Chebyshev Polynomials in the Physics of the One-Dimensional Finite-Size Ising Model: An Alternative View and Some New Results
Abstract
1. Introduction
2. The Partition Function in the Case of PBCs and ABCs
2.1. The Case of the PBCs
2.2. The Case of the ABCs
3. Finite-Size Magnetization in the Case of PBCs and ABCs
3.1. Finite-Size Magnetization (PBCs)
3.2. Finite-Size Magnetization (ABCs)
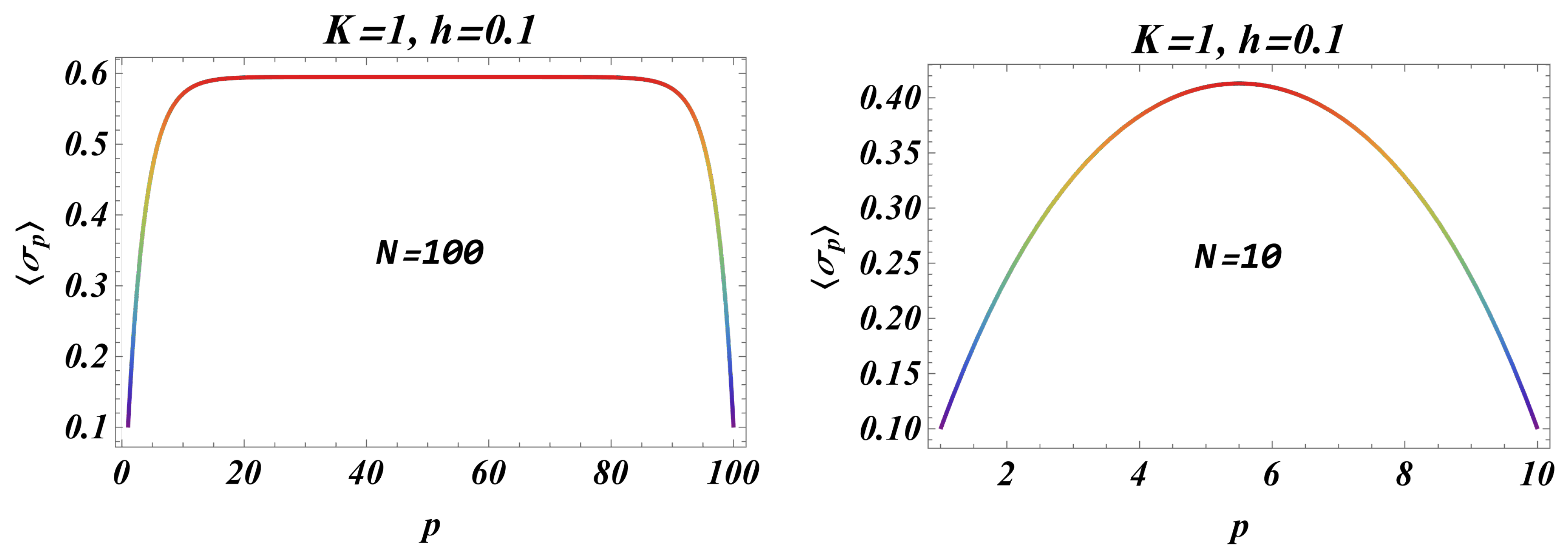
3.3. The Behavior of the Average Finite-Size Magnetization per Site for PBCs and ABCs
4. Lee–Yang Zeros
4.1. The Case of PBCs
4.2. The Case of ABCs
5. Chebyshev Recursion Relations and Exact RG Transformation
5.1. The Case of PBCs
- (1)
- The essence of the proposed decimation transformation is to use the recursive relation between Chebyshev polynomials and with imposed “linkage relation” of both arguments.
- (2)
- This transformation is such that it does not change the partition function.
