Effects of Combined Vibration Ergometry and Botulinum Toxin on Gait Improvement in Asymmetric Lower Limb Spasticity: A Pilot Study
Abstract
1. Introduction
2. Materials and Methods
2.1. Patients
2.2. Design of the Study (Figure 1)
2.3. Details of Vibration Ergometry Training (VET)
2.4. Botulinum Toxin Injections
2.5. Parameters of Gait Analysis
2.6. Statistics
3. Results
3.1. Comparison of the Vibration Group (VG) and the Control Group (CG)
3.2. Comparison of VG and CG When Analyzed According to the Control Protocol
3.3. Walking According to the Control and Vibration Protocol in a Single VG-Subject
3.4. Comparison of Walking Before and After a Single Vibration Session
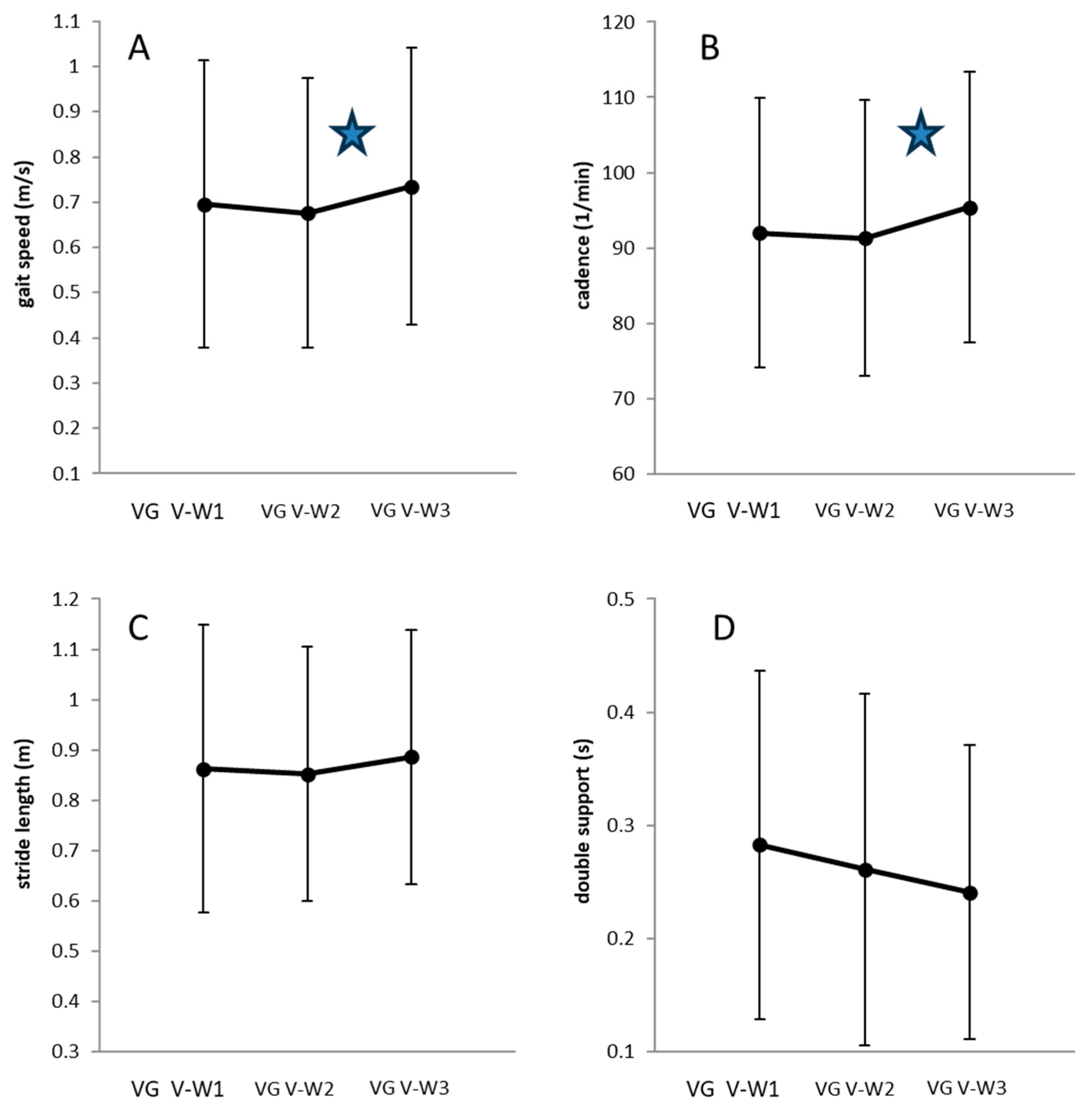
3.5. Comparison of Walking Before and After Two Vibration Sessions
3.6. No Additional Effect of the Combination of BoNT/A-Injections and Vibration
4. Discussion
4.1. General Remarks on the Analysis of Walking in Hemiparetic Patients
4.2. Previous Studies on the Combined Use of Botulinum Toxin and Vibration
4.3. BoNT/A-Injections Improved Gait in the Less-Affected VG-Patients
4.4. Vibration Ergometry Improves Gait
4.5. The Combination of VET and BoNT/A-Injections Did Not Show an Additional Improvement
5. Conclusions
6. Strengths and Limitations of the Study
Author Contributions
Funding
Institutional Review Board Statement
Informed Consent Statement
Data Availability Statement
Acknowledgments
Conflicts of Interest
Abbreviations
References
- Filippi, G.M.; Errico, P.; Santarelli, R.; Bagolini, B.; Manni, E. Botulinum A toxin effects on rat jaw muscle spindles. Acta Otolaryngol. 1993, 113, 400–405. [Google Scholar] [CrossRef]
- Rosales, R.L.; Arimura, K.; Takenaga, S.; Osame, M. Extrafusal and intrafusal effects in experimental botulinum toxin-A injection. Muscle Nerve Off. J. Am. Assoc. Electrodiagn. Med. 1996, 19, 488–496. [Google Scholar] [CrossRef]
- Burbaud, P.; Wiart, L.; Dubos, J.L.; Gaujard, E.; Debelleix, X.; Joseph, P.A.; Mazaux, J.M.; Bioulac, B.; Barat, M.; Lagueny, A. A randomized, double blind, placebo-controlled trial of botulinum toxin in the treatment of the spastic foot in hemiparetic patients. J. Neurol. Neurosurg. Psychiatry 1996, 61, 265–269. [Google Scholar] [CrossRef] [PubMed]
- Simpson, D.M.; Hallett, M.; Ashman, E.J.; Comella, C.L.; Green, M.W.; Gronseth, G.S.; Armstrong, A.J.; Gloss, D.; Potrebic, S.; Jankovic, J. Practice guideline update summary: Botulinum neurotoxin for the treatment of blepharospasm, cervical dystonia, adult spasticity, and headache: Report of the Guideline Development Subcommittee of the American Academy of Neurology. Neurology 2016, 86, 1818–1826. [Google Scholar] [CrossRef]
