Magnetic and Electronic Inhomogeneity in Sm1−xEuxB6
Abstract
1. Introduction
2. Results
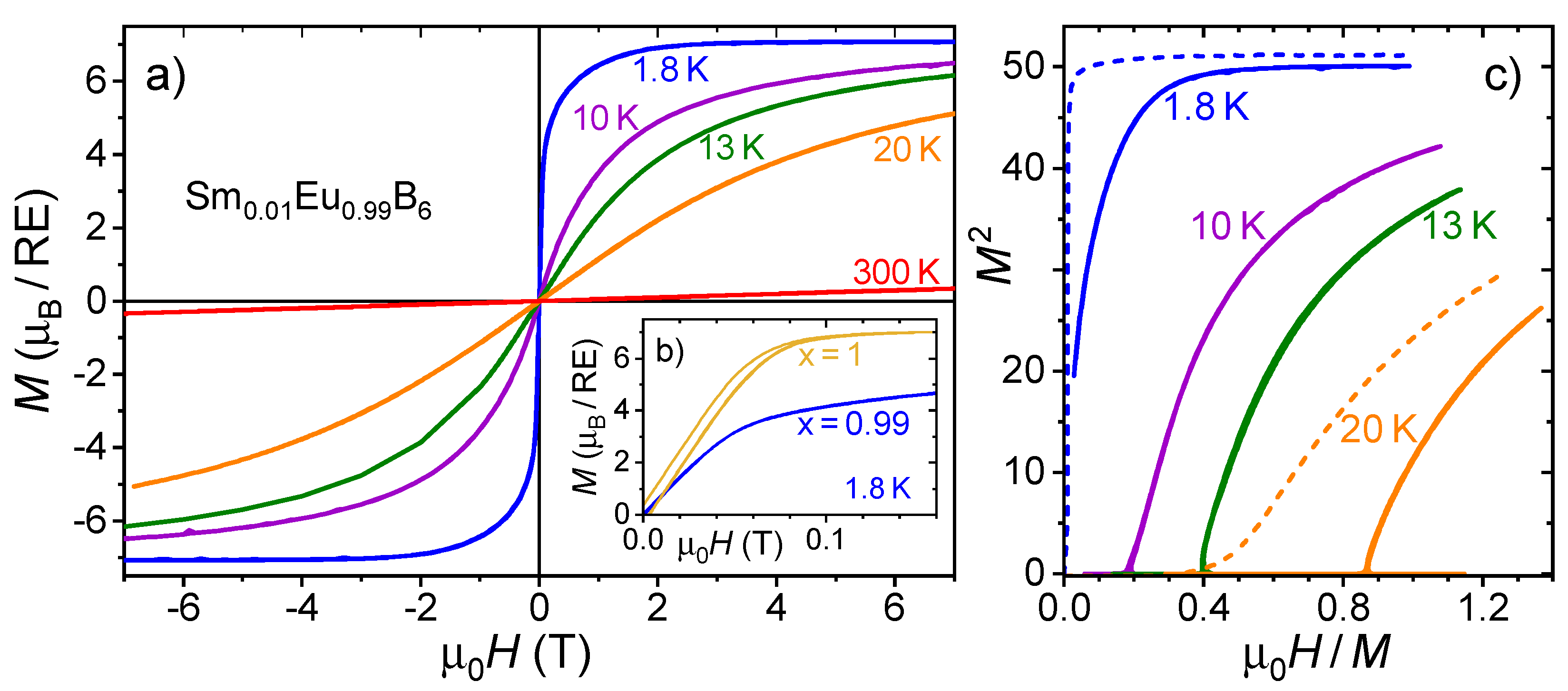
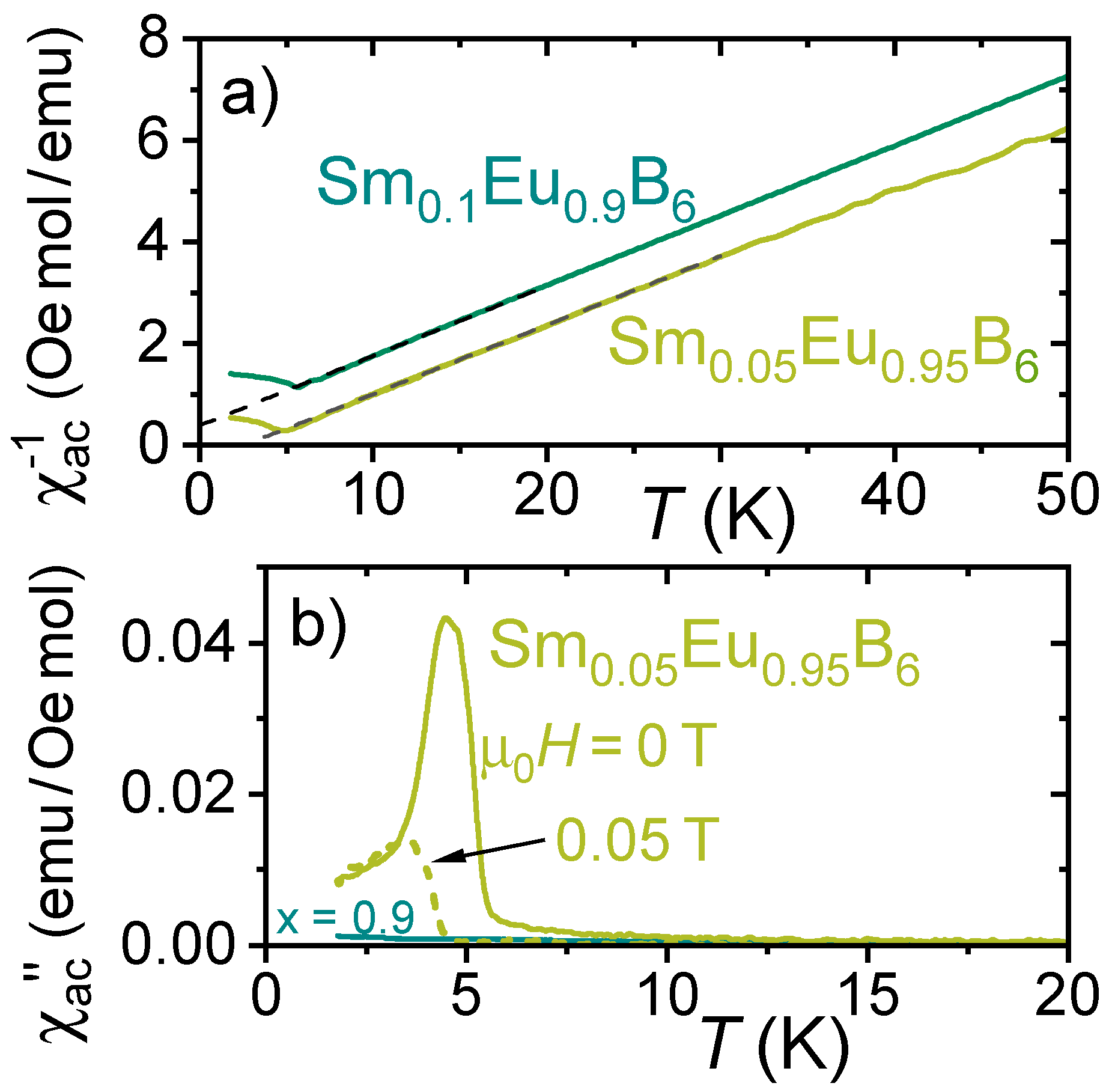
2.1. Magnetic Measurements
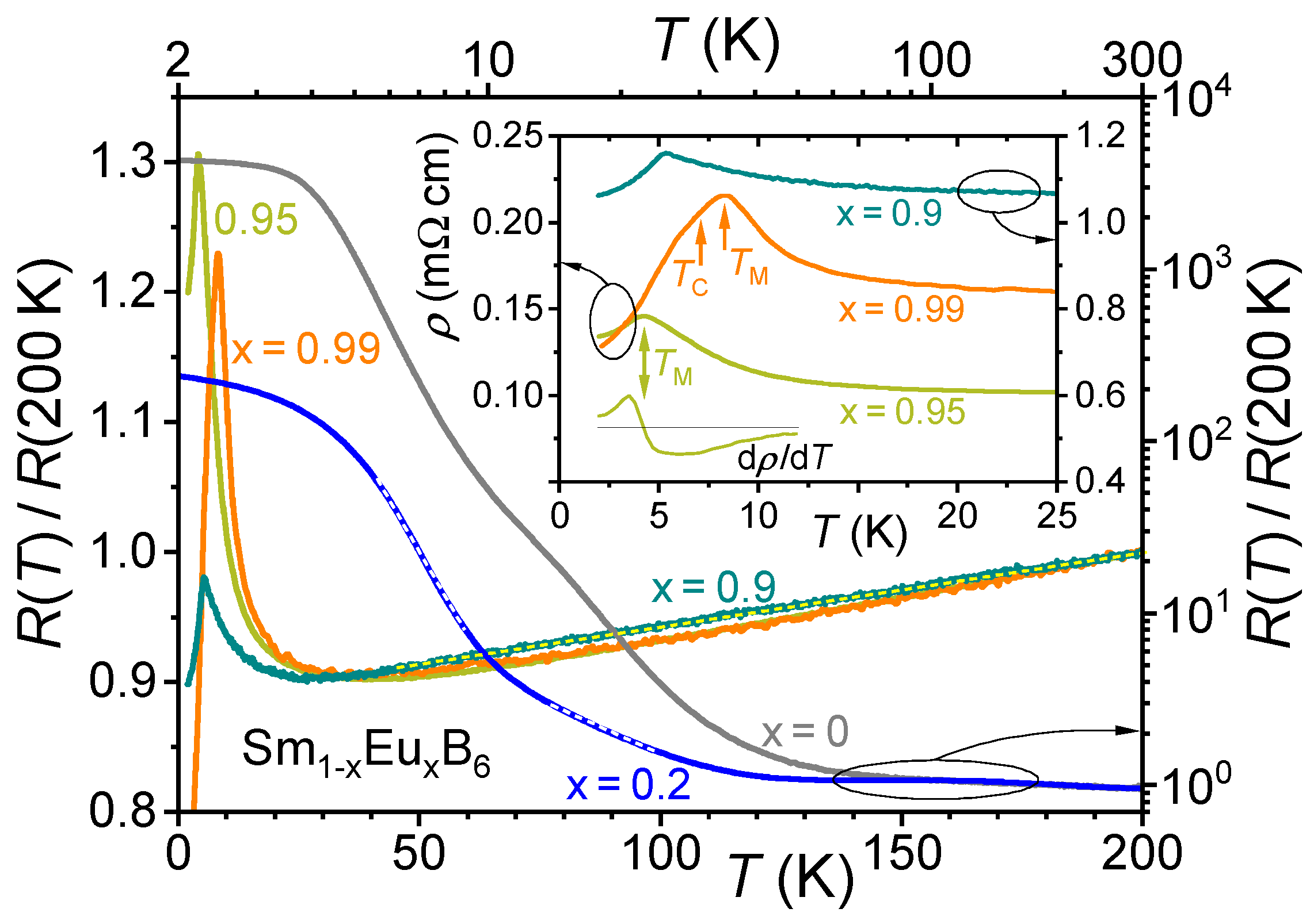
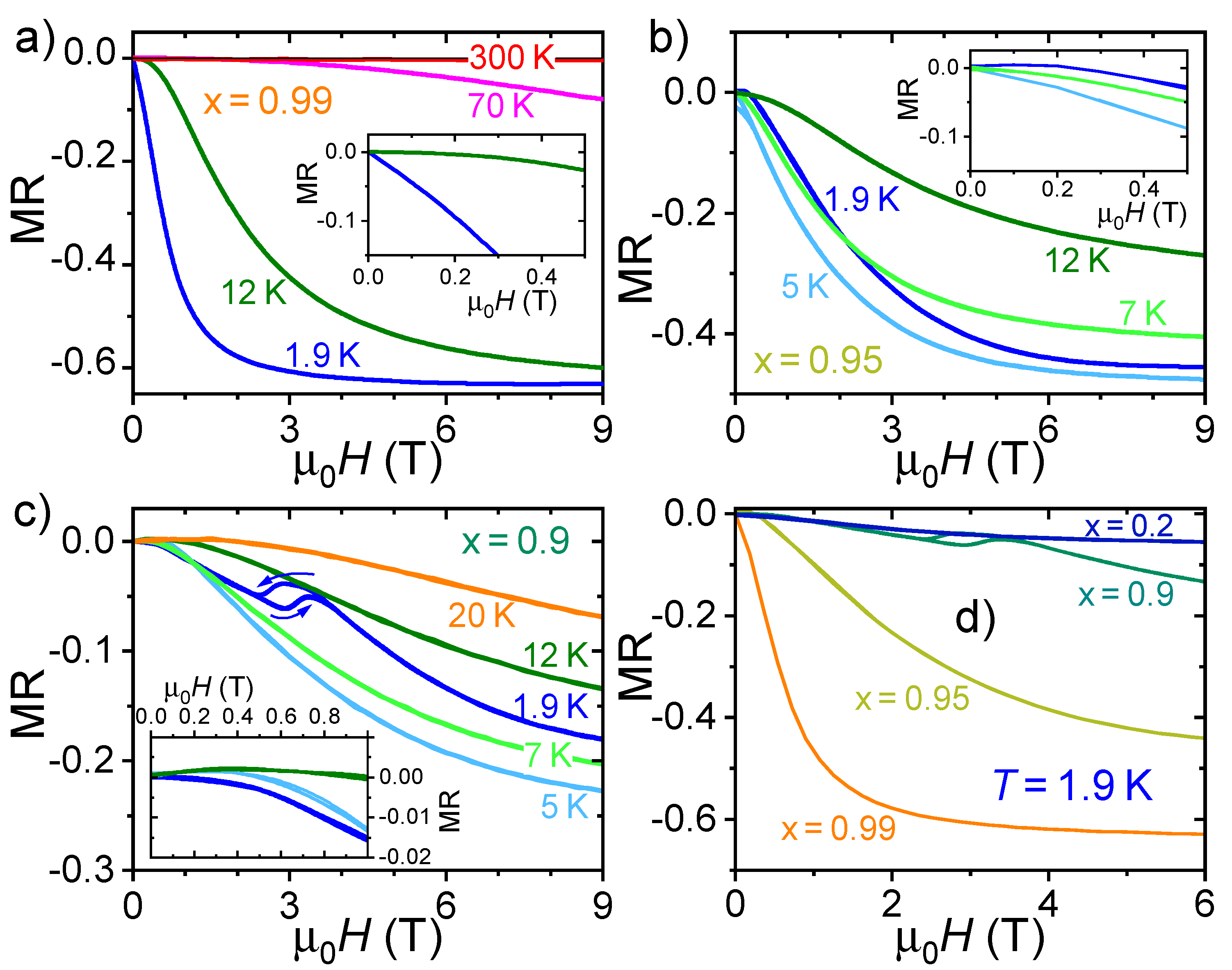
2.2. Magnetotransport Measurements
3. Discussion
4. Materials and Methods
Author Contributions
Funding
Institutional Review Board Statement
Data Availability Statement
Acknowledgments
Conflicts of Interest
References
- Pauling, L.; Weinbaum, S. The structure of calcium boride, CaB6. Z. Kristallogr. 1934, 87, 181–182. [Google Scholar] [CrossRef]
 - Etourneau, J.; Mercurio, J.P.; Hagenmuller, P. Compounds Based on Octahedral B6 Units: Hexaborides and Tetraborides. In Boron and Refractory Borides; Matkovich, V.I., Ed.; Springer: Berlin/Heidelberg, Germany; New York, NY, USA, 1977; pp. 115–138. [Google Scholar] [CrossRef]
 - Inosov, D.S. (Ed.) Rare-Earth Borides; Jenny Stanford Publishing: Singapore, 2021. [Google Scholar]
 - Cahill, J.T.; Graeve, O.A. Hexaborides: A review of structure, synthesis and processing. J. Mater. Res. Technol. 2019, 8, 6321–6335. [Google Scholar] [CrossRef]
 - Gesley, M.; Swanson, L.W. A determination of the low work function planes of LaB6. Surf. Sci. 1984, 146, 583–599. [Google Scholar] [CrossRef]
 - Geballe, T.H.; Matthias, B.T.; Andres, K.; Maita, J.P.; Cooper, A.S.; Corenzwit, E. Magnetic ordering in the rare-earth hexaborides. Science 1968, 160, 1443. [Google Scholar] [CrossRef]
 - Effantin, J.M.; Rossat-Mignod, J.; Burlet, P.; Bartholin, H.; Kunii, S.; Kasuya, T. Magnetic phase-diagram of CeB6. J. Magn. Magn. Mater. 1985, 47–48, 145–148. [Google Scholar] [CrossRef]
 - Schell, G.; Winter, H.; Rietschel, H.; Gompf, F. Electronic structure and superconductivity in metal hexaborides. Phys. Rev. B 1982, 25, 1589–1599. [Google Scholar] [CrossRef]
 - Grushko, Y.S.; Paderno, Y.B.; Mishin, K.Y.; Molkanov, L.I.; Shadrina, G.A.; Konovalova, E.S.; Dudnik, E.M. A Study of the Electronic Structure of Rare Earth Hexaborides. Phys. Stat. Sol. B 1985, 128, 591–597. [Google Scholar] [CrossRef]
 - Vainshtein, E.E.; Blokhin, S.M.; Paderno, Y.B. X-ray spectral investigation of samarium hexaboride. Sov. Phys.-Solid State 1965, 6, 2318–2320. [Google Scholar]
 - Lutz, P.; Thees, M.; Peixoto, T.R.F.; Kang, B.Y.; Cho, B.K.; Min, C.H.; Reinert, F. Valence characterisation of the subsurface region in SmB6. Philos. Mag. 2016, 96, 3307–3321. [Google Scholar] [CrossRef]
