type of Study, Site, and Sample
2.2. Inclusion and Exclusion Criteria
2.3. Experimental Design
2.4. Procedures
2.4.1. Physical Activity Level (PAL)
2.4.2. Body Mass and Height
2.4.3. Body Composition
2.4.4. Handgrip Strength (HGS)
2.4.5. Flexibility
2.4.6. Lower Limb Endurance
2.5. Statistical Analysis
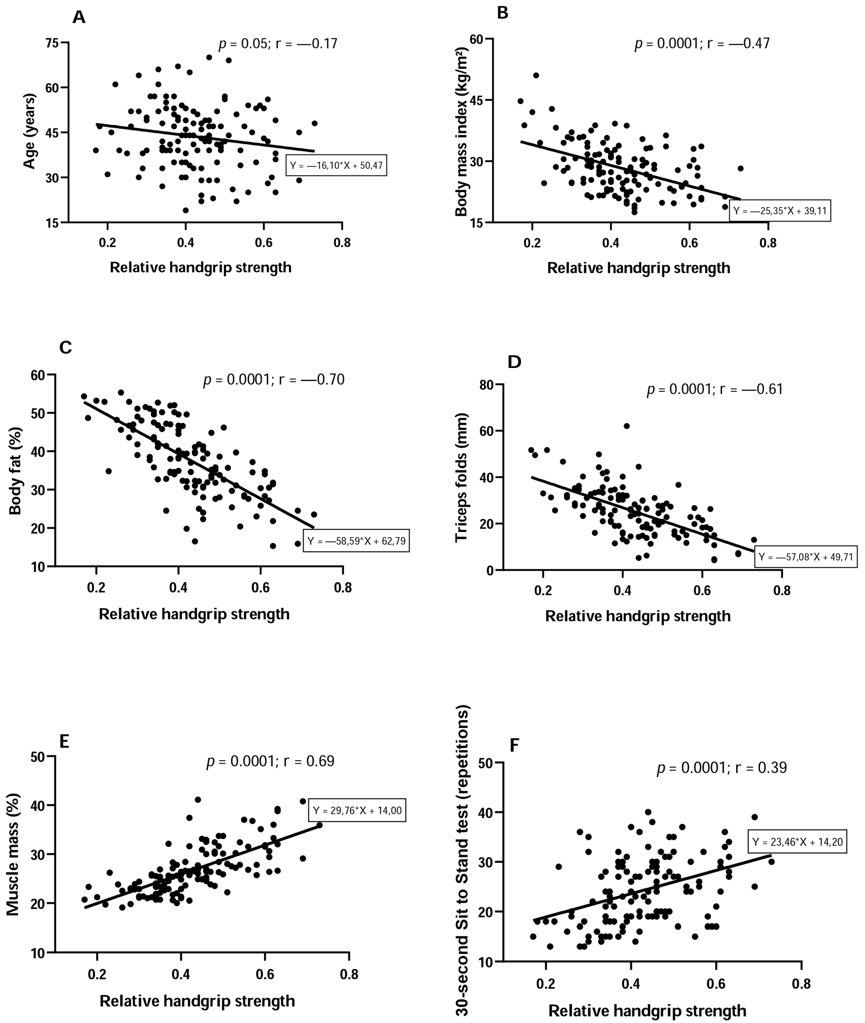
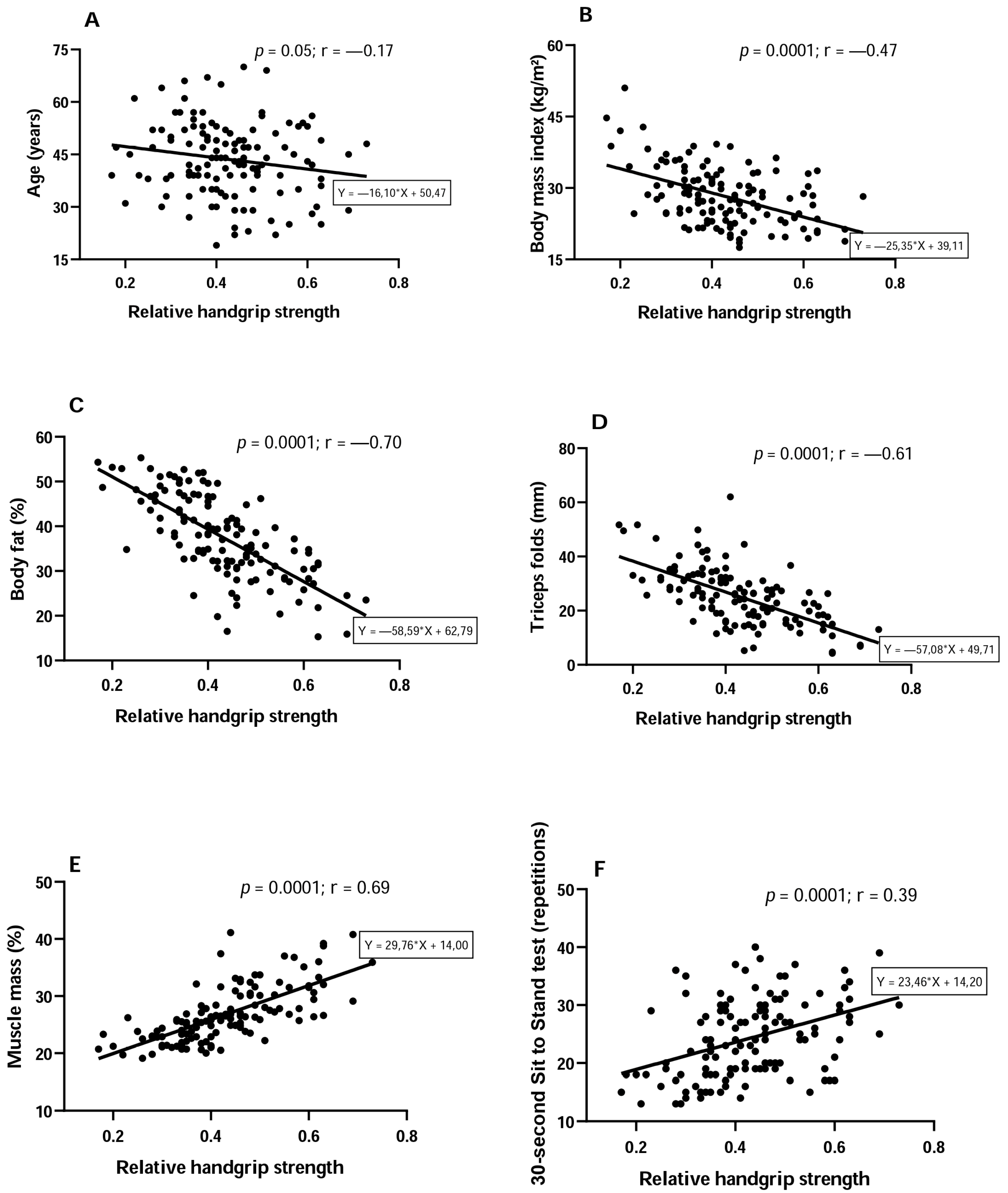
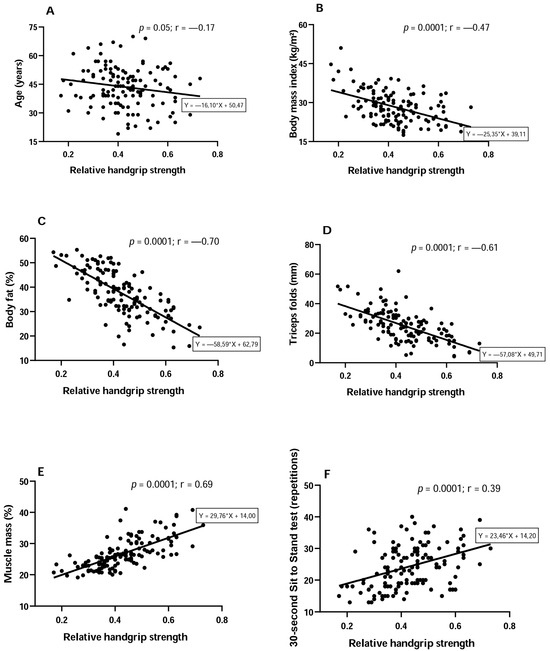
3. Results
4. Discussion
5. Conclusions
Author Contributions
Funding
Institutional Review Board Statement
Informed Consent Statement
Data Availability Statement
Conflicts of Interest
References
- Cassee, F.R.; Bleeker, E.A.J.; Durand, C.; Exner, T.; Falk, A.; Friedrichs, S.; Heunisch, E.; Himly, M.; Hofer, S.; Hofstätter, N.; et al. Roadmap towards safe and sustainable advanced and innovative materials. Comput. Struct. Biotechnol. J. 2024, 2, 105–126. [Google Scholar] [CrossRef] [PubMed]
- Useche, S.A.; Robayo, S.; Orozco-Fontalvo, M. The hidden cost of your ‘too fast food’: Stress-related factors and fatigue predict food delivery riders’ occupational crashes. Int. J. Occup. Saf. Ergon. 2024, 30, 825–834. [Google Scholar] [CrossRef] [PubMed]
- Üngüren, E.; Tekin, Ö.A. The relationship between workplace toxicity, stress, physical activity and emotional eating. Int. J. Occup. Saf. Ergon. 2024, 30, 215–223. [Google Scholar] [CrossRef]
- Tamers, S.L.; Beresford, S.A.; Cheadle, A.D.; Zheng, Y.; Bishop, S.K.; Thompson, B. The association between worksite social support, diet, physical activity and body mass index. Prev. Med. 2011, 53, 53–56. [Google Scholar] [CrossRef]
- Pappa, S.; Ntella, V.; Giannakas, T.; Giannakoulis, V.G.; Papoutsi, E.; Katsaounou, P. Prevalence of depression, anxiety, and insomnia among healthcare workers during the COVID-19 pandemic: A systematic review and meta-analysis. Brain Behav. Immun. 2020, 88, 901–907. [Google Scholar] [CrossRef]
