An Experimental Investigation and Computer Modeling of Direct Tension Pullout Test of Reinforced Concrete Cylinder
Abstract
:1. Introduction
2. Experimental Work
2.1. Cast of Testing Samples
2.2. Testing of Pullout Test Specimens
3. Experimental Results
3.1. Finite Element Modeling
3.2. Choice of the Method
3.3. Solution-Convergence Criteria
3.4. Modeling Methodology
3.4.1. Geometry and Element Type
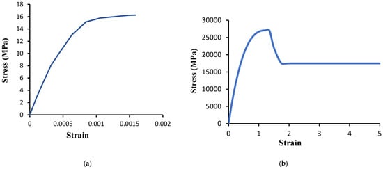
3.4.2. Material Properties
3.4.3. Meshing and Load Application Adjustment
4. Modeling Results and Discussion
5. Conclusions
Author Contributions
Funding
Institutional Review Board Statement
Informed Consent Statement
Data Availability Statement
Acknowledgments
Conflicts of Interest
References
- Banholzer, B.; Brameshuber, W.; Jung, W. Analytical simulation of pull-out tests—The direct problem. Cem. Concr. Compos. 2005, 27, 93–101. [Google Scholar] [CrossRef]
- Tastani, S.P.; Pantazopoulou, S.J. Direct Tension Pullout Bond Test: Experimental Results. J. Struct. Eng. 2010, 136, 731–743. [Google Scholar] [CrossRef]
- Cai, C.; Wu, Q.; Song, P.; Zhou, H.; Akbar, M.; Ma, S. Study on Oxygen Diffusion in Coral Concrete under Different Loads. Constr. Build. Mater. 2022, 319, 126147. [Google Scholar] [CrossRef]
- Mirzaalimohammadi, A.; Ghazavi, M.; Lajevardi, S.; Roustaei, M. Experimental Investigation on Pullout Behavior of Geo-synthetics with Varying Dimension. Int. J. Geomech. 2021, 21, 04021089. [Google Scholar] [CrossRef]
- Achillides, Z.; Pilakoutas, K. Bond Behavior of Fiber Reinforced Polymer Bars under Direct Pullout Conditions. J. Compos. Constr. 2004, 8, 173–181. [Google Scholar] [CrossRef]
- Novidis, D.; Pantazopoulou, S. Beam pull out tests of NSM–FRP and steel bars in concrete. In Proceedings of the Fourth International Conference on FRP Composites in Civil Engineering, Zurich, Switzerland, 22 July 2008; pp. 22–24. [Google Scholar]
- Souzana Tastani, S.P. Experimental evaluation of the direct tension-pollout bond test. In Bond in Concrete. Research to Standards; 2014; Volume 1, pp. 1–8. [Google Scholar]
- Alkaysi, M.; El-Tawil, S. Factors affecting bond development between Ultra High Performance Concrete (UHPC) and steel bar reinforcement. Constr. Build. Mater. 2017, 144, 412–422. [Google Scholar] [CrossRef]
- Portal, N.W.; Perez, I.F.; Thrane, L.N.; Lundgren, K. Pull-out of textile reinforcement in concrete. Constr. Build. Mater. 2014, 71, 63–71. [Google Scholar] [CrossRef]
- Ali, A.; Akbar, M.; Huali, P.; Mohsin, M.; Guoqiang, O.; Azka, A.; Yousaf, H. Seismic analysis of lateral force resisting steel frame with honeycombed steel thin plate shear wall. J. Vibroeng. 2021, 24, 357–368. [Google Scholar] [CrossRef]
- Kwak, H.-G.; Kim, S.-P. Bond-slip behavior under monotonic uniaxial loads. Eng. Struct. 2000, 23, 298–309. [Google Scholar] [CrossRef]
- Momayez, A.; Ehsani, M.; Ramezanianpour, A.; Rajaie, H. Comparison of methods for evaluating bond strength between concrete substrate and repair materials. Cem. Concr. Res. 2005, 35, 748–757. [Google Scholar] [CrossRef]
- BS EN. 2009:12390-3; Testing Hardened Concrete. Compressive Strength of Test Specimens. Management Centre: Brussels, Belgium, 2009.
- Deng, M.; Pan, J.; Sun, H. Bond behavior of steel bar embedded in Engineered Cementitious Composites under pullout load. Constr. Build. Mater. 2018, 168, 705–714. [Google Scholar] [CrossRef]
- 1991A EDITION—Comparing Concretes on the Basis of the Bond Developed with Reinforcing Steel. ASTM C234-91a. 1991. Available online: https://www.document-center.com/standards/show/ASTM-C234/history/1991A%20EDITION (accessed on 15 July 2022).