- Royal College of Physicians BSoRM. Spasticity in adults: Management using botulinum toxin In National Guidelines; Royal College of Physicians: London, UK, 2018; pp. 1–72. [Google Scholar]
- Foley, N.; Murie-Fernandez, M.; Speechley, M.; Salter, K.; Sequeira, K.; Teasell, R. Does the treatment of spastic equino-varus deformity following stroke with botulinum toxin increase gait velocity? A systematic review and meta-analysis. Eur. J. Neurol. 2010, 17, 1419–1427. [Google Scholar] [CrossRef] [PubMed]
- Albrecht, P.; Jansen, A.; Lee, J.-I.; Moll, M.; Ringelstein, M.; Rosenthal, D.; Bigalke, H.; Aktas, O.; Hartung, H.-P.; Hefter, H. High prevalence of neutralizing antibodies after long-term botulinum neurotoxin therapy. Neurology 2019, 92, e48–e54. [Google Scholar] [CrossRef]
- Matthews, P.B. The reflex excitation of the soleus of the decerebrate cat caused by vibration applied to its tendon. J. Physiol. 1966, 184, 450–472. [Google Scholar] [CrossRef]
- Hagbarth, K.E.; Vallbo, A.B. Discharge characteristics of human muscle afferents during muscle stretch and contraction. Exp. Neurol. 1968, 22, 674–694. [Google Scholar] [CrossRef] [PubMed]
- Burke, D.; Hagbarth, K.E.; Lofstedt, L.; Wallin, B.G. The responses of human muscle spindle endings to vibration during isometric contraction. J. Physiol. 1976, 261, 695–711. [Google Scholar] [CrossRef] [PubMed]
- Roll, J.P.; Vedel, J.P.; Ribot, E. Alteration of proprioceptive messages induced by tendon vibration in man: A microneurographic study. Exp. Brain. Res. 1989, 76, 213–222. [Google Scholar] [CrossRef] [PubMed]
- Ness, L.; Field-Fote, E. Effect of whole-body vibration on quadriceps spasticity in individuals with spastic hypertonia due to spinal cord injury. Rest. Neurol. Neurosci. 2009, 27, 623–633. [Google Scholar] [CrossRef] [PubMed]
- Murillo, N.; Kumru, H.; Vidal-Samso, J.; Benito, J.; Medina, J.; Navarro, X.; Valls-Sole, J. Decrease of spasticity with muscle vibration in patients with spinal cord injury. Clin. Neurophysiol. 2011, 122, 1183–1189. [Google Scholar] [CrossRef] [PubMed]
- Celetti, C.; Camerota, F. Preliminary evidence of focal muscle vibration effects on spasticity due to cerebral palsy in a small sample of Italian children. Clin. Ter. 2011, 162, e125–e128. [Google Scholar]
- Katusic, A.; Alimovic, S.; Mejaski-Bosnak, V. The effect of vibration therapy on spasticity and motor function in children with cerebral palsy: A randomized controlled trial. NeuroRehabilitation 2013, 32, 1–8. [Google Scholar] [CrossRef]
- Ibrahim, M.M.; Eid, M.A.; Moawd, S.A. Effect of whole-body vibration on muscle strength, spasticity, and motor performance in spastic diplegic cerebral palsy children. Egypt. J. Med. Hum. Gen. 2014, 15, 173–179. [Google Scholar] [CrossRef]
