Next Article in Journal
A Procedure for Performing Reproducibility Assessment of the Accuracy of Impact Area Classification for Structural Health Monitoring in Aerospace Structures
Previous Article in Journal
Characterization of the Extraction System of Supersonic Gas Curtain-Based Ionization Profile Monitor for FLASH Proton Therapy
 
 
Font Type:
Arial Georgia Verdana
Font Size:
Aa Aa Aa
Line Spacing:
Column Width:
Background:
Article

Button Sample Holders for Infrared Spectroscopy

Department of Chemistry & Biochemistry, University of Oklahoma, Norman, OK 73019, USA
Instruments 2026, 10(1), 5; https://doi.org/10.3390/instruments10010005
Submission received: 21 November 2025 / Revised: 1 January 2026 / Accepted: 22 January 2026 / Published: 26 January 2026
(This article belongs to the Section Optical and Photonic Instruments)

Abstract

The design features and applications of button sample holders are described. The similarities and contrasts between the button method and the transmission cell and attenuated total reflection techniques are discussed. Different button sample holder analysis methodologies are outlined, and examples are provided for mid-infrared spectroscopy measurements of solids, liquids, and pastes. Results obtained for 10-nonadecanone powder, a vitamin C tablet, a soil sample, and poly(methyl methacrylate) are used to illustrate different solid sample analysis approaches. Time-dependent spectrum variations detected during evaporation of a blood drop are elucidated and spectra obtained from different quantities of liquid chlorobenzene loaded into buttons and transmission cells are characterized. Infrared spectra derived from three toothpaste brands are compared and a sample perturbation study to identify temperature-dependent changes to the structure of poly(bisphenol A carbonate) is provided as an example of variable temperature infrared spectroscopy.

1. Introduction

Infrared spectroscopy is commonly employed for material structure characterizations in industrial, academic, and government laboratory settings. Improvements in spectrophotometer design and optical accessory efficiencies have transformed this technique from one mostly used for qualitative molecular structure confirmations to a highly selective quantitative analysis method [1]. Although infrared analysis technologies that address specialized challenges continue to be developed [1,2,3,4,5], the state of the art for generalized sampling techniques (i.e., those that provide routine solid and liquid sample measurements) has remained relatively stagnant since the introduction of attenuated total reflection (ATR) infrared spectroscopy in the 1960s [6]. Recently, new analysis methods based on the “button” sample holder have been developed that provide mid-infrared spectra of neat powders and liquids [7,8].
A button sample holder consists of a round stainless steel backing with a smaller diameter wire mesh disk affixed at its center. Sample material is placed within the void spaces of the wire mesh. When powders are loaded, particles become trapped in small volumes, providing a means to prepare robust thin layers of neat material that would otherwise be unsustainable [7]. Spectra are obtained by collecting the infrared radiation that passes through the sample and scatters from the mesh surface. The intensity of radiation reflecting from an empty button (i.e., wire mesh only) is sufficient to provide a background single-beam spectrum, therefore a non-absorbing reference material is not required [7].
When an empty button is placed at the infrared beam focal point, radiation reflects from the mesh wires and the flat metal backing. These reflections redirect incident radiation over a wide range of angles. To effectively collect the dispersed radiation, a diffuse reflection optical system is employed. Diffuse reflection infrared Fourier transform spectroscopy (DRIFTS) is one of several options available for mid-infrared spectroscopic studies of powders [9,10,11]. This technique is applicable to materials that scatter radiation. Often, spectral distortions associated with strongly absorbing molecular vibrations result in undesired artifacts when neat samples are analyzed by DRIFTS. To preserve peak shapes and obtain consistent relative band intensities, samples are typically mixed with non-absorbing diluents, such as alkali metal halide powders, prior to spectral analysis. However, diluents can affect molecular vibrations and distort characteristic spectral features [12].
The button sample holder design evolved from attempts to analyze neat (i.e., undiluted) materials by DRIFTS. Initial tests confirmed that the infrared spectra of small particles sprinkled on a glass microscope slide could be obtained by using a diffuse reflection optical system. However, this method was impractical due to substantial particle movements and sample loss caused by room air currents. This problem was circumvented by using a screen to confine the particles. The current button sample holder design resulted from substituting a stainless-steel sheet for the glass microscope slide and spot welding a stainless-steel wire mesh to the metal base [7]. The wire mesh serves two main purposes. It traps and holds small particles within mesh void spaces, and the round stainless-steel wires comprising the mesh scatter incident infrared radiation over a wide range of angles.
Unlike conventional diffuse reflection measurements, button infrared spectra can be obtained for most materials without diluting them in a non-absorbing medium. Samples that do not inherently scatter can also be analyzed, because the button mesh/backing interface provides the necessary infrared beam scattering to generate detector signals. Thus, the applicability of the button diffuse reflection infrared spectroscopy approach can be extended to include non-scattering substances, such as liquids [8]. Radiation traverses multiple paths with different lengths through non-scattering samples; therefore, Beer’s law is not applicable. Instead, infrared band absorbance is a function of the effective path length, which is dependent on band absorptivities [13]. The button method and the ATR technique have comparable optical throughputs and similar sensitivities and detection limits (vide infra). Because it provides quality spectra and offers ease of use, durability, and compatibility with automated analysis, the button technique may compete with ATR as the preferred choice for general-purpose infrared spectroscopy measurements.

2. Materials and Methods

Low molecular weight poly(methyl methacrylate) (CAS: 9011-14-7) was obtained from Aldrich Chemical Co. (St. Louis, MO, USA), chlorobenzene (CAS: 108-90-7) was obtained from Fisher Scientific (Waltham, MA, USA), and 10-nonadecanone (CAS: 504-57-4) was obtained from Lancaster Synthesis (Pelham, MA, USA). The vitamin C tablet and three brands of toothpaste were purchased from a pharmacy, an 8″ × 10″ sheet of Lexan (poly(bisphenol A carbonate)) (CAS: 25037-45-0) was purchased at a hardware store, and the detergent and potting soil samples were obtained locally.
Figure 1 is a photograph showing three different button (U.S. Patent No. 11,047,796 B2) designs employed for the measurements described here. Each was fabricated by spot welding a circular piece of 316 stainless-steel wire mesh screen to a 19 mm diameter, 1 mm thick 430 stainless-steel backing. The backing contained two alignment holes located on opposite sides of the mesh and a small indentation perpendicular to the middle of the line connecting these holes. The holes were used to attach the button to a sample introduction slide, and the indentation was used as an indicator of the button mesh orientation with respect to the infrared beam [7]. The sample introduction slide contained a recessed magnet to firmly hold the button to the slide surface. The two buttons shown on the left in Figure 1 incorporated 400 × 2800 sintered wire meshes with 1 µm openings, and the button on the right contained a 100 mesh plain weave screen with 140 µm openings. The 6 mm diameter circle of wire mesh in the “exposed mesh” button (Figure 1a) was spot-welded directly to the metal backing surface. To make the two “recessed mesh” buttons (Figure 1b,c), the mesh was spot-welded to the bottom of a ca. 270 µm deep indentation pressed into the backing. The Figure 1b button had a 4 mm diameter mesh, and the Figure 1c button had a 6 mm diameter mesh.
Figure 2 is a photograph of the sample holder optics showing a button on the sample introduction slide placed at the focal point of the diffuse reflection accessory. A Mattson Instruments Inc. (Madison, WI, USA) Nova Cygni 120 Fourier transform infrared spectrophotometer (FTIR) and a Harrick Scientific Inc. (Pleasantville, NY, USA) praying mantis diffuse reflection accessory [10] were used for infrared spectrum measurements. The FTIR was equipped with a 1 mm × 1 mm liquid nitrogen-cooled mercury–cadmium–telluride (MCT) detector. Spectra were obtained over the 4000–700 cm−1 range at 8 cm−1 resolution for both sample and background single-beam measurements. Unless otherwise specified, button background single-beam spectra were obtained with an empty button. Although all measurements were made at 8 cm−1 resolution, interferogram zero filling prior to processing yielded a 1.92 cm−1 spectrum digitization interval. This was found to provide reproducible band shapes and yielded a superior signal-to-noise ratio when compared to measurements made at a 4 cm−1 resolution [14].
Figure 3 shows the surface features of the meshes used to make the buttons in Figure 1. The 140 µm plain weave pattern in Figure 3a was created by interlocking two orthogonal sets of 0.11 mm diameter stainless-steel wires. The sintered wire mesh shown in Figure 3b was manufactured by heating multiple woven layers of 0.02 mm diameter stainless-steel wire under pressure. The 1 µm openings in the sintered mesh are not visible in the photographs. The 140 µm mesh had a repeating square opening pattern, and the 1 µm mesh surface consisted of alternating rectangular features. Powder samples were loaded by placing small quantities on top of the mesh and then manipulating them with a brush or spatula until they fell into the mesh’s low spots. Typically, less than 1 mg of a neat sample was needed to obtain a spectrum. As shown by the photos on the right side of Figure 3, these quantities were usually not enough to fill the 140 µm mesh openings. Liquid sample volumes were added to recessed mesh buttons using a Hamilton (Reno, NV, USA) 10 µL graduated syringe with ±1% accuracy. A small opening in the Plexiglas FTIR sample compartment cover (Figure 2) permitted button sample introduction and removal without significant disruption of the dry air instrument purge environment.