- Larsen, F.B.; Lasgaard, M.; Willert, M.V.; Sørensen, J.B. Estimating the causal effects of work-related and non-work-related stressors on perceived stress level: A fixed effects approach using population-based panel data. PLoS ONE 2023, 18, e0290410. [Google Scholar] [CrossRef]
- Tazzeo, C.; Zucchelli, A.; Vetrano, D.L.; Demurtas, J.; Smith, L.; Schoene, D.; Sanchez-Rodriguez, D.; Onder, G.; Balci, C.; Bonetti, S.; et al. Risk factors for multimorbidity in adulthood: A systematic review. Ageing Res. Rev. 2023, 91, 102039. [Google Scholar] [CrossRef]
- Martinez, R.; Lloyd-Sherlock, P.; Soliz, P.; Ebrahim, S.; Vega, E.; Ordunez, P.; McKee, M. Trends in premature avertable mortality from non-communicable diseases for 195 countries and territories, 1990–2017: A population-based study. Lancet Glob. Health 2020, 8, e511–e523. [Google Scholar] [CrossRef]
- Tchir, D.R.; Szafron, M.L. Occupational Health Needs and Predicted Well-Being in Office Workers Undergoing Web-Based Health Promotion Training: Cross-Sectional Study. J. Med. Internet Res. 2020, 22, e14093. [Google Scholar] [CrossRef]
- Cohen, C.; Pignata, S.; Bezak, E.; Tie, M.; Childs, J. Workplace interventions to improve well-being and reduce burnout for nurses, physicians and allied healthcare professionals: A systematic review. BMJ Open 2023, 13, e071203. [Google Scholar] [CrossRef]
- Katzmarzyk, P.T.; Powell, K.E.; Jakicic, J.M.; Troiano, R.P.; Piercy, K.; Tennant, B. Sedentary Behavior and Health: Update from the 2018 Physical Activity Guidelines Advisory Committee. Med. Sci. Sports Exerc. 2019, 51, 1227–1241. [Google Scholar] [CrossRef] [PubMed]
- Mixter, S.; Mathiassen, S.E.; Bjärntoft, S.; Lindfors, P.; Lyskov, E.; Hallman, D.M. Fatigue, Stress, and Performance during Alternating Physical and Cognitive Tasks-Effects of the Temporal Pattern of Alternations. Ann. Work. Expo. Health 2021, 65, 1107–1122. [Google Scholar] [CrossRef] [PubMed]