 - Zabolotnyy, V.B.; Fürsich, K.; Green, R.J.; Lutz, P.; Treiber, K.; Min, C.-H.; Dukhnenko, A.V.; Shitsevalova, N.Y.; Filipov, V.B.; Kang, B.Y.; et al. Chemical and valence reconstruction at the surface of SmB6 revealed by means of resonant soft X-ray reflectometry. Phys. Rev. B 2018, 97, 205416. [Google Scholar] [CrossRef]
 - Dzero, M.; Sun, K.; Galitski, V.; Coleman, P. Topological Kondo Insulators. Phys. Rev. Lett. 2010, 104, 106408. [Google Scholar] [CrossRef]
 - Li, L.; Sun, K.; Kurdak, C.; Allen, J.W. Emergent mystery in the Kondo insulator samarium hexaboride. Nat. Rev. Phys. 2020, 2, 463–479. [Google Scholar] [CrossRef]
 - Wirth, S.; Schlottmann, P. An STM perspective on hexaborides: Surface states of the Kondo insulator SmB6. Adv. Quantum Technol. 2021, 4, 2100102. [Google Scholar] [CrossRef]
 - Kim, D.J.; Thomas, S.; Grant, T.; Botimer, J.; Fisk, Z.; Xia, J. Surface Hall effect and nonlocal transport in SmB6: Evidence for surface conduction. Sci. Rep. 2013, 3, 3150. [Google Scholar] [CrossRef]
 - Matt, C.E.; Pirie, H.; Soumyanarayanan, A.; He, Y.; Yee, M.M.; Chen, P.; Liu, Y.; Larson, D.T.; Paz, W.S.; Palacios, J.J.; et al. Consistency between ARPES and STM measurements on SmB6. Phys. Rev. B 2020, 101, 085142. [Google Scholar] [CrossRef]
 - Hlawenka, P.; Siemensmeyer, K.; Weschke, E.; Varykhalov, A.; Sánchez-Barriga, J.; Shitsevalova, N.Y.; Dukhnenko, A.V.; Filipov, V.B.; Gabáni, S.; Flachbart, K.; et al. Samarium hexaboride is a trivial surface conductor. Nat. Commun. 2018, 9, 517. [Google Scholar] [CrossRef]
 - Eo, Y.S.; Rakoski, A.; Lucien, J.; Mihaliov, D.; Kurdak, C.; Rosa, P.F.S.; Fisk, Z. Transport gap in SmB6 protected against disorder. Proc. Natl. Acad. Sci. USA 2019, 116, 12638–12641. [Google Scholar] [CrossRef] [PubMed]
 - Wang, K.L.; Lang, M.; Kou, X. Spintronics of Topological Insulators. In Handbook of Spintronics; Xu, Y., Awschalom, D.D., Nitta, J., Eds.; Springer: Dortrecht, The Netherlands, 2016; pp. 431–462. [Google Scholar] [CrossRef]
 - Coey, J.M.D.; Viret, M.; von Molnár, S. Mixed-valence manganites. Adv. Phys. 1999, 48, 167–293. [Google Scholar] [CrossRef]
 - von Molnár, S. Magnetotransport in magnetic semiconductors and possible applications. Sens. Actuators A 2001, 91, 161–165. [Google Scholar] [CrossRef]
 - von Molnár, S.; Stampe, P.A. Magnetic Polarons. In Handbook of Magnetism and Advanced Magnetic Materials; Kronmüller, H., Parkin, S., Eds.; John Wiley & Sons, Ltd.: Hoboken, NJ, USA, 2007; Volume 5, pp. 2689–2702. [Google Scholar] [CrossRef]