3. Results

3.1. Mesh Properties

Stainless-steel meshes were made from small-diameter (0.02–0.11 mm) wires with circular cross-sections. Radiation impinging on button mesh wires was redirected upon reflection in directions that depended on the angle of incidence and the curvature of the wire at the reflection point. Infrared detector signals were proportional to the intensity of the collected radiation, which depended on the orientation of the mesh wires with respect to both the incident infrared beam and the diffuse reflection radiation collection mirror.
Figure 4 shows button ray tracings for specular reflected radiation and the scattered radiation that reached the detector. Specular reflection, which continued in the same direction as the incident beam, was not detected [7]. For the 140 µm mesh, most specular reflections occurred when incident radiation reflected from the flat metal backing at the bottom of the mesh void spaces. This radiation reflected from the backing without striking a wire. As shown in Figure 4, only radiation that reflected at a ca. 120° angle relative to the incident infrared beam was collected by the diffuse reflection optics. The path of this radiation included at least one reflection from a wire surface.
When the button sample holder was rotated in the horizontal plane containing the focal point, the mesh pattern orientation changed with respect to both the incident beam and the ellipsoid mirror that collected the scattered radiation, resulting in systematic detector signal variations. Figure 5a shows detector signal changes at 1300 cm−1, which represented the highest single-beam intensity, when the Figure 1c 140 µm recessed mesh button was rotated about the focal point of the praying mantis diffuse reflection optics. Intensities were recorded in 1° rotation angle increments. Maxima were observed for button mesh orientations that directed the most scattered radiation to the detector. Detector signals maximized at 90° rotation intervals. Four maxima per 360° of rotation were detected because the plain weave mesh pattern had square openings, providing a 4-fold symmetry (Figure 3a). Similarly, the Figure 5b single-beam intensity-versus-rotation-angle plot derived from the Figure 1b 1 µm recessed mesh button exhibited maxima at 180° rotation angle intervals because the sintered wire mesh pattern of rectangles had a 2-fold symmetry (Figure 3b). Larger single-beam intensities were obtained for the 1 µm mesh, which had smaller and more numerous surface variations (Figure 3). To eliminate baseline fluctuations caused by differences in background and sample single-beam intensities, the button sample holder introduction slide was designed so that wire mesh orientations with respect to both the incident beam and diffuse reflection optical system were always the same.

3.2. Energy Throughput

The FTIR infrared beam passes through a beamsplitter in the interferometer and a window at the detector. Between the source and detector, it reflects from multiple mirror surfaces. The optical components in the infrared beam path are not 100% efficient in transmitting/reflecting this radiation. Typically, radiation losses accumulated throughout the beam path result in less than 10% of the infrared source energy reaching the detector [15]. Because the radiant power at the detector determines measurement signal-to-noise ratio, sensitivity, and detection limits, it is important to optimize the energy throughput [16]. The low FTIR energy transfer efficiency is further reduced when optical systems are inserted in the beam path to facilitate transmission, ATR, or button infrared spectrum measurements [17]. The energy throughput spectrum for an infrared spectroscopy accessory can be calculated by dividing a single-beam spectrum obtained with the accessory installed by a single-beam spectrum measured before the installation.
Radiation loss in transmission cell measurements is primarily due to Fresnel reflections from infrared-transparent window surfaces [18]. For well-aligned systems with cells comprising optically flat, clear windows, over 90% of the incident radiation can be transmitted through spectral regions where the sample does not absorb [19]. For KBr pellets, radiation can be scattered by the particles embedded in the pellet in addition to Fresnel surface reflection losses [20]. The effects of this scattering can be minimized by grinding the pellet material so that particle dimensions are below the wavelengths of the radiation [21].
The energy transfer efficiency of optics employed for ATR depends on the internal reflection element (IRE) crystal composition and shape, in addition to the optics employed for radiation focusing and collecting [22]. The energy throughput for a diamond IRE approaches zero between 1900 and 2300 cm−1 due to strong infrared radiation absorption [23]. ATR optical systems designed for several successive penetrations of radiation into sample material (i.e., multiple bounces) have lower throughput than single-bounce designs. Energy throughputs for typical ATR accessories range from 25 to 40% [24].
Figure 6 shows the energy throughput spectra for the diffuse reflection accessory when empty 1 µm (red) and 140 µm (blue) recessed mesh buttons were loaded, and button mesh orientations that provided the highest single-beam intensities were employed. The plots overlap below 1700 cm−1 and exhibit similar non-linear profiles below 1200 cm−1. The efficiency for the 140 µm button (blue) decreased linearly with increasing wavenumber above 1700 cm−1, whereas the 1 µm button’s efficiency (red) remained relatively constant, indicating that the inherent single-beam shape of the FTIR spectrophotometer was preserved. Between 35 and 50% of the FTIR radiant energy that entered the accessory was transmitted. Thus, the ATR and button techniques offer comparable energy transfer efficiencies, which are less than those that can be obtained with transmission cells.

3.3. Solids

The button sample holder has been employed to obtain the infrared spectra of clays [25,26], pharmaceuticals [27,28], polymers [29,30], and minerals [14]. Solid samples must be in powder form or cut into small fragments for analysis. Spectrum quality depends on the physical properties of the sample and its characteristic infrared band absorptivities. Typically, smaller particles (~1 µm) prepared in thin layers are preferred, because the cumulative diffusely reflected radiation travel distances through the sample material are shorter.
The amount of material added to a button can range from a few particles to completely filling the indentation in the recessed mesh button. Infrared band intensities depend on the amount of the sample exposed to infrared radiation. In general, adding more material results in more intense infrared bands. Figure 7 compares infrared spectra obtained by placing different quantities of 10-nonadecanone powder on the surface of the exposed-mesh button shown in Figure 1a. The spectrum in Figure 7a was obtained after placing a few particles near the center of the button, and the spectrum in Figure 7b was obtained after covering most of the wire mesh surface with particles, which required a few hundred micrograms of material. The infrared spectrum in Figure 7a is superimposed on the spectrum in Figure 7b (red plot) to highlight the disparity in band intensities. The button surface employed for the Figure 7b measurement resembled the right photo in Figure 3b. At the same magnification, the <10 µm diameter particles that provided the spectrum in Figure 7a were barely visible. The infrared spectrum bands in Figure 7a appear at the same wavenumbers and are somewhat sharper than the most intense bands in Figure 7b. Intensities for low absorptivity bands were below the baseline noise level and therefore not discernible. The baseline in Figure 7b rises above 100% due to increased radiation scattering (relative to the background single-beam measurement) caused by reflections and refractions through the irregularly shaped sample particles [7]. The blue plot reflectance near 2900 cm−1 in Figure 7b was higher than expected, because some wire mesh surfaces remained exposed after loading the powder, allowing reflecting radiation to reach the detector without interacting with the sample. Transmittance and ATR spectral features can be similarly offset from zero when some of the detected infrared radiation does not interact with the sample material. This can occur due to void spaces present within transmission cells and when the ATR sample does not cover the entire IRE crystal surface.
The exposed-mesh button in Figure 1a can be used to remove material from bulk solids and transfer it to mesh void spaces, eliminating the need to grind the sample. Figure 8 shows photos of a tool that was constructed to hold the button when transferring material by abrasion. The button is firmly held on the end of the tool by a strong magnet. Material is transferred by rubbing the exposed wire mesh across a sample surface. The rough wire mesh surface cuts and captures small pieces of sample material. Pulling back on the black handle of the tool retracts the magnet and releases the button. Figure 9 shows an infrared spectrum obtained by using this tool. A 500 mg vitamin C tablet was cut in half to expose the material inside. The tool was then used to transfer some of the exposed tablet material to the Figure 1a button mesh. The resulting infrared spectrum is a close match to ascorbic acid spectra in the literature [31].
The physical characteristics of the button employed for powder analysis can impact the infrared spectrum quality. This was demonstrated by measuring the infrared spectra of a soil sample by using the two recessed mesh buttons shown in Figure 1. The heterogeneous sample was ground to a fine powder, and then thin layers were added to each button. Infrared spectra of the soil measured by using the 1 µm (red) and 140 µm (blue) buttons are shown in Figure 10. The heavily overlapping spectral features in these spectra reflect the complexity of the sample, which contained both organic and inorganic constituents. Bands near 1000 cm−1 were likely due to clay absorbances, and broad bands above 3000 cm−1 indicate the presence of adsorbed water and solid material containing hydroxyl groups. Band intensities in the blue spectrum ranged from 55 to 128% reflectance (a 73% span), whereas the 19% red spectrum span extended from 85 to 104%. The larger wire diameters comprising the 140 µm mesh resulted in thicker sample layers and longer cumulative radiation penetration distances. Below 2000 cm−1, band intensities in the blue 140 µm button spectrum varied little due to consistently high absorbance at these wavenumbers. Despite nearly total radiation absorption, intensities of the overlapping bands below 2000 cm−1 were close to 55% reflectance. This offset from zero occurred because a significant fraction of the incident radiation did not interact with the soil sample and instead reflected from exposed mesh wire surfaces. The red 1 µm button spectrum exhibited greater intensity variability below 2000 cm−1 because less radiation was absorbed by the thinner sample layer. The 85% reflectance band minimum at 1000 cm−1 resulted from a combination of lower radiation absorption by the sample and more reflections from exposed wire surfaces. Soil sample reflectance spectrum offsets could have been eliminated by covering the entire wire mesh with sample material [26]. However, sample dilution in a non-absorbing material would have been necessary to obtain accurate representations for high absorptivity bands.
Like Figure 7b, baseline intensities at 4000 cm−1 exceeded 100% in both soil sample infrared spectra. The baseline was shifted by about +28% in the 140 µm button spectrum and by at least +4% in the 1 µm button spectrum. These offsets can be attributed to increased radiation scattering in the sample single-beam measurement, arising from the particles that were added to the wire mesh void spaces. The offset was greater for the 140 µm button because the larger void volumes held more particles than the 1 µm button. This offset can be reduced or eliminated by increasing the amount of radiation scattered during the background single-beam measurement. This can be accomplished by filling the button with a non-absorbing diluent powder (e.g., KCl) before obtaining the background single-beam spectrum. Scattering from diluent particles increases the detector signal without altering the single-beam spectrum shape. Reflectance is reduced over the entire wavenumber range because sample single-beam intensities are divided by larger background single-beam values.
The fraction of detector signal derived from radiation that does not interact with the sample depends on how the particles are distributed on the mesh surface. Loading samples so that the same partial surface coverage pattern is consistently created is not practical. As a result, neat sample measurements typically provide insufficient reproducibility to facilitate quantitative analyses. However, higher spectrum reproducibility and quantitative analyses have been demonstrated for samples diluted in KCl powder when the same recessed mesh button is employed for sample and background measurements, and the indentation is filled [26]. About 10 mg of KCl powder is required to completely fill the 140 µm recessed mesh button indentation (Figure 1c). Under these conditions, relatively consistent powder layer thicknesses can be achieved, and all mesh wires are covered.
Figure 11 shows infrared spectra and calibration functions obtained for mixtures of poly(methyl methacrylate) (PMMA) powder dispersed in KCl. Reference standards contained: 0.5, 1, 2, 4, 6, and 8% by weight PMMA. The button indentation was filled with KCl powder prior to collecting the background single-beam spectrum. Three replicate infrared spectra were measured for each mixture. For quantitative determinations, infrared spectra must be converted from reflectance to a form that is proportional to sample concentration. Apparent absorbance (log(1/R)) [26] and the Kubelka–Munk function [32] formats are commonly employed for diffuse reflection spectra. Averages of the three PMMA/KCl infrared spectra obtained for each standard mixture are shown in apparent absorbance and Kubelka–Munk formats in Figure 11a,b, respectively. The PMMA band locations in these figures are similar to those in spectra obtained for polymer thin films by transmission spectroscopy [33]. Figure 11c shows a comparison of the calibration functions for the C=O stretching vibration band at 1730 cm−1 derived by using the apparent absorbance (red) and Kubelka–Munk function (blue) spectrum intensities. The Figure 11c red line connects the average band intensities derived from apparent absorbance spectra, whereas the blue plot is a result of linear regression based on the six Kubelka–Munk function average values. The Kubelka–Munk function is linear over the entire concentration range. In contrast, the apparent absorbance plot is curved at low concentrations but relatively linear between 2 and 6%. These trends are consistent with previously reported button sample holder results for samples containing similar concentrations of caffeine and copper thiocyanate mixed with KCl [26].