- Ferguson, P.M. Small bar spacing or cover—A bond problem for the designer. J. Proc. 1977, 74, 435–439. [Google Scholar]
- Rilem-Fip-Ceb. Bond test for reinforcing steel: 1-Beam test (7-II-28 D). 2-Pullout test (7-II-128): Tentative recommendations. RILEM J. Mater. Struct. 1973, 6, 96–105. [Google Scholar]
- De Almeida Filho, F.M.; El Debs, M.K.; El Debs, A.L.H.C. Bond-slip behavior of self-compacting concrete and vibrated concrete using pull-out and beam tests. Mater. Struct. 2008, 41, 1073–1089. [Google Scholar] [CrossRef]
- Abrishami, H.H.; Mitchell, D. Analysis of Bond Stress Distributions in Pullout Specimens. J. Struct. Eng. 1996, 122, 255–261. [Google Scholar] [CrossRef]
- Shima, H.; Chou, L.-L.; Okamura, H. Bond characteristics in post-yield range of deformed bars. Doboku Gakkai Ronbunshu 1987, 1987, 213–220. [Google Scholar] [CrossRef]
- Amleh, L.; Mirza, M.S.; Ahwazi, B.B.N. Bond Deterioration of Reinforcing Steel in Concrete due to Corrosion. Ph.D. Thesis, McGill University, Montreal, QC, Canada, 2002. [Google Scholar]
- Akbar, M.; Huali, P.; Adedamola, A.-A.; Guoqiang, O.; Amin, A. The seismic analysis and performance of steel frame with additional low-yield-point steel dampers. J. Vibroeng. 2021, 23, 647–674. [Google Scholar]
- Cairns, J.; Plizzari, G.A. Towards a harmonised European bond test. Mater. Struct. 2003, 36, 498–506. [Google Scholar] [CrossRef]
- Lutz, L.A.; Gergely, P. Mechanics of bond and slip of deformed bars in concrete. J. Proc. 1967, 64, 711–721. [Google Scholar]
- Sezen, H.; Moehle, J.P. Bond-slip behavior of reinforced concrete members. In Proceedings of the FIB Symposium on Concrete Structures in Seismic Regions, Athens, Greece, 6–8 May 2003. [Google Scholar]
- Mathisen, K.M. Solution Methods for Nonlinear Finite Element Analysis (NFEA); Norwegian University of Science and Technology: Trondheim, Norway, 2012. [Google Scholar]
- Yousaf, M. Performance of SCC in Bond at Beams Intersection; UET Laohre: Laohre, Pakistan, 2014. [Google Scholar]
- Jendele, L.; Cervenka, J. Finite element modelling of reinforcement with bond. Comput. Struct. 2006, 84, 1780–1791. [Google Scholar] [CrossRef]
- Harajli, M.H. Comparison of Bond Strength of Steel Bars in Normal- and High-Strength Concrete. J. Mater. Civ. Eng. 2004, 16, 365–374. [Google Scholar] [CrossRef]
- C1404/C1404M-98; ASTM Standard Test Method for Bond Strength of Adhesive Systems Used with Concrete as Measured by Direct Tension (with-drawn 2010). ASTM International: West Conshohocken, PA, USA, 2010.
- Chu, S.; Kwan, A. A new method for pull out test of reinforcing bars in plain and fibre reinforced concrete. Eng. Struct. 2018, 164, 82–91. [Google Scholar] [CrossRef]
- Shen, D.; Shi, X.; Zhang, H.; Duan, X.; Jiang, G. Experimental study of early-age bond behavior between high strength concrete and steel bars using a pull-out test. Constr. Build. Mater. 2016, 113, 653–663. [Google Scholar] [CrossRef]












| Sr. No. | Standard Pullout Test Specifications | Proposed Bonded Length |
|---|---|---|
| 1 | ASTM A934-95 | 15 db |
| 2 | UK BS 4449: 1997 | 16.4 db or (proportional to bar strength) |
| 3 | RILEM/CEB/FIP RC 6-1978 | 5 db |
| Sr. No. | Researcher/Agency | Concrete Specimen | Location of Bonded Length | Remarks | ||