- Alavi, S.S.; Abbasi, M.; Mehrdad, R. Risk Factors for Upper Extremity Musculoskeletal Disorders Among Office Workers in Qom Province, Iran. Iran. Red. Crescent Med. J. 2016, 18, e29518. [Google Scholar] [CrossRef] [PubMed]
- Myles, L.; Massy-Westropp, N.; Barnett, F. Exploring anthropometric and functional factors that influence working adult’s handgrip strength in north Australia. Work 2024, 79, 1027–1037. [Google Scholar] [CrossRef]
- Wen, Z.; Gu, J.; Chen, R.; Wang, Q.; Ding, N.; Meng, L.; Wang, X.; Liu, H.; Sheng, Z.; Zheng, H. Handgrip Strength and Muscle Quality: Results from the National Health and Nutrition Examination Survey Database. J. Clin. Med. 2023, 12, 3184. [Google Scholar] [CrossRef]
- Gouvêa-E-Silva, L.F.; Brito, E.R.; Sol, N.C.C.; Fernandes, E.V.; Xavier, M.B. Relationship of handgrip strength with health indicators of people living with HIV in west Pará, Brazil. Int. J. STD AIDS 2023, 34, 932–939. [Google Scholar] [CrossRef]
- Kaur, P.; Bansal, R.; Bhargava, B.; Mishra, S.; Gill, H.; Mithal, A. Decreased handgrip strength in patients with type 2 diabetes: A cross-sectional study in a tertiary care hospital in north India. Diabetes Metab. Syndr. 2021, 15, 325–329. [Google Scholar] [CrossRef]
- König, M.; Buchmann, N.; Seeland, U.; Spira, D.; Steinhagen-Thiessen, E.; Demuth, I. Low muscle strength and increased arterial stiffness go hand in hand. Sci. Rep. 2021, 11, 2906. [Google Scholar] [CrossRef]
- Park, S.; Kim, S.H.; Shin, J.Y. Combined association of skeletal muscle mass and grip strength with cardiovascular diseases in patients with type 2 diabetes. J. Diabetes 2021, 13, 1015–1024. [Google Scholar] [CrossRef]
- Li, G.; Lu, Y.; Shao, L.; Wu, L.; Qiao, Y.; Ding, Y.; Ke, C. Handgrip strength is associated with risks of new-onset stroke and heart disease: Results from 3 prospective cohorts. BMC Geriatr. 2023, 23, 268. [Google Scholar] [CrossRef]