- Cheng HY, K.; Ju, Y.Y.; Chen, C.L.; Chuang, L.L.; Cheng, C.H. Effects of whole-body vibration on spasticity and lower extremity function in children with cerebral palsy. Human Mov. Science 2015, 39, 65–72. [Google Scholar] [CrossRef] [PubMed]
- Tupimai, T.; Peungsuwan, P.; Prasertnoo, J.; Yamauchi, J. Effect of combining muscle stretching and whole-body vibration on spasticity and physical performance of children and adolescents with cerebral palsy. J. Phys. Ther. Sci. 2016, 28, 7–13. [Google Scholar] [CrossRef] [PubMed]
- Park, C.; Park, E.S.; Choi, J.Y.; Cho, Y.; Rha, D.-W. Immediate effect of a single session of whole-body vibration on spasticity in children with cerebral palsy. Ann. Rehabil. Med. 2017, 41, 273–278. [Google Scholar] [CrossRef] [PubMed]
- Nardone, A.; Schieppati, M. Reflex contribution of spindle Ia and II afferent input to leg muscle spasticity as revealed by tendon vibration in hemiparesis. Clin. Neurophysiol. 2005, 116, 1370–1381. [Google Scholar] [CrossRef] [PubMed]
- Chan, K.S.; Liu, C.W.; Chen, T.W.; Weng, M.C.; Huang, M.H.; Chen, C.H. Effects of a single session of whole-body vibration on ankle plantarflexion spasticity and gait performance in patients with chronic stroke: A randomized controlled trial. Clin. Rehabil. 2012, 26, 10871095. [Google Scholar] [CrossRef] [PubMed]
- Chan, K.-S.; Liu, C.-W.; Chen, T.-W.; Weng, M.-C.; Huang, M.-H.; Chen, C.-H. Leg muscle activity during whole-body vibration in individuals with chronic stroke. Med. Sci. Sports Exercise 2013, 26, 1087–1095. [Google Scholar] [CrossRef]
- Miyara, K.; Matsumoto, S.; Uema, T.; Hirokawa, T.; Noma, T.; Shimodozono, M.; Kawahira, K. Feasibility of using whole-body vibration as a means for controlling spasticity in post-stroke patients: A pilot study. Complement. Ther. Clin. Pract. 2014, 20, 70–73. [Google Scholar] [CrossRef] [PubMed]
- Broekmans, T.; Roelants, M.; Alders, G.; Feys, P.; Thijs, H.; Eijnde, B. Exploring the effects of a 20-week whole body vibration training programme on leg muscle performance and function in persons with multiple sclerosis. J. Rehabil. Med. 2010, 42, 866–872. [Google Scholar] [CrossRef] [PubMed]
- Paoloni, M.; Giovannelli, M.; Mangone, M.; Leonardi, L.; Tavernese, E.; Di Pangrazio, E.; Bernetti, A.; Santilli, V.; Pozzilli, C. Does giving segmental muscle vibration after the response to botulinum toxin injections in the treatment of spasticity in people with multiple sclerosis? A single-blind randomized controlled trial. Clin. Rehabil. 2013, 27, 803–812. [Google Scholar] [CrossRef] [PubMed]