3.4. Liquids

The button sample holder has been primarily used for measuring the infrared spectra of solids. However, examples of using it to obtain the infrared spectra of liquids have been reported [8,13]. When a liquid is added to the wire mesh void spaces, radiation reflecting from various round and flat metal surfaces traverses different distances through the sample. Because radiation passes through the sample and also reflects from the button surfaces, sample interactions with radiation are best described as “transflection” [34]. The number of distinct paths through the liquid (bi) and their associated weighting factors (fi) determine the relative band intensities in the measured spectra. Absorbance path length distributions (i.e., plots of fi versus bi) depend on the button mesh pattern and its orientation with respect to incident radiation, liquid reservoir dimensions, and the refractive index of the sample [13]. The effects of multiple path lengths on sample absorbance can be modeled by replacing the path length parameter in the Beer’s law equation with an “effective” path length (beff). Because the effective path length depends on absorptivity (aλ), it varies throughout the spectrum. At a given wavenumber, it corresponds to the transmission cell window separation that provides the same absorbance as that obtained when multiple path lengths are present:
beff = Aλ(mp)/aλc
where Aλ(mp) is the absorbance (i.e., log(1/R)) obtained when radiation with differing path lengths passes through the sample, and c is the sample concentration. By summing over all radiation penetration distances (bi), the following expression [35] for beff is obtained:
beff = −log(Σfi10−aλbic)/aλc
where fi is the fraction of incident radiation that passes through the sample with a bi path length. For small values of the aλc denominator, beff approaches the weighted average path length (i.e., Σfibi) [35,36]. For larger aλc values, absorbance contributions from shorter path lengths increase, resulting in smaller beff values. In general, Equation (2) yields beff values that are shorter when aλ is larger, as long as fi, bi, and c remain constant. This requirement is met for bands in the same button infrared spectrum.
The impact of multiple path lengths on button sample holder measurements is illustrated by the chlorobenzene infrared spectra shown in Figure 12. The top portion of Figure 12 contains an overlay of thin film spectra obtained by using the Figure 1c 140 µm button (blue) and a transmission cell with KBr windows (red). Bands with the highest absorptivities exhibit the lowest transmittance in the red plot. In general, bands are wider in the spectrum obtained by using the button. When compared to the transmittance spectrum, low absorptivity band intensities are enhanced and high absorptivity band intensities are diminished.
The plots at the bottom of Figure 12 compare chlorobenzene infrared spectra obtained when 2.0 µL of the liquid were placed in the 140 µm recessed mesh button (blue) and when a 0.25 mm fixed path length transmission cell was employed (red). These spectra are similar. The main difference is that the bottoms of the highest absorptivity bands in the transmission cell spectrum (denoted by *) are flat and near zero transmittance, whereas the corresponding button spectrum peaks have shapes similar to those in the thin film spectrum. Peak shape details are preserved in the button spectrum because the detector signal includes contributions from radiation that traverses short distances through the sample [13].
Liquid samples containing suspended and dissolved solids can be analyzed by depositing them on a button and allowing time for solvent evaporation. For example, Figure 13a shows infrared spectra obtained after depositing a drop of blood on the 1 µm recessed mesh button. Sixteen interferograms were co-added per spectrum at 12 s intervals for about four minutes. The blood spectra in Figure 13a have features similar to those reported by using ATR [37,38,39], except that relative intensities for absorbance bands below 1500 cm−1 are greater in the button spectra. Table 1 shows that peak maxima wavenumbers for bands below 1800 cm−1 in the 4.1 min spectrum (blue) are similar to those reported for average dried blood sample spectra obtained by using ATR with a diamond IRE [40]. The 5 cm−1 difference in the amide I band location may have been due to a small amount of water remaining in the sample after 4.1 min.
The time required for water to evaporate from a blood drop depends on the sample volume and the ambient temperature and humidity [41]. As shown by the 4000–700 cm−1 integrated area versus time plot in Figure 13b, after 4 min, most of the volatiles in the sample had evaporated, resulting in consistent infrared spectrum integrated areas. Interestingly, the initial integrated band area loss evident in this plot is not observed when ATR is employed for measurements. Instead, band intensities remain relatively constant until near the end of the evaporation process, and significant infrared spectrum changes are only detected when the last water molecules leave the sample [41]. This behavior is observed because ATR is a surface analysis technique. As such, infrared spectra measured during sample drying characterize the thin liquid layer in contact with the IRE rather than the bulk material. Because water evaporates from the air/liquid interface at the top of the sample, the portion in contact with the IRE is the last to lose water. As a result, the Figure 13a infrared spectrum changes associated with water molecules evaporating from the bulk sample cannot be studied by the ATR method.
The triangles in Figure 13b denote regions where the slope of the area versus time plot changes. By subtracting the infrared spectra obtained at the beginning and end of each of these segments, specific time-dependent spectrum changes are revealed. As shown by the difference spectra in Figure 13c, the infrared spectrum changes that occurred during evaporation were complicated. The broad negative O-H stretching vibration band features above 3000 cm−1 are consistent with water loss. Variations in the shapes of these residuals suggest that the hydrogen bonding interactions of the evaporating water molecules changed with time. In general, O-H stretching vibrations for waters involved in stronger hydrogen bonding interactions occur at lower wavenumbers [42]. Thus, as expected, the more weakly bound water molecules (higher wavenumbers, red plot) were lost initially, and the more tightly held waters (lower wavenumbers, blue plot) evaporated last. Complex intensity variations below 2000 cm−1 include overlapping positive and negative features. These fluctuations are likely associated with the loss of volatiles as well as intensity variations and wavenumber shifts in non-volatile solute absorbance bands. These overlapping spectrum changes likely reflect the loss of intermolecular interactions with substances that evaporated. Thus, by using this analysis method, infrared spectra of non-volatile substances present in liquid samples can be obtained along with information regarding sample changes that occur during the evaporation process.
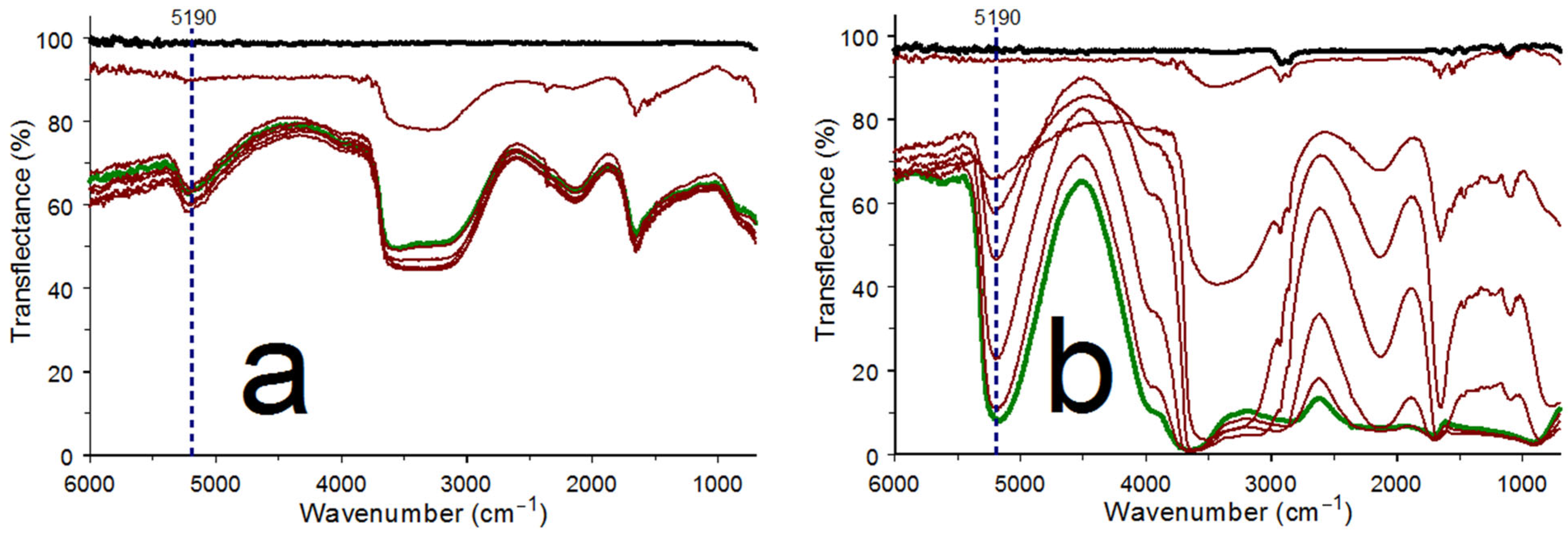
Infrared spectra of pure water measured using button sample holders typically contain distortions caused by surface tension effects. For example, Figure 14 compares infrared spectra obtained by using the button in Figure 1b after loading 4 µL of deionized pure water (Figure 14a) and 4 µL of water containing ca. 3% (w/w) detergent to reduce surface tension (Figure 14b). The wavenumber ranges of the spectra in Figure 14 extend to 6000 cm−1 to include the near-infrared combination band for water at ca. 5200 cm−1 [43]. Each water sample completely covered the mesh and nearly filled the indentation in the 1 µm recessed mesh button. Mid-infrared (i.e., 4000–700 cm−1) spectral features were dominated by the water O-H stretching vibration band centered at about 3400 cm−1 and the 1650 cm−1 H-O-H bending vibration band [44]. Successive 16-scan spectra were acquired at 12 s intervals for 10 min for each sample. The plots in Figure 14 show the spectra obtained at about 1 min intervals during the first 7 min. The green plots denote spectra measured immediately after inserting the button into the diffuse reflection optics, and the black spectra were obtained after 7 min. The red spectra were obtained after the green and before the black spectrum acquisitions and reveal changes that occurred between 1 and 6 min. The water completely evaporated from both samples after 7 min. The bottoms of the pure water O-H stretching vibration bands at 3400 cm−1 were flat throughout the first 5 min. The transflectance of this band was well above zero, suggesting significant contributions from reflected radiation that did not fully penetrate the sample. In contrast to the distorted pure water O-H stretching vibration bands, shapes for the 5190 cm−1 near-infrared combination bands were symmetrical in all spectra for both liquids. Because of its lower absorptivity, transflectance was greater at 5190 cm−1 compared to the mid-infrared bands. These near-infrared bands were larger in detergent spectra, indicating longer radiation penetration distances.
Initially, the mid-infrared detergent sample bands were broad, with transflectance values near zero, which is indicative of near total radiation absorption. Unlike the pure water results, the intensity of this band gradually diminished in spectra over the first 5 min. After 7 min, the black spectrum in Figure 14b revealed bands associated with non-volatile detergent solutes. Differences in the trends in the spectra shown in Figure 14 can be explained based on surface tension effects [45]. The high surface tension of pure water resulted in a curvature of the fluid that caused a significant fraction of incident radiation to be reflected from the liquid surface, resulting in transflectance offsets from zero. At the same time, the flattened O-H stretching vibration band shapes indicated that some radiation penetrated deep into the pure water sample. The red plots in Figure 14a show that the transflectance of the pure water vibration bands unexpectedly decreased during the first 5 min, indicating that the fraction of radiation reflecting at the air/water boundary decreased. Most of the band intensity loss for this sample occurred between 5 and 7 min, when the evaporation process was nearly finished. In contrast, the detergent sample’s transflectance spectrum bands were initially larger than those of the pure water spectra and gradually diminished over the entire 7 min elapsed time.
The results in Figure 14 suggest that aqueous solutions should contain sufficient surfactant and/or solute concentrations to disrupt strong intermolecular hydrogen bonding interactions between water molecules at the air/liquid boundary. This requirement was satisfied for the spectra measured during the blood sample evaporation study. Because the blood volume was much less than 4 µL, the transflectance at 3400 cm−1 was initially about 22% (i.e., 0.6 Absorbance) and the O-H stretching vibration band shape (Figure 13a) was not distorted.
Quantitative liquid sample analyses are possible when beff is constant. This can be accomplished by making all measurements with the same recessed mesh button and using a syringe to reproducibly load the same amount of liquid sample [13]. For a given button, larger volumes result in thicker layers and greater beff values. Sample volume is not proportional to beff when liquids partially cover mesh wires, because layer thickness depends on the volume displaced by the mesh wires, which varies as the liquid level rises due to the circular cross-sections of the wires. The 140 µm recessed mesh button shown in Figure 1c has a maximum capacity of about 5 µL. Dispensing volumes ranging from 1.0 to 3.5 µL typically yielded acceptable quantitative results [8,13]. Recessed mesh buttons can be used like variable-path-length transmission cells, except that path-length adjustments are made by simply varying the liquid sample volume.

3.5. Pastes and Greases

By using the 1 µm exposed-mesh button, thin layers of greases and pastes can be analyzed quickly and easily. An exposed-mesh button with small wire diameters provides easy access to the mesh surface and is somewhat easier to clean than a recessed mesh button. Viscous greases and pastes can be loaded by smearing them onto the button’s mesh surface. Figure 15 shows infrared spectra obtained from three different toothpaste brands by using this approach. Smeared samples were allowed to dry for a few minutes to remove water prior to obtaining spectra. The blue and green plots exhibit common features, suggesting that these toothpaste formulations were similar. The band shapes in the red plot differ from the other two, indicating a significantly different composition. Common spectral features included an intense band near 1000 cm−1, likely associated with a mild abrasive, and the strong bands above 3000 cm−1, which indicate the presence of hydroxyl-containing components.