 - Kuneš, J.; Ku, W.; Pickett, W.E. Exchange Coupling in Eu Monochalcogenides from First Principles. J. Phys. Soc. Jpn. 2005, 74, 1408–1411. [Google Scholar] [CrossRef]
 - Nyhus, P.; Yoon, S.; Kauffman, M.; Cooper, S.L.; Fisk, Z.; Sarrao, J. Spectroscopic study of bound magnetic polaron formation and the metal-semiconductor transition in EuB6. Phys. Rev. B 1997, 56, 2717. [Google Scholar] [CrossRef]
 - Süllow, S.; Prasad, I.; Aronson, M.C.; Sarrao, J.L.; Fisk, Z.; Hristova, D.; Lacerda, A.H.; Hundley, M.F.; Vigliante, A.; Gibbs, D. Structure and magnetic order of EuB6. Phys. Rev. B 1998, 57, 5860–5869. [Google Scholar] [CrossRef]
 - Zhang, X.; Yu, L.; von Molnár, S.; Fisk, Z.; Xiong, P. Nonlinear Hall effect as a signature of electronic phase separation in the semimetallic ferromagnet EuB6. Phys. Rev. Lett. 2009, 103, 106602. [Google Scholar] [CrossRef] [PubMed]
 - Pohlit, M.; Rößler, S.; Ohno, Y.; Ohno, H.; von Molnár, S.; Fisk, Z.; Müller, J.; Wirth, S. Evidence for ferromagnetic clusters in the colossal-magnetoresistance material EuB6. Phys. Rev. Lett. 2018, 120, 257201. [Google Scholar] [CrossRef] [PubMed]
 - Beaudin, G.; Fournier, L.M.; Bianchi, A.D.; Nicklas, M.; Kenzelmann, M.; Laver, M.; Witczak-Krempa, W. Possible quantum nematic phase in a colossal magnetoresistance material. Phys. Rev. B 2022, 105, 035104. [Google Scholar] [CrossRef]
 - Kasuya, T.; Yanase, A. Anomalous transport phenomena in Eu-Chalcogenide alloys. Rev. Mod. Phys. 1968, 40, 684–696. [Google Scholar] [CrossRef]
 - von Molnár, S.; Methfessel, S. Giant Negative Magnetoresistance in Ferromagnetic Eu1−xGdxSe. J. Appl. Phys. 1967, 38, 959–964. [Google Scholar] [CrossRef]
 - von Molnár, S.; Kasuya, T. Evidence of band conduction and critical scattering in dilute Eu-chalcogenide alloys. Phys. Rev. Lett. 1968, 21, 1757–1761. [Google Scholar] [CrossRef]
 - Storchak, V.G.; Parfenov, O.E.; Brewer, J.H.; Russo, P.L.; Stubbs, S.L.; Lichti, R.L.; Eshchenko, D.G.; Morenzoni, E.; Aminov, T.G.; Zlomanov, V.P.; et al. Direct observation of the magnetic polaron. Phys. Rev. B 2009, 80, 235203. [Google Scholar] [CrossRef]
 - de Teresa, J.M.; Ibarra, M.R.; Algarabel, P.A.; Ritter, C.; Marquina, C.; Blasco, J.; García, J.; del Moral, A.; Arnold, Z. Evidence for magnetic polarons in the magnetoresistive perovskites. Nature 1997, 386, 256–259. [Google Scholar] [CrossRef]