- Hogan, J.; Schneider, M.F.; Pai, R.; Denburg, M.R.; Kogon, A.; Brooks, E.R.; Kaskel, F.J.; Reidy, K.J.; Saland, J.M.; Warady, B.A.; et al. Grip strength in children with chronic kidney disease. Pediatr. Nephrol. 2020, 35, 891–899. [Google Scholar] [CrossRef] [PubMed]
- Parra-Soto, S.; Pell, J.P.; Celis-Morales, C.; Ho, F.K. Absolute and relative grip strength as predictors of cancer: Prospective cohort study of 445 552 participants in UK Biobank. J. Cachexia Sarcopenia Muscle 2022, 13, 325–332. [Google Scholar] [CrossRef] [PubMed]
- Vaishya, R.; Misra, A.; Vaish, A.; Ursino, N.; D’Ambrosi, R. Hand grip strength as a proposed new vital sign of health: A narrative review of evidences. J. Health Popul. Nutr. 2024, 43, 7. [Google Scholar] [CrossRef] [PubMed]
- Pavana; Karampure, K. Grip Strength Assessed using a Hand Grip Dynamometer and Michigan Hand Outcome Questionnaire as Predictors of Work-Related Musculoskeletal Disorders using Rapid Upper Limb Assessment among Power Loom Silk Weavers. Indian J. Physiother. Occup. Ther. 2024, 18, 67–72. [Google Scholar] [CrossRef]
- Lee, S. Associations Between Dietary Patterns and Handgrip Strength: The Korea National Health and Nutrition Examination Survey 2014–2016. J. Am. Coll Nutr. 2020, 39, 488–494. [Google Scholar] [CrossRef]
- Lee, P.H.; Macfarlane, D.J.; Lam, T.H.; Stewart, S.M. Validity of the International Physical Activity Questionnaire Short Form (IPAQ-SF): A systematic review. Int. J. Behav. Nutr. Phys. Act. 2011, 8, 115. [Google Scholar] [CrossRef]
- Oliveira, D.M.; Gouvêa-e-Silva, L.F.; da Costa, V.S.; Villela, E.F.M.; Fernandes, E.V. Association between social isolation, level of physical activity, and sedentary behavior in pandemic times. Rev. Bras. Promoç. Saúde 2021, 34, 12280. [Google Scholar] [CrossRef]
- Weir, C.B.; Jan, A. BMI Classification Percentile And Cut Off Points. In StatPearls; InternetStatPearls Publishing: Treasure Island, FL, USA, 2023. Available online: https://www.ncbi.nlm.nih.gov/books/NBK541070/ (accessed on 2 April 2025).