3.6. Temperature Perturbation

Variable temperature diffuse reflection infrared spectroscopy (VT-DRIFTS) is a sample perturbation method that provides a means for discerning subtle temperature-dependent structural changes in solid materials [25,46]. To obtain accurate VT-DRIFTS measurements, it is necessary to account for artifacts caused by sample heating in addition to factors that must be considered when making isothermal DRIFTS measurements. The components of the button VT-DRIFTS heating/cooling apparatus are shown in Figure 16. The left photo in the figure shows two buttons that contain thermocouples to facilitate temperature measurements. The thermocouples were spot-welded to the bottoms of thin wire mesh backings [28]. The buttons contain 140 and 1 µm meshes. As shown in the photo on the right side of Figure 16, these buttons were placed on a heating/cooling platform that was inserted into the diffuse reflection optics for infrared spectroscopy measurements. Heating and cooling were accomplished by using two stacked thermoelectric (TE) devices [29]. The heat generated by these devices is continuously removed by liquid coolant that flows through a heat sink beneath the TE stack. Thermocouple wire and power leads are connected to a temperature controller that interfaces with the FTIR data system. Macro computer programs are employed to simultaneously adjust sample temperatures and collect infrared spectra at precisely selected time or temperature intervals.
The apparatus in Figure 16 was employed to investigate the temperature-dependent properties of a Lexan poly(bisphenol A carbonate) (BPA-PC) sheet. A razor blade was used to remove small amounts of the polymer by scraping the edge of the sheet. The resulting small fragments were spread over the surface of the 1 µm button shown in Figure 16, which was then placed on the heating/cooling platform and inserted into the diffuse reflection optical system. Infrared spectra were acquired at ca. 30 s intervals while heating the sample at 2 °C/min from 30 to 150 °C. The sample was cooled back to 30 °C at 2 °C/min immediately after reaching 150 °C. This resulted in the collection of 242 infrared spectra at 0.99 °C sample temperature intervals.
Figure 17 shows an overlay of the Kubelka–Munk format spectra obtained from the initial 30 °C (green), 150 °C (red), and the final 30 °C (blue) measurements. These plots are similar to previously published BPA-PC spectra [47]. The low intensity bands in the spectra overlap nearly completely, but the higher intensity bands exhibit noticeable differences. Bands in the initial spectrum (green) were the most intense, followed by the 150 °C and the final 30 °C spectra. Difference spectra (Figure 18a) were computed by subtracting the initial spectrum from the 150 °C spectrum (red) and the 150 °C spectrum from the final spectrum (blue). Negative offsets in Figure 18a indicate intensity losses, whereas positive offsets indicate intensity gains. Intensity gains adjacent to intensity losses are indicative of band shifting [14]. Below 1600 cm−1, most of the spectrum changes detected while heating the sample were reversed when it was cooled. As a result, the red and blue residual plots are nearly mirror images. The C-H stretching vibration band near 3000 cm−1 was negative in both subtractions, indicating that this band intensity decreased during both sample heating and cooling. The red and blue residuals near 1800 cm−1 were also negative. Figure 18b shows the result of subtracting the initial spectrum from the final spectrum. The result of this subtraction is mathematically equivalent to adding the red and blue plots in Figure 18a and represents the overall sample changes that occurred after applying the heating/cooling temperature ramps. Most overall subtraction residuals were negative, indicating irreversible intensity losses. The largest losses occurred at wavenumbers associated with the most intense polymer bands (Figure 17). The relative intensities in Figure 18b are slightly different from those in the spectra in Figure 17, and peaks below 1000 cm−1 are missing, suggesting that these changes were not caused by polymer loss. The plots in Figure 18 indicate that heating and then cooling the BPA-PC sample resulted in both reversible and irreversible changes.
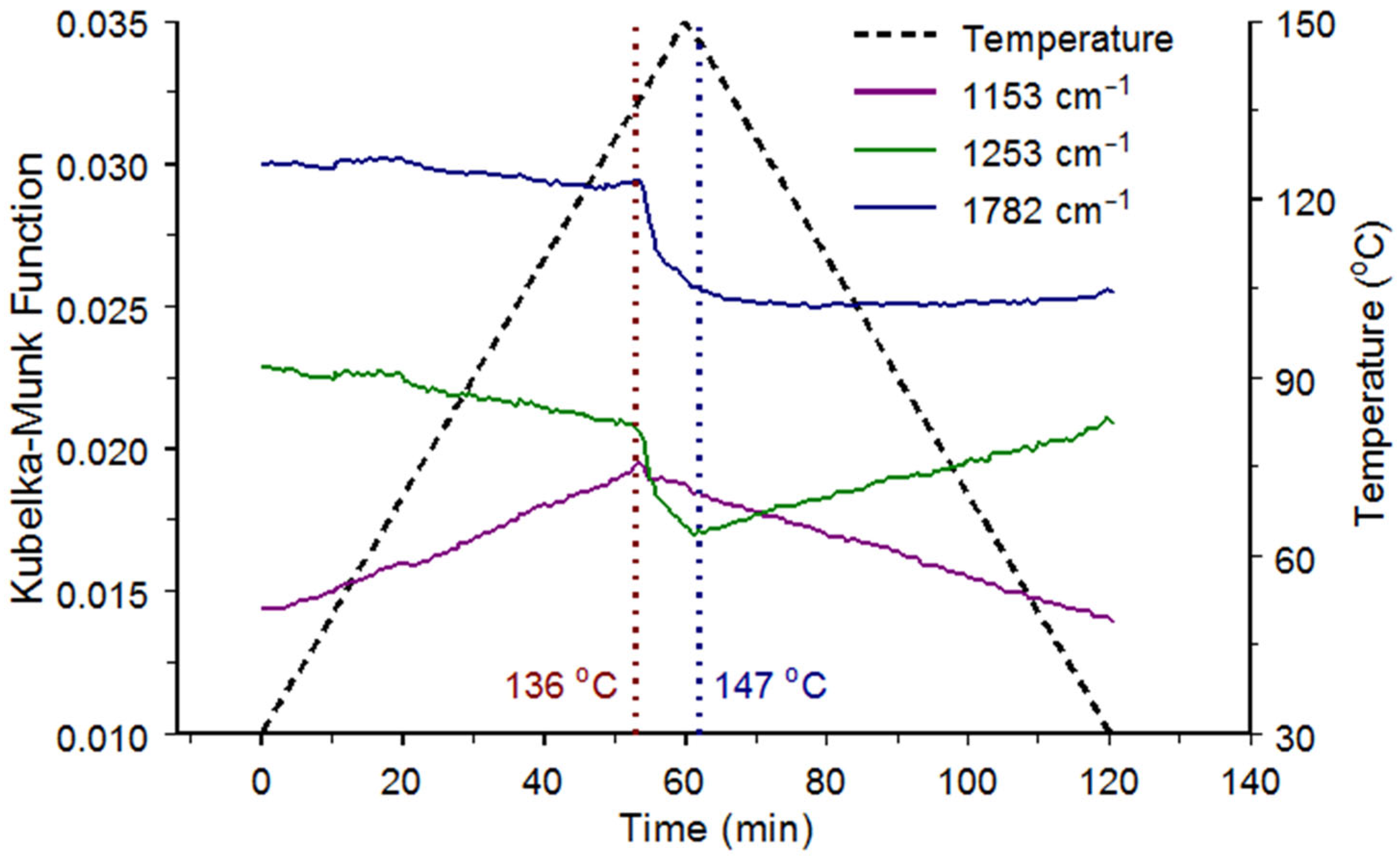
Additional information regarding temperature-dependent BPA-PC infrared spectrum changes was obtained by examining band intensity versus temperature profiles. Spectrum intensities at the three wavenumbers labeled in Figure 18a were used to make plots. These wavenumbers were assigned to C=O stretching (1782 cm−1), C-O-C stretching (1253 cm−1), and aromatic ring stretching (1153 cm−1) vibrations [48]. When compared to the initial 30 °C infrared spectrum, the intensity at 1153 cm−1 increased, and the 1253 and 1782 cm−1 intensities decreased when the polymer reached 150 °C. The blue curve in Figure 18a, representing sample changes that occurred while cooling from 150 to 30 °C, reveals a 1782 cm−1 intensity decrease, whereas the 1153 cm−1 gain and the loss at 1253 cm−1 caused by sample heating (red curve) are reversed. As shown by the plots in Figure 19, the intensity at 1782 cm−1 decreased abruptly starting at 136 °C during the heating ramp and continued to drop until the sample cooled below 147 °C. The 1253 cm−1 intensity-versus-temperature profile consisted of a gradual decline between 30 and 136 °C, followed by a steep drop over the same temperature range as the 1782 cm−1 plot. After this drop, the 1253 cm−1 intensity gradually increased as the sample cooled back to 30 °C. The 1153 cm−1 intensity gradually increased until the sample temperature reached 136 °C and then slowly returned to its initial value.
The intensity-versus-temperature profiles at these wavenumbers suggest that there were two distinct sample changes. One change was characterized by gradual infrared spectrum intensity variations that were proportional to the sample temperature, whereas the other resulted in a permanent intensity drop that occurred near the maximum temperature. The gradual 1153 cm−1 aromatic ring stretching vibration band intensity changes were likely due to a reversible expansion and contraction of the polymer. The abrupt intensity losses at 1782 and 1253 cm−1 occurred over the same temperature range and were likely an indication of polymer conformational changes associated with a glass transition. This hypothesis is supported by the finding by Schmidt et al. that the C=O (1782 cm−1) and C-O-C (1253 cm−1) stretching vibration band intensities were particularly sensitive to changes in BPA-PC conformation [49]. The observed 136 °C onset for intensity loss is 9 °C below the 145 °C Tg value previously reported for BPA-PC bulk material [50]. This small temperature discrepancy may be attributed to different polymer compositions, particularly in the amounts and types of additives and/or analysis method differences. More information regarding the temperature-dependent properties of this polymer may be obtained by examining intensity versus temperature trends for other functional groups and by tracking band maximum wavenumber shifts. The reversible and irreversible sample changes may be characterized further by applying temperature step heating/cooling profiles to the material [14].
In addition to heating, the variable temperature button apparatus can be used for sample cooling. Button temperatures as low as −40 °C have been achieved by using thermoelectric cooling [28]. In addition to characterizations of low-temperature solid properties, button cooling can facilitate quantitative analyses of solutes dissolved in volatile liquids. In general, the vapor pressure of a liquid diminishes at subambient temperatures, resulting in slower evaporation rates. For example, the acetone C=O stretching vibration band persisted for 20 s at room temperature after 2 µL was added to a recessed mesh button [28]. However, this band was observed for 6 min when the same quantity of acetone was added to a button at −20 °C. Cooling the button from 25 to −20 °C slowed the acetone evaporation rate by a factor of 18. Because more time is available for measurements at −20 °C, it is possible to measure infrared spectra before significant solvent evaporation occurs.