 - Rønnow, H.M.; Renner, C.; Aeppli, G.; Kimura, T.; Tokura, Y. Polarons and confinement of electronic motion to two dimensions in a layered manganite. Nature 2006, 440, 1025–1028. [Google Scholar] [CrossRef]
 - Qin, M.; Yan, Q.; Liu, Y.; Wang, H.; Wang, C.; Lei, T.; Vecchio, K.S.; Xin, H.L.; Rupert, T.J.; Luo, J. Bulk high-entropy hexaborides. J. Eur. Ceram. Soc. 2021, 41, 5775–5781. [Google Scholar] [CrossRef]
 - Yeo, S.; Bunder, J.E.; Lin, H.H.; Jung, M.H.; Lee, S.I. Concurrent magnetic and metal-insulator transitions in Eu1−xSmxB6 single crystals. Appl. Phys. Lett. 2009, 94, 042509. [Google Scholar] [CrossRef]
 - Yeo, S.; Song, K.; Hur, N.; Fisk, Z.; Schlottmann, P. Effects of Eu doping on SmB6 single crystals. Phys. Rev. B 2012, 85, 115125. [Google Scholar] [CrossRef]
 - Menth, A.; Buehler, E.; Geballe, T.H. Magnetic and semiconducting properties of SmB6. Phys. Rev. Lett. 1969, 22, 295–297. [Google Scholar] [CrossRef]
 - Gheidi, S.; Akintola, K.; Akella, K.S.; Côté, A.M.; Dunsiger, S.R.; Broholm, C.; Fuhrman, W.T.; Saha, S.R.; Paglione, J.; Sonier, J.E. Intrinsic Low-Temperature Magnetism in SmB6. Phys. Rev. Lett. 2019, 123, 197203. [Google Scholar] [CrossRef] [PubMed]
 - Barla, A.; Derr, J.; Sanchez, J.P.; Salce, B.; Lapertot, G.; Doyle, B.P.; Rüffer, R.; Lengsdorf, R.; Abd-Elmeguid, M.M.; Flouquet, J. High-Pressure Ground State of SmB6: Electronic Conduction and Long Range Magnetic Order. Phys. Rev. Lett. 2005, 94, 166401. [Google Scholar] [CrossRef] [PubMed]
 - Aronson, M.C.; Sarrao, J.L.; Fisk, Z.; Whitton, M.; Brandt, B.L. Fermi surface of the ferromagnetic semimetal EuB6. Phys. Rev. B 1999, 59, 4720–4724. [Google Scholar] [CrossRef]
 - Yamaguchi, J.; Sekiyama, A.; Kimura, M.Y.; Sugiyama, H.; Tomida, Y.; Funabashi, G.; Komori, S.; Balashov, T.; Wulfhekel, W.; Ito, T.; et al. Different evolution of the intrinsic gap in strongly correlated SmB6 in contrast to YbB12. New J. Phys. 2013, 15, 040342. [Google Scholar] [CrossRef]
 - Gabáni, S.; Orendáč, M.; Pristáš, G.; Gažo, E.; Diko, P.; Piovarči, S.; Glushkov, V.; Sluchanko, N.; Levchenko, A.; Shitsevalova, N.; et al. Transport properties of variously doped SmB6. Philos. Mag. 2016, 96, 3274–3283. [Google Scholar] [CrossRef]
 - Anisimov, M.; Zhurkin, V.; Voronov, V.; Bogach, A.; Bozhko, A.; Demishev, S.; Kudryavtsev, O.; Shitsevalova, N.; Gabáni, S.; Flachbart, K.; et al. Evolution of surface conductivity in SmB6 under nonmagnetic (Yb2+) and magnetic (Eu2+) doping. Solid State Sci. 2024, 152, 107546. [Google Scholar] [CrossRef]