5.2. ABCs
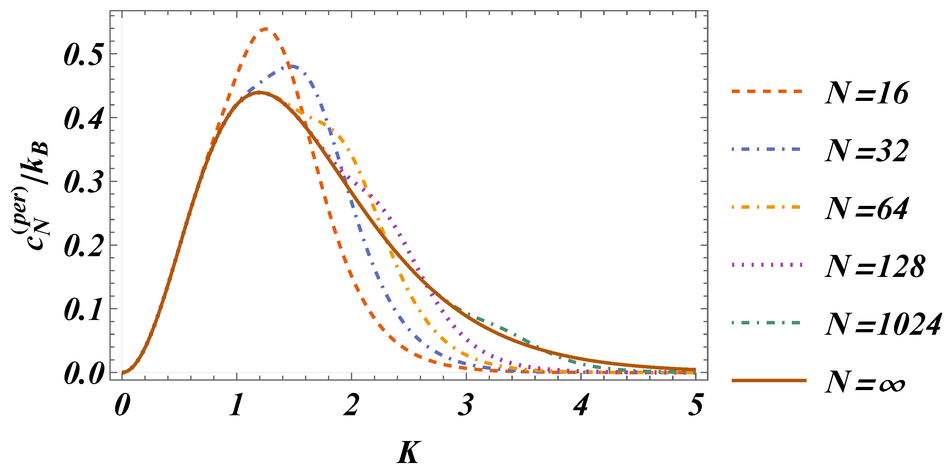
6. Schottky Anomaly
7. Discussion and Concluding Remarks
Author Contributions
Funding
Institutional Review Board Statement
Informed Consent Statement
Data Availability Statement
Conflicts of Interest
Abbreviations
| ABC | Antiperiodic boundary condition |
| PBC | Periodic boundary condition |
| RG | Renormalization group |
Appendix A. Chebyshev Polynomials
- (a)
- The recurrence relationsand
- (b)
- The multiplication formulasand
- (c)
- The functional equationsand
- (d)
Appendix B
- A.
- The case:
- B.
- The opposite case:
References
- Sitarachu, K.; Zia, R.K.P.; Bachmann, M. Exact microcanonical statistical analysis of transition behavior in Ising chains and strips. J. Stat. Mech. Theory Exp. 2020, 2020, 073204. [Google Scholar] [CrossRef]
- Magare, S.; Roy, A.K.; Srivastava, V. 1D Ising model using the Kronecker sum and Kronecker product. Eur. J. Phys. 2022, 43, 035102. [Google Scholar] [CrossRef]
- Stepanyan, V.; Tzortzakakis, A.F.; Petrosyan, D.; Allahverdyan, A.E. Thermal transitions in a one-dimensional, finite-size Ising model. J. Stat. Mech. Theory Exp. 2024, 2024, 033202. [Google Scholar] [CrossRef]
- Balcerzak, T. Application of the integral operator method for multispin correlation function calculations in the one-dimensional Ising model. Phys. Rev. E 2024, 109, 024133. [Google Scholar] [CrossRef]
- Yessen, W.N. Properties of 1D Classical and Quantum Ising Models: Rigorous Results. Ann. Henri Poincaré 2013, 15, 793–828. [Google Scholar] [CrossRef]
- Fierro, A.; Coniglio, A.; Zannetti, M. Condensation of fluctuations in the Ising model: A transition without spontaneous symmetry breaking. Phys. Rev. E 2019, 99, 042122. [Google Scholar] [CrossRef]
- Bena, I.; Droz, M.; Lipowski, A. Statistical mechanics of equilibrium and nonequilibrium phase transitions: The Yang–lee formalism. Int. J. Mod. Phys. B 2005, 19, 4269–4329. [Google Scholar] [CrossRef]
- Lee, J. Low-temperature behavior of the finite-size one-dimensional Ising model and the partition function zeros. J. Korean Phys. Soc. 2014, 65, 676–683. [Google Scholar] [CrossRef][Green Version]
- Barata, J.C.A.; Goldbaum, P.S. On the Distribution and Gap Structure of Lee–Yang Zeros for the Ising Model: Periodic and Aperiodic Couplings. J. Stat. Phys. 2001, 103, 857–891. [Google Scholar] [CrossRef]
- Fronczak, A. Cluster properties of the one-dimensional lattice gas: The microscopic meaning of grand potential. Phys. Rev. E 2013, 87, 022131. [Google Scholar] [CrossRef]
- Dantchev, D.; Rudnick, J. Exact expressions for the partition function of the one-dimensional Ising model in the fixed-M ensemble. Phys. Rev. E 2022, 106, L042103. [Google Scholar] [CrossRef] [PubMed]
- Dantchev, D.M.; Tonchev, N.S.; Rudnick, J. Casimir versus Helmholtz forces: Exact results. Ann. Phys. 2023, 459, 169533. [Google Scholar] [CrossRef]