4. Discussion

Infrared spectroscopy measurements made by using transmission, ATR, and a button sample holder yield different results. Whereas transmission and button spectra reflect bulk sample compositions, the shorter ATR radiation penetration depths provide mainly surface analyses. Transmission methods provide spectra with band intensities that are proportional to molecular vibration absorptivities as long as measurement conditions satisfy Beer’s law requirements. When compared to transmittance spectra obtained for the same substance, ATR spectra exhibit relative band intensity differences and maximum band wavenumber shifts [51]. As described here, intensities for low absorptivity vibration bands are enhanced in spectra obtained by using the button sample holder due to effects from multiple radiation path lengths. Like ATR, button infrared spectra often exhibit band maximum wavenumber shifts relative to transmission measurements [46]. Button sample holder infrared spectra can exhibit Reststrahlen effects for high absorptivity bands, wherein higher-than-expected reflectance near a band maximum appears as a peak inversion [52,53]. This undesired effect can be avoided by diluting the material with alkali metal halide powder. Thus, ATR and button spectra differ, and neither technique provides results identical to those obtained by transmission spectroscopy.
Although transmission cell measurements produce spectra that are most similar to extensive library database references, ATR is currently the most popular method for measuring infrared spectra of solids and liquids. This is largely due to ease of use [54]. For transmission spectroscopy, solid samples are typically diluted in KBr and pressed into pellets, and liquids require the use of fragile infrared-transparent windows. Preparing clear pellets can be difficult and time-consuming, and the clarity and optical flatness of fragile liquid cell windows must be maintained by frequent cleaning and polishing, which requires significant operator effort and expertise. In contrast, solid and liquid sample ATR spectra can usually be obtained from neat samples, and routine cleaning of IREs is much easier than polishing windows. Like ATR, the button sample holder method can be used to analyze neat materials. Qualitative button analysis methods for liquids and solids require little effort. Button infrared spectra of solids often have baselines exceeding 100% reflectance and exhibit band intensity offsets from zero due to radiation that reaches the detector without passing through the sample. These artifacts can be eliminated by filling the button with non-absorbing powder for background single-beam measurements and mixing samples with alkali metal halide diluents prior to sample measurements. Although these steps are not necessary for qualitative analyses, they are currently required for quantitative analyses. Buttons are more durable than infrared transparent windows and most IREs (except diamond) and can be reused almost indefinitely. Because buttons are made of stainless-steel, cleaning methods that would be too harsh for transmission cell windows or IRE crystals can be utilized.
Some attempts to automate infrared transmission spectroscopy measurements have been reported. For example, a carousel with 80 sample positions was sold commercially that provided automated infrared analyses of KBr pellets and materials deposited on KBr disks [55]. Yue et al. described a robotic system that deposited liquid samples on calcium fluoride substrates [56]. After drying, samples were automatically transferred to an FTIR to record their infrared spectra. Automated ATR infrared spectroscopy measurement systems have been developed for repetitive analyses of flowing fluids [57,58]. In addition, an autosampler containing 24 separate IRE crystals is commercially available [59]. Infrared analyses of samples loaded on button sample holders can be achieved by using a carousel. Figure 20 shows photographs of a prototype with an eight-button capacity. This proof-of-concept apparatus allows sample loading outside the purged sample compartment. By rotating the carousel, each of the eight buttons can be positioned at the focal point of the diffuse reflection optics for infrared spectrum measurements. A metal pin is inserted into a hole behind the button on the outside of the sample compartment to lock the position of the opposite side button at the optical system focus.

5. Conclusions

The button sample holder design is simple. It is durable, reusable, can be optimized for specific applications, and can provide infrared spectra for neat solid and liquid samples. Similarly to ATR, relative band intensities in measured spectra differ from transmission spectroscopy measurements, and band maxima wavenumber locations may be shifted. By using a diffuse reflection accessory and a sample slide to insert and remove buttons through a small opening in the FTIR sample compartment, quality infrared spectra can be measured quickly without disrupting the spectrophotometer purge. Due to its small size, flat bottom, and stainless-steel composition, buttons can be rapidly heated and cooled, facilitating temperature perturbation studies and analyses of volatile liquids. Existing carousel-type autosampler designs can be easily adapted to facilitate the automated analysis of multiple buttons. The quantitative analysis capabilities of this sample holder could be improved by developing new sample loading techniques to reproducibly prepare thin powder layers that completely cover the entire reflective mesh surface. In addition, detailed comparisons of analysis results obtained for the same samples by using the button sample holder and ATR are needed to fully assess this new methodology.

Funding

This research received no external funding.

Data Availability Statement

Data available upon request.

Conflicts of Interest

The author declares no conflicts of interest.