- Ferreira, T.J.; Salvador, I.C.; Pessanha, C.R.; da Silva, R.R.M.; Pereira, A.D.; Horst, M.A.; Carvalho, D.P.; Koury, J.C.; Pierucci, A.P.T.R. Advances in the estimation of body fat percentage using an artificial intelligence 2D-photo method. NPJ Digit. Med. 2025, 8, 43. [Google Scholar] [CrossRef]
- Basso, G.D.B.; Siqueira, M.A.; Kono, E.M.; Souza, J.D.; Baseggio, L.T.; Fernandes, E.V.; Takanashi, S.Y.L.; Gouvêa-e-Silva, L.F. Relationship between handgrip strength and body composition and laboratory indicators in diabetic and hypertensive patients. Medicina 2023, 56, e-210088. [Google Scholar] [CrossRef]
- Heubel, A.D.; Gimenes, C.; Marques, T.S.; Arca, E.A.; Martinelli, B.; Barrile, S.R. Multicomponent training improves functional fitness and glycemic control in elderly people with type 2 diabetes. J. Phys. Educ. 2018, 29, e2922. [Google Scholar] [CrossRef]
- Ribeiro, C.C.A.; Abad, C.C.C.; Barros, R.V.; Barros Neto, T.L. Flexibility level obtained by the sit-and-reach test from a study conducted in Greater São Paulo. Braz. J. Cineantropon. Hum. Perform. 2010, 12, 415–421. [Google Scholar] [CrossRef]
- Lein, D.H., Jr.; Alotaibi, M.; Almutairi, M.; Singh, H. Normative Reference Values and Validity for the 30-Second Chair-Stand Test in Healthy Young Adults. Int. J. Sports Phys. Ther. 2022, 17, 907–914. [Google Scholar] [CrossRef] [PubMed]
- Demissie, B.; Bayih, E.T.; Demmelash, A.A. A systematic review of work-related musculoskeletal disorders and risk factors among computer users. Heliyon 2024, 10, e25075. [Google Scholar] [CrossRef]
- Booth, F.W.; Roberts, C.K.; Thyfault, J.P.; Ruegsegger, G.N.; Toedebusch, R.G. Role of Inactivity in Chronic Diseases: Evolutionary Insight and Pathophysiological Mechanisms. Physiol. Rev. 2017, 97, 1351–1402. [Google Scholar] [CrossRef]
- Zhao, M.; Wu, Z.; Huang, Y.; Jiang, Z.; Mo, X.; Lowis, H.; Zhao, Y.; Zhang, M. Role of the physical fitness test in risk prediction of diabetes among municipal in-service personnel in Guangxi. Medicine 2019, 98, e15842. [Google Scholar] [CrossRef]
- Tersa-Miralles, C.; Pastells-Peiró, R.; Rubí-Carnacea, F.; Bellon, F.; Rubinat Arnaldo, E. Effectiveness of workplace exercise interventions in the treatment of musculoskeletal disorders in office workers: A protocol of a systematic review. BMJ Open 2020, 10, e038854. [Google Scholar] [CrossRef]
- Friedenreich, C.; Lynch, B. Can living a less sedentary life decrease breast cancer risk in women? Women’s Health 2012, 8, 5–7. [Google Scholar] [CrossRef]
- Bácsné Bába, É.; Müller, A.; Pfau, C.; Balogh, R.; Bartha, É.; Szabados, G.; Bács, Z.; Ráthonyi-Ódor, K.; Ráthonyi, G. Sedentary Behavior Patterns of the Hungarian Adult Population. Int. J. Environ. Res. Public Health 2023, 20, 2702. [Google Scholar] [CrossRef]