 - Miao, L.; Min, C.H.; Xu, Y.; Huang, Z.; Kotta, E.C.; Basak, R.; Song, M.; Kang, B.; Cho, B.; Kißner, K.; et al. Robust surface states and coherence phenomena in magnetically alloyed SmB6. Phys. Rev. Lett. 2021, 126, 136401. [Google Scholar] [CrossRef]
 - Xu, Y.; Kotta, E.C.; Song, M.; Kang, B.; Lee, J.W.; Cho, B.; Liu, S.; Yilmaz, T.; Vescovo, E.; Denlinger, J.D.; et al. Mapping out the emergence of topological features in the highly alloyed topological Kondo insulators Sm1−xMxB6 (M= Eu, Ce). Phys. Rev. B 2021, 104, 115118. [Google Scholar] [CrossRef]
 - Rosa, P.F.S.; Xu, Y.; Rahn, M.; Souza, J.; Kushwaha, S.; Veiga, L.; Bombardi, A.; Thomas, S.; Janoschek, M.; Bauer, E.; et al. Colossal magnetoresistance in a nonsymmorphic antiferromagnetic insulator. npj Quantum Mater. 2020, 5, 52. [Google Scholar] [CrossRef]
 - Ale Crivillero, M.V.; Rößler, S.; Granovsky, S.; Doerr, M.; Cook, M.S.; Rosa, P.F.S.; Müller, J.; Wirth, S. Magnetic and electronic properties unveil polaron formation in Eu5In2Sb6. Sci. Rep. 2023, 13, 1597. [Google Scholar] [CrossRef] [PubMed]
 - Krebber, S.; Kopp, M.; Garg, C.; Kummer, K.; Sichelschmidt, J.; Schulz, S.; Poelchen, G.; Mende, M.; Virovets, A.V.; Warawa, K.; et al. Colossal magnetoresistance in EuZn2P2. Phys. Rev. B 2023, 108, 045116. [Google Scholar] [CrossRef]
 - Nickerson, J.C.; White, R.M.; Lee, K.N.; Bachmann, R.; Geballe, T.H.; Hull, G.W., Jr. Physical Properties of SmB6. Phys. Rev. B 1971, 3, 2030–2042. [Google Scholar] [CrossRef]
 - Gabáni, S.; Flachbart, K.; Pavlík, V.; Herrmannsdörfer, T.; Konovalova, E.; Paderno, Y.; Briančin, J.; Trpčevská, J. Magnetic properties of SmB6 and Sm1−xLaxB6 solid solutions. Czech. J. Phys. 2002, 52, A225–A228. [Google Scholar] [CrossRef]
 - Arrott, A. Criterion for Ferromagnetism from Observations of Magnetic Isotherms. Phys. Rev. 1957, 108, 1394–1396. [Google Scholar] [CrossRef]
 - Kouvel, J.S.; Fisher, M.E. Detailed Magnetic Behavior of Nickel Near its Curie Point. Phys. Rev. 1964, 136, A1626–A1632. [Google Scholar] [CrossRef]
 - Süllow, S.; Prasad, I.; Aronson, M.C.; Bogdanovich, S.; Sarrao, J.L.; Fisk, Z. Metallization and magnetic order in EuB6. Phys. Rev. B 2000, 62, 11626–11632. [Google Scholar] [CrossRef]
 - Urbano, R.R.; Pagliuso, P.G.; Rettori, C.; Oseroff, S.B.; Sarrao, J.L.; Schlottmann, P.; Fisk, Z. Magnetic polaron and Fermi surface effects in the spin-flip scattering of EuB6. Phys. Rev. B 2004, 70, 140401(R). [Google Scholar] [CrossRef]