References

  1. Olson, N. Recent trends in analytical spectroscopy: A push toward in situ, in vivo, and minimally invasive techniques. Spectroscopy 2017, 32, 41–45. [Google Scholar]
  2. Bunaciu, A.A.; Hoang, V.D.; Aboul-Enein, H.Y. Vibrational micro-spectroscopy of human tissues analysis: Review. Crit. Rev. Anal. Chem. 2017, 47, 194–203. [Google Scholar] [CrossRef]
  3. Schmitt, S.; Garrigues, S.; Guardia, M.d.l. Determination of the mineral composition of foods by infrared spectroscopy: A review of a green alternative. Crit. Rev. Anal. Chem. 2014, 44, 186–197. [Google Scholar] [CrossRef]
  4. Su, K.Y.; Lee, W.L. Fourier transform infrared spectroscopy as a cancer screening and diagnostic tool: A review and prospects. Cancers 2020, 12, 115. [Google Scholar] [CrossRef]
  5. Perez-Guaita, D.; Garrigues, S.; Guardia, M.d.l. Infrared-based quantification of clinical parameters. Tr. Anal. Chem. 2014, 62, 93–105. [Google Scholar] [CrossRef]
  6. Milosevic, M. Internal reflection and ATR spectroscopy. Appl. Spectrosc. Rev. 2004, 39, 365–384. [Google Scholar] [CrossRef]
  7. White, R.L. Diffuse reflection mid-infrared spectroscopy of neat powders by using a wire mesh “button” sample holder. Anal. Chim. Acta 2020, 1098, 110–116. [Google Scholar] [CrossRef] [PubMed]
  8. Singh, J.; White, R.L. Mid-infrared spectroscopy of liquids by using a modified button sample holder. Spectrochim. Acta A 2022, 267, 120526. [Google Scholar] [CrossRef] [PubMed]
  9. Fuller, M.P.; Griffiths, P.R. Diffuse reflectance measurements by infrared Fourier transform spectrometry. Anal. Chem. 1978, 50, 1906–1910. [Google Scholar] [CrossRef]
  10. Milosevic, M.; Berets, S.L. A review of FT-IR diffuse reflection sampling considerations. Appl. Spectrosc. Rev. 2002, 37, 347–364. [Google Scholar] [CrossRef]
  11. Fuller, M.P.; Griffiths, P.R. Infrared analysis by diffuse reflectance spectrometry. Am. Lab. 1978, 10, 69–80. [Google Scholar]
  12. Miller, J.G.; Oulton, T.D. Some effects of grinding kaolinite with potassium bromide. Clays Clay Miner. 1972, 20, 389–390. [Google Scholar] [CrossRef]
  13. Singh, J.; White, R.L. Multiple path length mid-infrared spectra of liquids obtained by using a modified button sample holder. Anal. Methods 2022, 14, 1638–1645. [Google Scholar] [CrossRef] [PubMed]
  14. Noneman, H.F.; White, R.L. Temperature perturbation infrared spectroscopy of minerals. Minerals 2024, 14, 624. [Google Scholar] [CrossRef]
  15. Hirschfeld, T. Ideal FT-IR spectrometers and the efficiency of real instruments. Appl. Spectrosc. 1986, 40, 1239–1240. [Google Scholar] [CrossRef]
  16. Vongvivut, J.; Shilov, S.V.; Ekgasit, S.; Braiman, M.S. Symmetrically tapered <30-μm-thick quasi-planar germanium waveguides as chemical sensors for microanalysis. Appl. Spectrosc. 2002, 56, 1552–1561. [Google Scholar] [CrossRef]
  17. Maraoulaite, D.K. Temperature-Induced Spectral Artifacts in Fourier Transform Infrared (FTIR) Spectroscopy, Optimization of Variable Temperature Diffuse Reflection FTIR Spectroscopy Instrumentation. Doctoral Dissertation, University of Oklahoma, Norman, OK, USA, 2016. [Google Scholar]
  18. Lotz, M.R.; Petersen, C.R.; Markos, C.; Bang, O.; Jakobsen, M.H.; Taboryski, R. Direct nanoimprinting of moth-eye structures in chalcogenide glass for broadband antireflection in the mid-infrared. Optica 2018, 5, 557–563. [Google Scholar] [CrossRef]
  19. Chalmers, J.M. Mid-infrared spectroscopy: Anomalies, artifacts and common errors. In Handbook of Vibrational Spectroscopy; John Wiley & Sons: Hoboken, NJ, USA, 2006; Volume 3, pp. 2326–2347. [Google Scholar]
  20. Coates, J. A review of sampling methods for infrared spectroscopy. In Applied Spectroscopy: A Compact Reference for Practioners; Workman, J., Jr., Springsteen, A., Eds.; Academic Press: Boston, MA, USA, 1998; pp. 49–91. [Google Scholar]
  21. Hlavay, J.; Inczedy, J. Pellet preparation for quantitative determination of inorganic solid substances by infrared spectroscopy. Spectrochim. Acta 1985, 41A, 783–787. [Google Scholar] [CrossRef]
  22. Schadle, T.; Mizaikoff, B. Selecting the right tool: Comparison of the analytical performance of infrared attenuated total reflection accessories. Appl. Spectrosc. 2016, 70, 1072–1079. [Google Scholar] [CrossRef]
  23. Suzuki, E.M. Fourier transform infrared analyses of some particulate drug mixtures using a diamond anvil cell with a beam condenser and an infrared microscopy. J. Forensic Sci. 1992, 37, 467–487. [Google Scholar] [CrossRef]
  24. Crystal Selection for ATR. Available online: https://www.piketech.com/atr-crystal-selection/ (accessed on 20 November 2025).
  25. Noneman, H.F.; Hollingsworth, M.E.; Singh, J.; White, R.L. A high sensitivity variable temperature infrared spectroscopy investigation of kaolinite structure changes. Spectrochim. Acta A Mol. Biomol. Spectrosc. 2021, 247, 119113. [Google Scholar] [CrossRef] [PubMed]
  26. White, R.L. Concentration dependence of Kubelka-Munk function and apparent absorbance button sample holder infrared spectra. Anal. Methods 2025, 17, 5519. [Google Scholar] [CrossRef]
  27. Singh, J.; White, R.L. Discrimination of commercial ibuprofen tablets by using a button sample holder and mid-infrared spectroscopy. Anal. Methods 2022, 14, 1210–1214. [Google Scholar] [CrossRef]
  28. White, R.L. Thermal analysis by variable temperature infrared spectroscopy with a button sample holder and Peltier heating/cooling. Talanta 2023, 258, 124474. [Google Scholar] [CrossRef] [PubMed]
  29. White, R.L. Precise temperature control and rapid heating/cooling of infrared spectroscopy samples with a two-stage thermoelectric device. Anal. Methods 2023, 15, 6706–6715. [Google Scholar] [CrossRef] [PubMed]
  30. White, R.L. Baseline matching preprocessing of temperature perturbation infrared spectra. Anal. Methods 2025, 17, 2917. [Google Scholar] [CrossRef]
  31. Bichara, L.C.; Lanus, H.E.; Nieto, C.G.; Brandan, S.A. Density functional theory calculations of the molecular force field of l-ascorbic acid, vitamin C. J. Phys. Chem. A 2010, 114, 4997–5004. [Google Scholar] [CrossRef] [PubMed]
  32. Kubelka, P.; Munk, F. Ein Beitrag zur Optik der Farbanstriche. Z. Tech. Phys. 1931, 12, 593–601. [Google Scholar]
  33. Borowski, P.; Pasieczna-Patkowska, S.; Barczak, M.; Pilorz, K. Theoretical determination of the infrared spectra of amorphous polymers. J. Phys. Chem. A 2012, 116, 7424–7435. [Google Scholar] [CrossRef] [PubMed]
  34. Dannenberg, H.; Forbes, J.W.; Jones, A.C. Infrared spectroscopy of surface coatings in reflected light. Anal. Chem. 1960, 32, 365–370. [Google Scholar] [CrossRef]
  35. Dasgupta, P.K. Multipath cells for extending dynamic range of optical absorbance measurements. Anal. Chem. 1984, 56, 1401–1403. [Google Scholar] [CrossRef]