- Evenson, K.R.; Alhusseini, N.; Moore, C.C.; Hamza, M.M.; Al-Qunaibet, A.; Rakic, S.; Alsukait, R.F.; Herbst, C.H.; AlAhmed, R.; Al-Hazzaa, H.M.; et al. Scoping Review of Population-Based Physical Activity and Sedentary Behavior in Saudi Arabia. J. Phys. Act. Health 2023, 20, 471–486. [Google Scholar] [CrossRef]
- Huang, H.C.; Chang, S.H.; Yang, X. Relationship between Sociodemographic and Health-Related Factors and Sedentary Time in Middle-Aged and Older Adults in Taiwan. Medicina 2024, 60, 444. [Google Scholar] [CrossRef]
- Mclaughlin, M.; Atkin, A.J.; Starr, L.; Hall, A.; Wolfenden, L.; Sutherland, R.; Wiggers, J.; Ramirez, A.; Hallal, P.; Pratt, M.; et al. Sedentary, Behaviour Council Global Monitoring Initiative Working Group. Worldwide surveillance of self-reported sitting time: A scoping review. Int. J. Behav. Nutr. Phys. Act. 2020, 17, 111. [Google Scholar] [CrossRef] [PubMed]
- Rocha, S.V.; Barbosa, A.R.; Araújo, T.M. Leisure-time physical inactivity among healthcare workers. Int. J. Occup. Med. Environ. Health 2018, 31, 251–260. [Google Scholar] [CrossRef] [PubMed]
- Elmaleh-Sachs, A.; Schwartz, J.L.; Bramante, C.T.; Nicklas, J.M.; Gudzune, K.A.; Jay, M. Obesity Management in Adults: A Review. JAMA 2023, 330, 2000–2015. [Google Scholar] [CrossRef] [PubMed]
- Tavares Amaro, M.G.; Conde de Almeida, R.A.; Marques Donalonso, B.; Mazzo, A.; Negrato, C.A. Prevalence of overweight and obesity among health professionals with shift work schedules: A scoping review. Chronobiol. Int. 2023, 40, 343–352. [Google Scholar] [CrossRef]
- Nuzzo, J.L. Narrative Review of Sex Differences in Muscle Strength, Endurance, Activation, Size, Fiber Type, and Strength Training Participation Rates, Preferences, Motivations, Injuries, and Neuromuscular Adaptations. J. Strength. Cond. Res. 2023, 37, 494–536. [Google Scholar] [CrossRef]
- Berger, G.K.; Rockov, Z.A.; Byrne, C.; Trentacosta, N.E.; Stone, M.A. The role of relaxin in anterior cruciate ligament injuries: A systematic review. Eur. J. Orthop. Surg. Traumatol. 2023, 33, 3319–3326. [Google Scholar] [CrossRef]
- Udo, T.; Grilo, C.M. Physical activity levels and correlates in nationally representative sample of U.S. adults with healthy weight, obesity, and binge-eating disorder. Int. J. Eat. Disord. 2020, 53, 85–95. [Google Scholar] [CrossRef]
- Lima, T.R.D.; Silva, D.A.S.; Kovaleski, D.F.; González-Chica, D.A. The association between muscle strength and sociodemographic and lifestyle factors in adults and the younger segment of the older population in a city in the south of Brazil. Cienc. Saude Coletiva 2018, 23, 3811–3820. [Google Scholar] [CrossRef]
- Seo, H.S.; Lee, H.; Kim, S.; Lee, S.K.; Lee, K.Y.; Kim, N.H.; Shin, C. Paravertebral Muscles as Indexes of Sarcopenia and Sarcopenic Obesity: Comparison With Imaging and Muscle Function Indexes and Impact on Cardiovascular and Metabolic Disorders. AJR Am. J. Roentgenol. 2021, 216, 1596–1606. [Google Scholar] [CrossRef]