 - Yu, U.; Min, B.I. Magnetic and Transport Properties of the Magnetic Polaron: Application to Eux-1LaxB6 system. Phys. Rev. Lett. 2005, 94, 117202. [Google Scholar] [CrossRef] [PubMed]
 - Das, P.; Amyan, A.; Brandenburg, J.; Müller, J.; Xiong, P.; von Molnár, S.; Fisk, Z. Magnetically driven electronic phase separation in the semimetallic ferromagnet EuB6. Phys. Rev. B 2012, 86, 184425. [Google Scholar] [CrossRef]
 - Min, C.-H.; Kang, B.; Cho, B.K.; Cho, E.-J.; Park, B.-G.; Kim, H.-D. Semimetallic nature of and magnetic polarons in EuB6 studied using angle-resolved photoemission spectroscopy. J. Korean Phys. Soc. 2021, 79, 734–740. [Google Scholar] [CrossRef]
 - Beaudin, G.; Desilets-Benoit, A.; Bianchi, A.D.; Arnold, R.; Samothrakitis, S.; Galvan Leos, N.A.; Gavilano, J.L.; Kenzelmann, M.; Stenning, K.D.; Laver, M.; et al. Does a low-carrier density ferromagnet hold the key to understanding high temperature superconductors? arXiv 2022, arXiv:2210.12210. [Google Scholar] [CrossRef]
 - Mitschek, M.; Hicken, T.J.; Yang, S.; Wilson, M.N.; Pratt, F.L.; Wang, C.; Blundell, S.J.; Li, Z.; Li, Y.; Lancaster, T.; et al. Probing the magnetic polaron state in the ferromagnetic semiconductor HgCr2Se4 with muon-spin spectroscopy and resistance-fluctuation measurements. Phys. Rev. B 2022, 105, 064404. [Google Scholar] [CrossRef]
 - Mugiraneza, S.; Hallas, A.M. Tutorial: A beginner’s guide to interpreting magnetic susceptibility data with the Curie-Weiss law. Commun. Phys. 2022, 5, 95. [Google Scholar] [CrossRef]
 - Mulder, C.A.M.; van Duyneveldt, A.J.; Mydosh, J.A. Susceptibility of the CuMn spin-glass: Frequency and field dependence. Phys. Rev. B 1981, 23, 1384–1396. [Google Scholar] [CrossRef]
 - Ale Crivillero, M.V.; König, M.; Souza, J.C.; Pagliuso, P.G.; Sichelschmidt, J.; Rosa, P.F.S.; Fisk, Z.; Wirth, S. Systematic manipulation of the surface conductivity of SmB6. Phys. Rev. Res. 2021, 3, 023162. [Google Scholar] [CrossRef]
 - Ciomaga Hatnean, M.; Ahmad, T.; Walker, M.; Lees, M.R.; Balakrishnan, G. Crystal Growth by the Floating Zone Method of Ce-Substituted Crystals of the Topological Kondo Insulator SmB6. Crystals 2020, 10, 827. [Google Scholar] [CrossRef]
 - Kuneš, J.; Pickett, W.E. Kondo and anti-Kondo coupling to local moments in EuB6. Phys. Rev. B 2004, 69, 165111. [Google Scholar] [CrossRef]