- Rehn, B.; Lidström, J.; Skoglund, J.; Lindström, B. Effects of leg muscular performance from whole-body vibration exercise: A systematic review. Scand. J. Med. Sci. Sports 2007, 17, 2–11. [Google Scholar] [CrossRef]
- Huang, M.; Liao, L.-R.; Pang, M.Y.C. Effects of whole-body vibration on muscle spasticity for people with central nervous system disorders: A systematic review. Clin. Rehabil. 2017, 31, 23–33. [Google Scholar] [CrossRef] [PubMed]
- Lythgo, N.; Eser, P.; de Groot, P.; Galea, M. Whole-body vibration dosage alters leg blood flow. Clin. Physiol. Funct. Imaging 2009, 29, 53–59. [Google Scholar] [CrossRef]
- Pang, M.Y.C.; Lau, R.W.; Yip, S.P. The effects of whole-body vibration therapy on bone turnover, muscle strength, motor function, and spasticity in chronic stroke: A randomized controlled trial. Eur. J. Phys. Rehabil. Med. 2013, 49, 439–450. [Google Scholar] [PubMed]
- Manske, S.L.; Good, C.A.; Zernicke, R.F.; Boyd, S.K. High-frequency, low-magnitude vibration does not prevent bone loss resulting from muscle disuse in mice following botulinum toxin injection. PLoS ONE 2012, 7, e36486. [Google Scholar] [CrossRef] [PubMed]
- Niehoff, A.; Lechner, P.; Ratiu, O.; Reuter, S.; Hamann, N.; Brüggemann, G.P.; Schönau, E.; Bloch, W.; Beccard, R. Effect of whole-body vibration and insulin-like growth factor-I on muscle paralysis-induced bone degeneration after botulinum toxin injection in mice. Cacif. Tissue Int. 2014, 94, 373–383. [Google Scholar] [CrossRef]
- Suhr, F.; Brixius, K.; de Marées, M.; Bölck, B.; Kleinöder, H.; Achtzehn, S.; Bloch, W.; Mester, J. Effects of short-term vibration and hypoxia during high-intensity cycling exercise on circulating levels of angiogenic regulators in humans. J. Appl. Physiol. 2007, 103, 474–483. [Google Scholar] [CrossRef] [PubMed]
- Mester, J.; Kleinöder, H.; Yue, Z. Vibration training: Benefits and risks. J. Biomech. 2006, 39, 1056–1065. [Google Scholar] [CrossRef]
- Schulte, S.; Schiffer, T.; Sperlich, B.; Kleinöder, H.; Holmberg, H. Serum concentrations of S100B are not affected by cycling to exhaustion with or without vibration. J. Hum. Kinet. 2011, 30, 59–63. [Google Scholar] [CrossRef] [PubMed]
- Quarz, D. Vibrationsradergometer. Patentschrift DE 10 2004 063 495 B3, 27 April 2006. [Google Scholar]
- Quarz, D. Vibrational Ergometer. European Patent WO 2006/069988 A1, 2006. [Google Scholar]
- Sperlich, B.; Kleinoeder, H.; de Marées, M.; Quarz, D.; Linville, J.; Haegele, M.; Mester, J. Physiological and perceptual responses of adding vibration to cycling. J. Exerc. Physiol. Online 2009, 12, 40–46. [Google Scholar]