- Stenholm, S.; Tiainen, K.; Rantanen, T.; Sainio, P.; Heliövaara, M.; Impivaara, O.; Koskinen, S. Long-term determinants of muscle strength decline: Prospective evidence from the 22-year mini-Finland follow-up survey. J. Am. Geriatr. Soc. 2012, 60, 77–85. [Google Scholar] [CrossRef]
- Monteiro, R.; Azevedo, I. Chronic inflammation in obesity and the metabolic syndrome. Mediat. Inflamm. 2010, 2010, 289645. [Google Scholar] [CrossRef] [PubMed]
- Zamboni, M.; Mazzali, G.; Fantin, F.; Rossi, A.; Di Francesco, V. Sarcopenic obesity: A new category of obesity in the elderly. Nutr. Metab. Cardiovasc. Dis. 2008, 18, 388–395. [Google Scholar] [CrossRef] [PubMed]
- Choi, S.J.; Files, D.C.; Zhang, T.; Wang, Z.M.; Messi, M.L.; Gregory, H.; Stone, J.; Lyles, M.F.; Dhar, S.; Marsh, A.P.; et al. Intramyocellular Lipid and Impaired Myofiber Contraction in Normal Weight and Obese Older Adults. J. Gerontol. A Biol. Sci. Med. Sci. 2016, 71, 557–564. [Google Scholar] [CrossRef]
- Wan, X.; Ji, Y.; Wang, R.; Yang, H.; Cao, X.; Lu, S. Association between systemic immune-inflammation index and sarcopenic obesity in middle-aged and elderly Chinese adults: A cross-sectional study and mediation analysis. Lipids Health Dis. 2024, 23, 230. [Google Scholar] [CrossRef]
- Silva, N.A.; de Menezes, T.N.; de Melo, R.L.P.; Pedraza, D.F. Handgrip strength and flexibility and their association with anthropometric variables in the elderly. Rev. Assoc. Médica Bras. 2013, 59, 128–135. [Google Scholar] [CrossRef]
- Ballarin, G.; Valerio, G.; Alicante, P.; Di Vincenzo, O.; Monfrecola, F.; Scalfi, L. Could BIA-derived phase angle predict health-related musculoskeletal fitness? A cross-sectional study in young adults. Nutrition 2024, 122, 112388. [Google Scholar] [CrossRef]
- Smith, L.; López Sánchez, G.F.; Veronese, N.; Soysal, P.; Kostev, K.; Jacob, L.; Rahmati, M.; Kujawska, A.; Tully, M.A.; Butler, L.; et al. Association Between Pain and Sarcopenia Among Adults Aged ≥65 Years from Low- and Middle-Income Countries. J. Gerontol. A Biol. Sci. Med. Sci. 2023, 78, 1020–1027. [Google Scholar] [CrossRef]
- Jung, H.I.; Gu, K.M.; Park, S.Y.; Baek, M.S.; Kim, W.Y.; Choi, J.C.; Shin, J.W.; Kim, J.Y.; Chang, Y.D.; Jung, J.W. Correlation of handgrip strength with quality of life-adjusted pulmonary function in adults. PLoS ONE 2024, 19, e0300295. [Google Scholar] [CrossRef]
- Kim, S.H.; Kim, T.; Park, J.C.; Kim, Y.H. Usefulness of hand grip strength to estimate other physical fitness parameters in older adults. Sci. Rep. 2022, 12, 17496. [Google Scholar] [CrossRef]
- Yang, J.; Lee, W. Relationship Between Sedentary Lifestyle and Handgrip Strength Among Korean Workers. J. Occup. Environ. Med. 2025, 67, e239–e243. [Google Scholar] [CrossRef]

| Variables | Male | Female |
|---|---|---|
| n (%) | n (%) | |
| Function | ||
| Administrative sector | 24 (77.4) | 63 (64.3) |
| Healthcare professional | 07 (22.6) | 35 (35.7) |
| Age (years) | ||
| <40 | 11 (35.5) | 36 (36.7) |