|---|---|---|---|---|---|---|
| Cube | Cylinder | In Center | At Bar End | |||
| 1 | [13] | - | - | - | - | Not declared as standard test |
| 2 | [17] | ✓ | - | - | ✓ | - |
| 3 | [15] | - | ✓ | - | - | Declared as Obsolete |
| 4 | [21] | ✓ | - | - | ✓ | - |
| 5 | [19] | ✓ | - | - | ✓ | Bar de-bonded at cylinder top |
| 6 | [26] | - | ✓ | - | ✓ | Horizontal Orientation |
| Sr. No. | Bar Diameter db(mm) | Cylinder Ø (mm) | Concrete Cover, c (mm) | Bonded Lengths Lb | Bonded Length Lb (mm) | c/db Ratio | db/Lb Ratio |
|---|---|---|---|---|---|---|---|
| 1 | 13 mm | 150 (6″) | 68.5 | 3 db, 5 db, 8 db | 39, 65, and 104 mm for each three samples | 5.27, 3.35, and 2.38 against 150, 100, and 75 mmϕ cylinders | 0.33, 0.20, and 0.13 for each of three samples |
| 100 (4″) | 43.5 | -do- | |||||
| 75 (3″) | 31 | -do- | |||||
| 2 | 16 mm | 150 | 67 | -do- | 48, 80, and 128 mm for each of three samples | 4.19, 2.63, and 1.84 against 150, 100, and 75 mm ϕ cylinders | 0.33, 0.20, and 0.13 for each of three samples |
| 100 | 42 | -do- | |||||
| 75 | 29.5 | -do- | |||||
| 3 | 19 mm | 150 | 65.5 | -do- | 57, 95, and 152 mm for each of three samples | 3.45, 2.13, and 1.47 against 150, 100, and 75 mm ϕ cylinders | 0.33, 0.20, and 0.13 for each of three samples |
| 100 | 40.5 | -do- | |||||
| 75 | 28 | -do- | |||||
| 75 | 25 | -do- |
| Bar Diameter (mm) | Rib Height (a) | Rib Width (mm) (b) | C/C rib Spacing (mm) (c) | Clear Dist. b/w Ribs (mm) | a/c | ||||||
|---|---|---|---|---|---|---|---|---|---|---|---|
| End | Mid | End | End | Mid | End | End | Mid | End | |||
| 13 | 1.28 | 2.1 | 2.0 | 2.1 | 7.2 | 7.6 | 7.1 | 5.0 | 4.8 | 4.9 | 0.17 |
| 1.5 | 1.7 | 1.6 | 7.7 | 7.3 | 7.5 | 5.5 | 4.9 | 5.0 | |||
| 2.3 | 2.2 | 1.9 | 7.0 | 7.8 | 7.4 | 5.0 | 4.7 | 5.0 | |||
| 1.96 | 1.96 | 1.8 | 7.3 | 7.5 | 7.3 | 5.16 | 4.8 | 4.96 | |||
| 1.92 | 7.39 | 4.97 | |||||||||
| 13 | 1.35 | 2.9 | 2.0 | 2.0 | 7.8 | 8.7 | 7.7 | 4.9 | 5. | 5.0 | 0.15 |
| 1.6 | 1.8 | 1.5 | 7.3 | 8.8 | 7.8 | 5.4 | 5.2 | 5.0 | |||
| 2.1 | 2.2 | 1.9 | 7.9 | 8.6 | 7.7 | 4.8 | 5.0 | 5.0 | |||
| 2.3 | 2.0 | 1.8 | 7.66 | 8.7 | 7.7 | 5.03 | 5.1 | 5.0 | |||
| 1.92 | 7.39 | 4.97 | |||||||||
| 13 | 1.08 | 2.6 | 2.5 | 2.5 | 7.2 | 7.0 | 7.0 | 4.3 | 4.4 | 4.3 | 0.15 |
| 2.3 | 2.1 | 2.3 | 7.3 | 6.9 | 6.9 | 4.0 | 4.2 | 4.1 | |||
| 2.8 | 2.5 | 2.3 | 7.1 | 6.8 | 6.8 | 4.6 | 4.0 | 4.2 | |||
| 2.56 | 2.1 | 2.36 | 7.2 | 6.9 | 6.9 | 4.3 | 4.2 | 4.2 | |||
| 2.34 | 7.07 | 4.23 | |||||||||
| Property and Specimen Number | Mass(M) kg | Outer Diameter (mm, db) | Inner Diameter (mm, db) | Avg.nominal Diameter = (Col.(3–4)/2 + col.4) | Diameter By wt. = 12.73X M/L (d) | ASTM Diameter Table 1, A615/A615 M | Max. Tolerance < 8% in Diameter (byACI-318) (Diff. b/w col.6 and 7) | Size Check |
|---|---|---|---|---|---|---|---|---|
| 1 | 0.68 | 13.5, 13.8, 13.3 | 11.1, 10.8, 11.1 | - | - | - | - | - |
| Average | 13.4 | 11 | 12.2 | 12.11 | 12.7 | 4.8% | ok | |
| 2 | 0.68 | 13.8, 13.5, 13.5 | 10.8, 10.9, 10.9 | - | - | - | - | - |
| Average | 13.6 | 10.88 | 12.24 | 12.10 | 12.7 | 5.2% | ok | |
| 3 | 0.7 | 13.1, 13.2, 13.1 | 12.4, 12.2, 12.5 | - | - | - | - | - |
| Average | 13.13 | 12.37 | 12.77 | 13.00 | 12.7 | 6.20% | ok |
| #13 (D-mm) Bar | #16 (D-mm) Bar | #19 (D-mm) Bar | |||