- Contarino, M.F.; Van Den Dool, J.; Balash, Y.; Bhatia, K.; Giladi, N.; Koelman, J.H.; Lokkegaard, A.; Marti, M.J.; Postma, M.; Relja, M.; et al. Clinical Practice: Evidence-Based Recommendations for the Treatment of Cervical Dystonia with Botulinum Toxin. Front. Neurol. 2017, 8, 35. [Google Scholar] [CrossRef]
- Tyson, S.F. Trunk kinematics in hemiplegic gait and the effect of walking aids. Clin. Rehabil. 1999, 13, 295–300. [Google Scholar] [CrossRef] [PubMed]
- Hefter, H.; Rosenthal, D.; Samadzadeh, S.; Flores, F.G.; Raab, D.; Kecskemethy, A.; Siebler, M. “Pushing during walking” in adult patients after hemispheric stroke. Phys. Med. Rehabil. Res. 2020, 5, 1–6. [Google Scholar] [CrossRef]
- Hefter, H.; Rosenthal, D. Improvement of upper trunk posture during walking in hemiplegic patients after injections of botulinum toxin into the arm. Clin. Biomech. 2017, 43, 15–22. [Google Scholar] [CrossRef]
- Chorney, S.R.; Villwock, J.A.; Suryadevara, A. Vibration versus ice to reduce cosmetric botulinum toxin injection pain-A randomized controlled trial. Ear Nose Throat 2019, 98, 352–355. [Google Scholar] [CrossRef]
- Trompetto, C.; Currà, A.; Buccolieri, A.; Suppa, A.; Abbruzzese, G.; Berardelli, A. Botulinum toxin changes intrafusal feedback in dystonia: A study with the tonic vibration reflex. Mov. Disord. 2006, 21, 777–782. [Google Scholar] [CrossRef]
- Urban, P.P.; Rolke, R. Effects of botulinum toxin type A on vibration induced facilitation of motor evoked potentials in spasmodic torticollis. J. Neurol. Neurosurg. Psych. 2004, 75, 1541–1546. [Google Scholar] [CrossRef] [PubMed]
- Hefter, H.; Beek, J.; Rosenthal, D.; Samadzadeh, S. Enhanced effect of botulinum toxin A injections into the extensor digitorum brevis muscle after local mechanical leg vibration: A pilot study and case report. Toxins 2021, 13, 423. [Google Scholar] [CrossRef]
- Ren, X.; Cai, Z.; Zhang, X.; Liu, J.; Chen, Z.; Zhu, D. Whole body vibration combined with botulinum neurotoxin A injection in the treatment of spastic diplegic cerebral palsy. Chin. J. Phys. Med. Rehabil. 2019, 12, 688–692. [Google Scholar]
- Hefter, H.; Nickels, W.; Samadzadeh, S.; Rosenthal, D. Comparing soleus injections and gastrocnemius injections of botulinum toxin for treating adult spastic foot drop: A monocentric observational study. J. Int. Med. Res. 2021, 49, 0300060521998208. [Google Scholar] [CrossRef]





| Patient | Age (yrs) | Sex | CNS Lesion | Walking Aid | Affected Side | Dose of BoNT/A Leg Muscles | Dose of BoNT/A Arm Muscles |
|---|---|---|---|---|---|---|---|
| V 1 | 71 | m | R THL HR | none | L HP | 800U aboBoNT | 200U aboBoNT |
| V 2 | 49 | f | L BG HR | none | R HP | 90U onaBoNT | 110U onaBoNT |