 - Zhang, X.; von Molnár, S.; Fisk, Z.; Xiong, P. Spin-Dependent Electronic States of the Ferromagnetic Semimetal EuB6. Phys. Rev. Lett. 2008, 100, 167001. [Google Scholar] [CrossRef]
 - Hwang, E.H.; Das Sarma, S. Linear-in-T resistivity in dilute metals: A Fermi liquid perspective. Phys. Rev. B 2019, 99, 085105. [Google Scholar] [CrossRef]
 - Patel, A.A.; Guo, H.; Esterlis, I.; Sachdev, S. Universal theory of strange metals from spatially random interactions. Science 2023, 381, 790–793. [Google Scholar] [CrossRef] [PubMed]
 - Glushkov, V.V.; Bogach, A.V.; Gon’kov, K.V.; Demishev, S.V.; Ivanov, V.Y.; Kuznetsov, A.V.; Samarin, N.A.; Shitsevalova, N.Y.; Flachbart, K.; Sluchanko, N.E. Magnetic and Transport Properties of Colossal Magnetoresistance Compound EuB6. J. Exp. Theor. Phys. 2007, 105, 132–134. [Google Scholar] [CrossRef]
 - Paschen, S.; Pushin, D.; Schlatter, M.; Vonlanthen, P.; Ott, H.R.; Young, D.P.; Fisk, Z. Electronic transport in Eu1−xCaxB6. Phys. Rev. B 2000, 61, 4174–4180. [Google Scholar] [CrossRef]
 - Calderón, M.J.; Wegener, L.G.L.; Littlewood, P.B. Evaluation of evidence for magnetic polarons in EuB6. Phys. Rev. B 2004, 70, 092408. [Google Scholar] [CrossRef]
 - Baťková, M.; Baťko, I.; Mihalik, M.; Konovalova, E.S.; Shitsevalova, N.; Paderno, Y. Electrical properties of carbon doped EuB6. Phys. Stat. Sol. C 2006, 3, 162–165. [Google Scholar] [CrossRef]
 - Zeng, Q.; Yi, C.; Shen, J.; Wang, B.; Wei, H.; Shi, Y.; Liu, E. Berry curvature induced antisymmetric in-plane magneto-transport in magnetic Weyl EuB6. Appl. Phys. Lett. 2022, 121, 162405. [Google Scholar] [CrossRef]
 - Majumdar, P.; Littlewood, P.B. Magnetoresistance in Mn Pyrochlore: Electrical Transport in a Low Carrier Density Ferromagnet. Phys. Rev. Lett. 1998, 81, 1314–1317. [Google Scholar] [CrossRef]
 - Furukawa, N. Transport properties of the Kondo lattice model in the limit S = ∞ and D = ∞. J. Phys. Soc. Jpn. 1994, 63, 3214–3217. [Google Scholar] [CrossRef]
 - Majumdar, P.; Littlewood, P.B. Dependence of magnetoresistivity on charge-carrier density in metallic ferromagnets and doped magnetic semiconductors. Nature 1998, 395, 479–481. [Google Scholar] [CrossRef]
 - Shon, W.; Rhyee, J.S.; Jin, Y.; Kim, S.J. Magnetic polaron and unconventional magnetotransport properties of the single-crystalline compound EuBiTe3. Phys. Rev. B 2019, 100, 024433. [Google Scholar] [CrossRef]