| ≥40 | 20 (64.5) | 62 (63.3) |
| CNCD | ||
| Yes | 17 (54.8) | 63 (64.3) |
| No | 14 (45.2) | 35 (35.7) |
| PAL | ||
| Active | 12 (38.7) | 47 (48.0) |
| Inactive | 19 (61.3) | 5 (52.0) |
| BMI (kg/m2) | ||
| <25 | 06 (19.4) | 56 (57.1) |
| ≥25 | 25 (80.6) | 42 (42.9) |
| Flexibility (cm) | ||
| <25 | 18 (56.2) | 41 (42.3) |
| ≥25 | 14 (43.8) | 56 (57.7) |
| SST (repetitions) | ||
| <25 | 11 (35.5) | 58 (59.2) |
| ≥25 | 20 (64.5) | 40 (40.8) |
| Variables | HGS Relative | p | OR (95% CI) | |
|---|---|---|---|---|
| Lower | Higher | |||
| n (%) | n (%) | |||
| BMI (kg/m2) | ||||
| ≥25 | 29 (82.9) | 56 (59.6) | 0.01 | 3.2 (1.29–8.40) |
| <25 | 06 (17.1) | 38 (40.4) | ||
| CNCD | ||||
| Yes | 28 (80.0) | 52 (55.3) | 0.01 | 3.2 (1.24–8.11) |
| No | 07 (20.0) | 42 (44.7) | ||
| SST (repetitions) | ||||
| <25 | 29 (82.9) | 41 (43.6) | 0.001 | 6.2 (2.47–15.92) |
| ≥25 | 06 (17.1) | 53 (56.4) | ||
Disclaimer/Publisher’s Note: The statements, opinions and data contained in all publications are solely those of the individual author(s) and contributor(s) and not of MDPI and/or the editor(s). MDPI and/or the editor(s) disclaim responsibility for any injury to people or property resulting from any ideas, methods, instructions or products referred to in the content. |
© 2025 by the authors. Licensee MDPI, Basel, Switzerland. This article is an open access article distributed under the terms and conditions of the Creative Commons Attribution (CC BY) license (https://creativecommons.org/licenses/by/4.0/).
Share and Cite
Borges, R.C.d.S.; Bocchi, M.; Freitas, J.C.; Silva, A.K.A.C.; Gouvêa-e-Silva, L.F.; de Oliveira, D.M.; Fernandes, E.V. Use of Handgrip Strength as a Health Indicator in Public Sector Workers: A Cross-Sectional Study. J. Funct. Morphol. Kinesiol. 2025, 10, 135. https://doi.org/10.3390/jfmk10020135
Borges RCdS, Bocchi M, Freitas JC, Silva AKAC, Gouvêa-e-Silva LF, de Oliveira DM, Fernandes EV. Use of Handgrip Strength as a Health Indicator in Public Sector Workers: A Cross-Sectional Study. Journal of Functional Morphology and Kinesiology. 2025; 10(2):135. https://doi.org/10.3390/jfmk10020135
Chicago/Turabian StyleBorges, Raynann Crislayne de Souza, Mayara Bocchi, Joyce Cristina Freitas, Ana Karolina Assis Carvalho Silva, Luiz Fernando Gouvêa-e-Silva, David Michel de Oliveira, and Eduardo Vignoto Fernandes. 2025. "Use of Handgrip Strength as a Health Indicator in Public Sector Workers: A Cross-Sectional Study" Journal of Functional Morphology and Kinesiology 10, no. 2: 135. https://doi.org/10.3390/jfmk10020135
APA StyleBorges, R. C. d. S., Bocchi, M., Freitas, J. C., Silva, A. K. A. C., Gouvêa-e-Silva, L. F., de Oliveira, D. M., & Fernandes, E. V. (2025). Use of Handgrip Strength as a Health Indicator in Public Sector Workers: A Cross-Sectional Study. Journal of Functional Morphology and Kinesiology, 10(2), 135. https://doi.org/10.3390/jfmk10020135