| V 3 | 49 | f | L HS IS | CANE | R HP | 400U aboBoNT | 600U aboBoNT |
| V 4 | 32 | m | ICP | none | R HP | 300U aboBoNT | 0 |
| V 5 | 41 | f | R CAD IS | none | L HP | 600U aboBoNT | 400U aboBoNT |
| V 6 | 48 | m | R MI IS | none | L HP | 215U incoBoNT | 185U incoBoNT |
| V 7 | 25 | f | L fTBI | none | R HP | 300U aboBoNT | 0 |
| C 1 | 57 | f | R fTBI | SOP | L HP | 500 U aboBoNT | 0 |
| C 2 | 62 | f | R HS HR | AFO, CANE | L HP | 500 U aboBoNT | 0 |
| C 3 | 66 | m | L HS IS | none | R HP | 1000U aboBoNT | 0 |
| C 4 | 46 | f | L HS HR | AFO, SOP | R HP | 150 U onaBoNT | 150 U onaBoNT |
| C 5 | 45 | m | L MI IS | none | R HP | 750 U aboBoNT | 800 U aboBoNT |
| C 6 | 60 | m | L HS IS | none | R HP | 300 U aboBoNT | 700 U aboBoNT |
| C 7 | 70 | f | R HS IS | none | L HP | 70 U incoBoNT | 230 U incoBoNT |
| VG | NV-W1 (MV/SD) | NV-W2 (MV/SD) | NV-W3 (MV/SD) | |||
|---|---|---|---|---|---|---|
| VEL (m/s) | 0.673 | 0.305 | 0.711 | 0.310 | 0.727 | 0.318 |
| CAD (/min) | 93.86 | 15.09 | 94.14 | 14.69 | 92.57 | 15.33 |
| STRIDEL (m) | 0.826 | 0.299 | 0.873 | 0.296 | 0.901 | 0.294 |
| SSAL (s) | 0.345 | 0.036 | 0.321 | 0.058 | 0.359 | 0.041 |
| SSNAL (s) | 0.500 | 0.117 | 0.464 | 0.062 | 0.497 | 0.094 |
| DSAL (s) | 0.248 | 0.100 | 0.270 | 0.108 | 0.238 | 0.106 |
| DSNAL (s) | 0.220 | 0.052 | 0.251 | 0.088 | 0.240 | 0.101 |
| STANAL (s) | 0.814 | 0.136 | 0.842 | 0.176 | 0.837 | 0.196 |
| STANNAL (s) | 0.968 | 0.247 | 0.985 | 0.231 | 0.974 | 0.254 |
| STEPAL (s) | 0.594 | 0.105 | 0.591 | 0.106 | 0.598 | 0.100 |
| STEPNAL (s) | 0.720 | 0.156 | 0.715 | 0.149 | 0.736 | 0.175 |
| CG | NV-W1 (MV/SD) | NV-W2 (MV/SD) | NV-W3 (MV/SD) | |||
| VEL (m/s) | 0.419 | 0.270 | 0.415 | 0.244 | 0.383 | 0.233 |
| CAD (/min) | 76.29 | 22.98 | 75.86 | 23.36 | 75.14 | 19.75 |
| STRIDEL (m) | 0.612 | 0.238 | 0.616 | 0.207 | 0.573 | 0.230 |
| SSAL (s) | 0.339 | 0.086 | 0.361 | 0.121 | 0.336 | 0.108 |
| SSNAL (s) | 0.503 | 0.096 | 0.515 | 0.179 | 0.522 | 0.093 |
| DSAL (s) | 0.322 | 0.143 | 0.308 | 0.122 | 0.338 | 0.162 |
| DSNAL (s) | 0.525 | 0.338 | 0.513 | 0.354 | 0.486 | 0.383 |
| STANAL (s) | 1.187 | 0.422 | 1.182 | 0.419 | 1.160 | 0.452 |
| STANNAL (s) | 1.350 | 0.469 | 1.336 | 0.465 | 1.346 | 0.456 |
| STEPAL (s) | 0.661 | 0.179 | 0.670 | 0.176 | 0.675 | 0.172 |
| STEPNAL (s) | 1.028 | 0.357 | 1.028 | 0.367 | 1.008 | 0.336 |
| VG | V-W1 (MV/SD) | V-W2 (MV/SD) | V-W3 (MV/SD) | V-W4 (MV/SD) | V-W5 (MV/SD) | |||||
|---|---|---|---|---|---|---|---|---|---|---|
| VEL (m/s) | 0.696 | 0.318 | 0.676 | 0.298 | 0.735 | 0.306 | 0.711 | 0.323 | 0.699 | 0.315 |
| CAD (/min) | 92.00 | 17.90 | 91.29 | 18.30 | 95.43 | 17.97 | 93.00 | 17.00 | 92.43 | 17.85 |