 - Dawczak-Dębicki, H.; Ale Crivillero, M.V.; Cook, M.S.; Thomas, S.M.; Rosa, P.F.S.; Müller, J.; Rößler, U.K.; Schlottmann, P.; Wirth, S. Thermodynamic evidence for polaron stabilization inside the antiferromagnetic order of Eu5In2Sb6. Commun. Mater. 2024, 5, 248. [Google Scholar] [CrossRef]
 - Rhyee, J.-S.; Cho, B.K.; Ri, H.-C. Electrical transport properties and small polarons in Eu1−xCaxB6. Phys. Rev. B 2003, 67, 125102. [Google Scholar] [CrossRef]
 - Rosa, P.F.S.; Fisk, Z. Flux methods for growth of intermetallic single crystals. In Crystal Growth of Intermetallics; Gille, P., Grin, Y., Eds.; De Gruyter: Berlin, Germany; Boston, MA, USA, 2018; pp. 49–60. [Google Scholar] [CrossRef]
 










| Sample | Magnetic Order  | / K  | K  | K  | ||
|---|---|---|---|---|---|---|
| 0.9 | afm | 5.7 | 7.6 | / | 5.4 | |
| 0.95 | afm | 4.9 | 7.7 | 6.91 | 4.2 | |
| 0.99 | fm | 7.3 | 7.93 | 7.08 | 8.4 | |
| 1.0 | fm | 12.7 | 8.1 | 7.02 | [58] | |
| error | 
Disclaimer/Publisher’s Note: The statements, opinions and data contained in all publications are solely those of the individual author(s) and contributor(s) and not of MDPI and/or the editor(s). MDPI and/or the editor(s) disclaim responsibility for any injury to people or property resulting from any ideas, methods, instructions or products referred to in the content.  | 
© 2024 by the authors. Licensee MDPI, Basel, Switzerland. This article is an open access article distributed under the terms and conditions of the Creative Commons Attribution (CC BY) license (https://creativecommons.org/licenses/by/4.0/).
Share and Cite
Ale Crivillero, M.V.; Rosa, P.F.S.; Fisk, Z.; Müller, J.; Schlottmann, P.; Wirth, S. Magnetic and Electronic Inhomogeneity in Sm1−xEuxB6. Condens. Matter 2024, 9, 55. https://doi.org/10.3390/condmat9040055
Ale Crivillero MV, Rosa PFS, Fisk Z, Müller J, Schlottmann P, Wirth S. Magnetic and Electronic Inhomogeneity in Sm1−xEuxB6. Condensed Matter. 2024; 9(4):55. https://doi.org/10.3390/condmat9040055
Chicago/Turabian StyleAle Crivillero, M. Victoria, Priscila F. S. Rosa, Zachary Fisk, Jens Müller, Pedro Schlottmann, and Steffen Wirth. 2024. "Magnetic and Electronic Inhomogeneity in Sm1−xEuxB6" Condensed Matter 9, no. 4: 55. https://doi.org/10.3390/condmat9040055
APA StyleAle Crivillero, M. V., Rosa, P. F. S., Fisk, Z., Müller, J., Schlottmann, P., & Wirth, S. (2024). Magnetic and Electronic Inhomogeneity in Sm1−xEuxB6. Condensed Matter, 9(4), 55. https://doi.org/10.3390/condmat9040055
        
                                                