|---|---|---|---|---|---|
| Force (kN) | Slip | Force (kN) | Slip | Force (kN) | Slip |
| 0 | 0 | 0 | 0 | 0 | 0 |
| 0.2 | 92 | 0.26 | 160 | 0.11 | 53 |
| 0.3 | 125 | 0.32 | 172 | 0.21 | 118 |
| 0.58 | 162 | 0.33 | 45 | 0.235 | 132 |
| 0.6 | 160 | 0.4 | 40 | 0.25 | 118 |
| 0.62 | 45 | 0.5 | 35 | 0.255 | 19 |
| 0.65 | 42 | 0.6 | 34 | 0.3 | 17 |
| 0.7 | 42 | 0.7 | 34 | 0.4 | 17 |
| 8 | 42 | 0.8 | 34 | 0.6 | 16 |
| 0.9 | 42 | 0.9 | 34 | 0.7 | 16 |
| - | - | - | - | 0.8 | 15 |
| - | - | - | - | 1 | 15 |
| Sr. # | Structural Component | Element Designation | FEM Representation | Behavior Model |
|---|---|---|---|---|
| 1 | Concrete | Solid 65 | The model can crack in tension and crush in compression along with plastic deformation | |
| 2 | Steel rebar | Link 180 | 2-node discrete element | Non-linear inelastic isotropic hardening plasticity |
| 3 | Concrete–steel interface | Combin 39 | Uses nonlinear force deflection capability | Actual bond condition |
| Parameter (Name) | Value | Parameter (Name) | Value |
|---|---|---|---|
| Open shear transfer coefficient | 0.2 | Biaxial crushing stress | 0 |
| Close shear transfer coefficient | 0.6 | Hydrostatic pressure | 0 |
| Uniaxial cracking stress | 3.92 | Hydro Biaxial crush stress | 0 |
| Uniaxial crushing stress | −1 | Hydro Uniaxial crush stress | 0 |
| Biaxial crushing stress | 0 | Tensile crack factor | 0.6 |
| Displacement (mm) | Force (N) | Displacement (mm) | Force (N) |
|---|---|---|---|
| 0 | 0 | 1 | 26,683 |
| 0.1 | 5493 | 1.1 | 26,980 |
| 0.2 | 10,201 | 1.2 | 27,082 |
| 0.3 | 14,183 | 1.35 | 26,998 |
| 0.4 | 17,498 | 1.5 | 22,027 |
| 0.5 | 20,205 | 1.75 | 17,464 |
| 0.6 | 22,362 | 2 | 17,464 |
| 0.7 | 24,030 | 4 | 17,464 |
| 0.8 | 25,267 | 5 | 17,464 |
| 0.9 | 26,131 | 1 | 26,683 |
Publisher’s Note: MDPI stays neutral with regard to jurisdictional claims in published maps and institutional affiliations. |
© 2022 by the authors. Licensee MDPI, Basel, Switzerland. This article is an open access article distributed under the terms and conditions of the Creative Commons Attribution (CC BY) license (https://creativecommons.org/licenses/by/4.0/).
Share and Cite
Abbas, N.; Yousaf, M.; Akbar, M.; Saeed, M.A.; Huali, P.; Hussain, Z. An Experimental Investigation and Computer Modeling of Direct Tension Pullout Test of Reinforced Concrete Cylinder. Inventions 2022, 7, 77. https://doi.org/10.3390/inventions7030077
Abbas N, Yousaf M, Akbar M, Saeed MA, Huali P, Hussain Z. An Experimental Investigation and Computer Modeling of Direct Tension Pullout Test of Reinforced Concrete Cylinder. Inventions. 2022; 7(3):77. https://doi.org/10.3390/inventions7030077
Chicago/Turabian StyleAbbas, Nadeem, Muhammad Yousaf, Muhammad Akbar, Muhammad Arsalan Saeed, Pan Huali, and Zahoor Hussain. 2022. "An Experimental Investigation and Computer Modeling of Direct Tension Pullout Test of Reinforced Concrete Cylinder" Inventions 7, no. 3: 77. https://doi.org/10.3390/inventions7030077
APA StyleAbbas, N., Yousaf, M., Akbar, M., Saeed, M. A., Huali, P., & Hussain, Z. (2022). An Experimental Investigation and Computer Modeling of Direct Tension Pullout Test of Reinforced Concrete Cylinder. Inventions, 7(3), 77. https://doi.org/10.3390/inventions7030077