  36. Li, Y.H.; Shelor, C.P.; Dasgupta, P.K. Nonlinear absorbance amplification using a diffuse reflectance cell: Total organic carbon monitoring at 214 nm. Anal. Chem. 2015, 87, 1111–1117. [Google Scholar] [CrossRef]
  37. Kochan, K.; Bedolla, D.E.; Perez-Guaita, D.; Adegoke, J.A.; Veettil, T.C.P.; Martin, M.; Roy, S.; Pebotuwa, S.; Heraud, P.; Wood, B.R. Infrared spectroscopy of blood. Appl. Spectrosc. 2021, 75, 611–646. [Google Scholar] [CrossRef] [PubMed]
  38. Mistek-Morabito, E.; Lednev, I.K. Discrimination between human and animal blood by attenuated total reflection Fourier transform infrared spectroscopy. Commun. Chem. 2020, 3, 178. [Google Scholar] [CrossRef]
  39. Titus, J.; Ghimire, H.; Viennois, E.; Merlin, D.; Perera, A.G.U. Protein secondary structure analysis of dried blood serum using infrared spectroscopy to identify markers for colitis screening. J. Biophotonics 2018, 11, e201700057. [Google Scholar] [CrossRef] [PubMed]
  40. Lin, H.; Zhang, Y.; Wang, Q.; Li, B.; Huang, P.; Wang, Z. Estimation of the age of human bloodstains under the simulated indoor and outdoor crime scene conditions by ATR-FTIR spectroscopy. Sci. Rep. 2017, 7, 13254. [Google Scholar] [CrossRef] [PubMed]
  41. Zhang, Y.; Wang, Q.; Li, B.; Wang, Z.; Li, C.; Yao, Y.; Huang, P.; Wang, Z. Changes in attenuated total reflection Fourier transform infrared spectra as blood dries out. J. Forensic Sci. 2017, 62, 761–767. [Google Scholar] [CrossRef]
  42. Rozenberg, M.; Loewenschuss, A.; Marcus, Y. An empirical correlation between stretching vibration redshift and hydrogen bond length. Phys. Chem. Chem. Phys. 2000, 2, 2699–2702. [Google Scholar] [CrossRef]
  43. Czarnik-Matusewicz, B.; Pilorz, S. Study of the temperature-dependent near-infrared spectra of water by two-dimensional correlation spectroscopy and principal component analysis. Vib. Spectrosc. 2006, 40, 235–245. [Google Scholar] [CrossRef]
  44. Brobach, J.B.; Mermet, A.; Filabozzi, A.; Gerschel, A.; Roy, P. Signatures of the hydrogen bonding in the infrared bands of water. J. Chem. Phys. 2005, 122, 184509. [Google Scholar] [CrossRef] [PubMed]
  45. Penfold, J. The structure of the surface of pure liquids. Rep. Prog. Phys. 2001, 64, 777–814. [Google Scholar] [CrossRef][Green Version]
  46. White, R.L. Infrared spectroscopic investigations of calcium oxalate monohydrate (whewellite) dehydration/rehydration. Minerals 2023, 13, 783. [Google Scholar] [CrossRef]
  47. Dybal, J.; Schmidt, P.; Baldrian, J.; Kratochvil, J. Ordered structures in polycarbonate studied by infrared and Raman spectroscopy, wide-angle X-ray scattering, and differential scanning calorimetry. Macromolecules 1998, 31, 6611–6619. [Google Scholar] [CrossRef]
  48. Stolarski, V.L. A Conformational Analysis of the Physical Aging of Bisphenol-A-Polycarbonate. Doctoral Dissertation, Texas A&M University, College Station, TX, USA, 1995. [Google Scholar]
  49. Schmidt, P.; Dybal, J.; Truska, E.; Kulczycki, A. Conformational structure of bisphenol-A-polycarbonate studied by infrared spectroscopy. Polymer 1991, 32, 1862–1866. [Google Scholar] [CrossRef]
  50. Yin, H.; Napolitano, S.; Schonhals, A. Molecular mobility and glass transition of thin films of poly(bisphenol A carbonate). Macromolecules 2012, 45, 1652–1662. [Google Scholar] [CrossRef]
  51. Grdadolnik, J. ATR-FTIR spectroscopy: Its advantages and limitations. Acta Chim. Slov. 2002, 49, 631–642. [Google Scholar]
  52. Korte, E.H.; Roseler, A. Infrared reststrahlen revisited: Commonly disregarded optical details related to n < 1. Anal. Bioanal. Chem. 2005, 382, 1987–1992. [Google Scholar] [CrossRef]
  53. Martin, K.A.; Ferraro, J.R. Reststrahlen effects in DRIFT experiments of alkali metal halides in the far-infrared region. Appl. Spectrosc. 1987, 41, 45–49. [Google Scholar] [CrossRef]
  54. Miseo, E.V.; Larkin, P.J. Fourier transform infrared spectroscopy (FT-IR) diamond attenuated total reflection (ATR) measurements: The good, the bad, and the (really) ugly. Appl. Spectrosc. Pract. 2025, 3, 27551857251336262. [Google Scholar] [CrossRef]
  55. Fuller, M.; Weesner, F.; Carl, R. Autosampling and computerized data reduction techniques in infrared spectroscopy. In Automation in the Laboratory; Hurst, W.J., Ed.; VCH: New York, NY, USA, 1995; pp. 179–191. [Google Scholar]
  56. Yue, X.; Song, T.; Cao, J.; Zhang, X.; Feng, S.; Shang, W.; Jiang, J.; Chen, L. IR-Bot: An autonomous robotic system for real-time chemical mixture analysis via infrared spectroscopy and machine learning. CCS Chem. 2025. just accepted. [Google Scholar] [CrossRef]
  57. Mendelson, Y.; Clermont, A.C.; Peura, R.A.; Lin, B.C. Blood glucose measurement by multiple attenuated total reflection and infrared absorption spectroscopy. IEEE Trans. Biomed. Eng. 1990, 37, 458–465. [Google Scholar] [CrossRef]
  58. Skilton, R.A.; Parrott, A.J.; George, M.W.; Poliakoff, M.; Bourne, R.A. Real-time feedback control using online attenuated total reflection Fourier transform infrared (ATR FT-IR) spectroscopy for continuous flow optimization and process knowledge. Appl. Spectrosc. 2013, 67, 1127–1131. [Google Scholar] [CrossRef]
  59. AutoATR. Available online: https://www.piketech.com/wp-content/uploads/PDS/atr/PIKE-Technologies_AutoATR.pdf (accessed on 15 November 2025).
Figure 1. Buttons with (a) 1 µm exposed mesh, (b) 1 µm recessed mesh, and (c) 140 µm recessed mesh.
Figure 1. Buttons with (a) 1 µm exposed mesh, (b) 1 µm recessed mesh, and (c) 140 µm recessed mesh.
Instruments 10 00005 g001
Figure 2. The button diffuse reflection optical system.
Figure 2. The button diffuse reflection optical system.
Instruments 10 00005 g002
Figure 3. Comparisons of empty (left) and loaded (right) button meshes with (a) 140 µm and (b) 1 µm openings.
Figure 3. Comparisons of empty (left) and loaded (right) button meshes with (a) 140 µm and (b) 1 µm openings.
Instruments 10 00005 g003
Figure 4. Ray tracings for button specular reflections and scattered radiation that reaches the detector.
Figure 4. Ray tracings for button specular reflections and scattered radiation that reaches the detector.
Instruments 10 00005 g004
Figure 5. Single-beam intensity at 1300 cm1 versus rotation angle plots for the (a) 140 µm and (b) 1 µm mesh buttons.
Figure 5. Single-beam intensity at 1300 cm1 versus rotation angle plots for the (a) 140 µm and (b) 1 µm mesh buttons.
Instruments 10 00005 g005
Figure 6. Energy throughputs for the 140 µm (blue) and 1 µm (red) buttons when they are placed at the infrared beam focus of the diffuse reflection optics.
Figure 6. Energy throughputs for the 140 µm (blue) and 1 µm (red) buttons when they are placed at the infrared beam focus of the diffuse reflection optics.