| STRIDEL (m) | 0.862 | 0.286 | 0.852 | 0.253 | 0.886 | 0.253 | 0.872 | 0.297 | 0.867 | 0.269 |
| SSAL (s) | 0.342 | 0.058 | 0.357 | 0.070 | 0.346 | 0.059 | 0.347 | 0.033 | 0.349 | 0.038 |
| SSNAL (s) | 0.498 | 0.116 | 0.524 | 0.120 | 0.506 | 0.139 | 0.493 | 0.107 | 0.512 | 0.131 |
| DSAL (s) | 0.283 | 0.154 | 0.261 | 0.155 | 0.241 | 0.130 | 0.261 | 0.162 | 0.262 | 0.156 |
| DSNAL (s) | 0.232 | 0.072 | 0.227 | 0.057 | 0.207 | 0.036 | 0.236 | 0.067 | 0.226 | 0.058 |
| STANAL (s) | 0.859 | 0.203 | 0.845 | 0.196 | 0.794 | 0.155 | 0.844 | 0.206 | 0.837 | 0.182 |
| STANNAL (s) | 1.013 | 0.293 | 1.012 | 0.300 | 0.954 | 0.278 | 0.989 | 0.309 | 1.001 | 0.310 |
| STEPAL (s) | 0.626 | 0.164 | 0.618 | 0.154 | 0.588 | 0.130 | 0.608 | 0.160 | 0.611 | 0.150 |
| STEPNAL (s) | 0.730 | 0.163 | 0.751 | 0.171 | 0.713 | 0.167 | 0.728 | 0.161 | 0.738 | 0.171 |
Disclaimer/Publisher’s Note: The statements, opinions and data contained in all publications are solely those of the individual author(s) and contributor(s) and not of MDPI and/or the editor(s). MDPI and/or the editor(s) disclaim responsibility for any injury to people or property resulting from any ideas, methods, instructions or products referred to in the content. |
© 2025 by the authors. Licensee MDPI, Basel, Switzerland. This article is an open access article distributed under the terms and conditions of the Creative Commons Attribution (CC BY) license (https://creativecommons.org/licenses/by/4.0/).
Share and Cite
Hefter, H.; Rosenthal, D.; Samadzadeh, S. Effects of Combined Vibration Ergometry and Botulinum Toxin on Gait Improvement in Asymmetric Lower Limb Spasticity: A Pilot Study. J. Funct. Morphol. Kinesiol. 2025, 10, 41. https://doi.org/10.3390/jfmk10010041
Hefter H, Rosenthal D, Samadzadeh S. Effects of Combined Vibration Ergometry and Botulinum Toxin on Gait Improvement in Asymmetric Lower Limb Spasticity: A Pilot Study. Journal of Functional Morphology and Kinesiology. 2025; 10(1):41. https://doi.org/10.3390/jfmk10010041
Chicago/Turabian StyleHefter, Harald, Dietmar Rosenthal, and Sara Samadzadeh. 2025. "Effects of Combined Vibration Ergometry and Botulinum Toxin on Gait Improvement in Asymmetric Lower Limb Spasticity: A Pilot Study" Journal of Functional Morphology and Kinesiology 10, no. 1: 41. https://doi.org/10.3390/jfmk10010041
APA StyleHefter, H., Rosenthal, D., & Samadzadeh, S. (2025). Effects of Combined Vibration Ergometry and Botulinum Toxin on Gait Improvement in Asymmetric Lower Limb Spasticity: A Pilot Study. Journal of Functional Morphology and Kinesiology, 10(1), 41. https://doi.org/10.3390/jfmk10010041