Instruments 10 00005 g006
Figure 7. 10-Nonadecanone powder spectra obtained from (a) a few particles and (b) a thin layer. The spectrum in (a) is also shown (red) in (b).
Figure 7. 10-Nonadecanone powder spectra obtained from (a) a few particles and (b) a thin layer. The spectrum in (a) is also shown (red) in (b).
Instruments 10 00005 g007
Figure 8. Button handle used for abrasive direct transfer sampling.
Figure 8. Button handle used for abrasive direct transfer sampling.
Instruments 10 00005 g008
Figure 9. Vitamin C tablet (left) and the infrared spectrum (right) obtained by abrasion transfer with the 1 µm exposed-mesh button. The red arrow indicates where the sample was acquired.
Figure 9. Vitamin C tablet (left) and the infrared spectrum (right) obtained by abrasion transfer with the 1 µm exposed-mesh button. The red arrow indicates where the sample was acquired.
Instruments 10 00005 g009
Figure 10. Soil sample infrared spectra obtained with the 140 µm (blue) and 1 µm (red) buttons.
Figure 10. Soil sample infrared spectra obtained with the 140 µm (blue) and 1 µm (red) buttons.
Instruments 10 00005 g010
Figure 11. Average infrared spectra for the PMMA/KCl mixtures in (a) apparent absorbance and (b) Kubelka–Munk function formats. (c) The corresponding 1730 cm−1 band intensity calibration functions.
Figure 11. Average infrared spectra for the PMMA/KCl mixtures in (a) apparent absorbance and (b) Kubelka–Munk function formats. (c) The corresponding 1730 cm−1 band intensity calibration functions.
Instruments 10 00005 g011
Figure 12. Chlorobenzene infrared spectra obtained for (a) thin films in the 140 µm button and between two KBr windows, (b) 2.0 µL in the 140 µm button and with a 0.25 mm path length liquid transmission cell. Transmittance spectra are red, and button transflectance spectra are blue. Asterisks denote regions of near total absorption of radiation by the sample in the transmission cell.
Figure 12. Chlorobenzene infrared spectra obtained for (a) thin films in the 140 µm button and between two KBr windows, (b) 2.0 µL in the 140 µm button and with a 0.25 mm path length liquid transmission cell. Transmittance spectra are red, and button transflectance spectra are blue. Asterisks denote regions of near total absorption of radiation by the sample in the transmission cell.
Instruments 10 00005 g012
Figure 13. (a) Blood sample infrared spectra. (b) Integrated absorbance versus evaporation time. (c) Spectrum changes that occurred during the elapsed time intervals indicated in (b).
Figure 13. (a) Blood sample infrared spectra. (b) Integrated absorbance versus evaporation time. (c) Spectrum changes that occurred during the elapsed time intervals indicated in (b).
Instruments 10 00005 g013
Figure 14. Infrared spectra acquired at ~1 min intervals for (a) deionized pure water and (b) water containing 3% (w/w) detergent. Green plots denote initially acquired spectra. Black plots denote spectra obtained after 7 min. Red plots denote spectra acquired between 1 and 6 min.
Figure 14. Infrared spectra acquired at ~1 min intervals for (a) deionized pure water and (b) water containing 3% (w/w) detergent. Green plots denote initially acquired spectra. Black plots denote spectra obtained after 7 min. Red plots denote spectra acquired between 1 and 6 min.
Instruments 10 00005 g014
Figure 15. Infrared spectra for three different toothpaste brands measured by using the 1 µm exposed-mesh button.
Figure 15. Infrared spectra for three different toothpaste brands measured by using the 1 µm exposed-mesh button.
Instruments 10 00005 g015
Figure 16. (Left) Buttons containing thermocouples. (Right) The heating/cooling apparatus inserted into the diffuse reflection optics.
Figure 16. (Left) Buttons containing thermocouples. (Right) The heating/cooling apparatus inserted into the diffuse reflection optics.
Instruments 10 00005 g016
Figure 17. Poly(bisphenol A carbonate) infrared spectra obtained at 30 °C (green), at 150 °C (red), and after cooling back to 30 °C (blue).
Figure 17. Poly(bisphenol A carbonate) infrared spectra obtained at 30 °C (green), at 150 °C (red), and after cooling back to 30 °C (blue).
Instruments 10 00005 g017
Figure 18. (a) Results of subtracting the initial 30 °C from the 150 °C spectrum (red) and the 150 °C from the spectrum obtained after cooling back to 30 °C (blue). (b) Result of subtracting the final 30 °C spectrum from the initial 30 °C spectrum.
Figure 18. (a) Results of subtracting the initial 30 °C from the 150 °C spectrum (red) and the 150 °C from the spectrum obtained after cooling back to 30 °C (blue). (b) Result of subtracting the final 30 °C spectrum from the initial 30 °C spectrum.
Instruments 10 00005 g018
Figure 19. Plots of sample temperature (black, dashed) and spectrum intensities at 1782 (blue), 1253 (green), and 1153 cm−1 (purple) versus time.
Figure 19. Plots of sample temperature (black, dashed) and spectrum intensities at 1782 (blue), 1253 (green), and 1153 cm−1 (purple) versus time.
Instruments 10 00005 g019
Figure 20. Photos of an eight-button carousel for multiple sample analyses.
Figure 20. Photos of an eight-button carousel for multiple sample analyses.
Instruments 10 00005 g020
Table 1. Comparison of dried blood sample infrared spectrum band locations (cm−1) obtained by using the button sample holder and by ATR.
Table 1. Comparison of dried blood sample infrared spectrum band locations (cm−1) obtained by using the button sample holder and by ATR.
Vibration ModeButtonATR [40]
Amide I16441649
Amide II15361533
CH3 bend14531452
COO str13921392
Amide III13071307
C-O str11671165
Carbohydrate C-O str11071103
Carbohydrate C-O str928931
Disclaimer/Publisher’s Note: The statements, opinions and data contained in all publications are solely those of the individual author(s) and contributor(s) and not of MDPI and/or the editor(s). MDPI and/or the editor(s) disclaim responsibility for any injury to people or property resulting from any ideas, methods, instructions or products referred to in the content.

Share and Cite

MDPI and ACS Style

White, R.L. Button Sample Holders for Infrared Spectroscopy. Instruments 2026, 10, 5. https://doi.org/10.3390/instruments10010005

AMA Style

White RL. Button Sample Holders for Infrared Spectroscopy. Instruments. 2026; 10(1):5. https://doi.org/10.3390/instruments10010005

Chicago/Turabian Style

White, Robert L. 2026. "Button Sample Holders for Infrared Spectroscopy" Instruments 10, no. 1: 5. https://doi.org/10.3390/instruments10010005

APA Style

White, R. L. (2026). Button Sample Holders for Infrared Spectroscopy. Instruments, 10(1), 5. https://doi.org/10.3390/instruments10010005

Article Metrics

Back to TopTop