- Dantchev, D.M.; Tonchev, N.S.; Rudnick, J. Casimir and Helmholtz forces in one-dimensional Ising model with Dirichlet (free) boundary conditions. Ann. Phys. 2024, 464, 169647. [Google Scholar] [CrossRef]
- Dantchev, D. On Casimir and Helmholtz Fluctuation-Induced Forces in Micro- and Nano-Systems: Survey of Some Basic Results. Entropy 2024, 26, 499. [Google Scholar] [CrossRef]
- Dantchev, D.; Tonchev, N. A Brief Survey of Fluctuation-induced Interactions in Micro- and Nano-systems and One Exactly Solvable Model as Example. arXiv 2024, arXiv:2403.17109. [Google Scholar]
- Baake, M.; Grimm, U.; Joseph, D. Trace Maps, Invariants, and Some of Their Applications. Int. J. Mod. Phys. B 1993, 7, 1527–1550. [Google Scholar] [CrossRef]
- da Conceição, C.M.S.; Maia, R.N.P. Recurrence relations in one-dimensional Ising models. Phys. Rev. E 2017, 96, 032121. [Google Scholar] [CrossRef]
- Seth, S. Combinatorial approach to exactly solve the 1D Ising model. Eur. J. Phys. 2016, 38, 015104. [Google Scholar] [CrossRef]
- Mason, J.C.; Handscomb, D.C. Chebyshev Polynomials; CRC Press: Boca Raton, FL, USA, 2002. [Google Scholar]
- Maniwa, Y.; Kataura, H.; Matsuda, K.; Okabe, Y. A one-dimensional Ising model for C70molecular ordering in C70-peapods. New J. Phys. 2003, 5, 127. [Google Scholar] [CrossRef]
- Taherkhani, F.; Daryaei, E.; Parsafar, G.; Fortunelli, A. Investigation of size effects on the physical properties of one-dimensional Ising models in nanosystems. Mol. Phys. 2011, 109, 385–395. [Google Scholar] [CrossRef]
- Abelès, F. Sur l’itération des matrices carrées a quatre éléments. Ann. De Phys. 1950, 5, 777–782. [Google Scholar]
- Born, M.; Wolf, E. Principles of Optics: Electromagnetic Theory of Propagation, Interference and Diffraction of Light; Pergamon Press: New York, NY, USA, 1980. [Google Scholar]
- Gradshteyn, I.S.; Ryzhik, I.H. Table of Integrals, Series, and Products; Academic: New York, NY, USA, 2007. [Google Scholar]
- Griffiths, D.J.; Steinke, C.A. Waves in locally periodic media. Am. J. Phys. 2001, 69, 137–154. [Google Scholar] [CrossRef]
- Nandhini, G.; Sangaranarayanan, M.V. Partition function of nearest neighbour Ising models: Some new insights. J. Chem. Sci. 2009, 121, 595–599. [Google Scholar] [CrossRef]
- Kardar, M. Statistical Physics of Fields; Cambridge University Press: Cambridge, UK, 2007. [Google Scholar]
- Baxter, R.J. Exactly Solved Models in Statistical Mechanics; Academic: London, UK, 1982. [Google Scholar]
- Yang, C.N.; Lee, T.D. Statistical theory of equations of state and phase transitions. I. Theory of condensation. Phys. Rev. 1952, 87, 404. [Google Scholar] [CrossRef]
- Lee, T.D.; Yang, C.N. Statistical theory of equations of state and phase transitions. II. Lattice gas and Ising model. Phys. Rev. 1952, 87, 410. [Google Scholar] [CrossRef]
- Dolan, B.P. Chaotic behavior of renormalization flow in a complex magnetic field. Phys. Rev. E 1995, 52, 4512. [Google Scholar] [CrossRef]
- Elaydi, S.N. Discrete Chaos: With Applications in Science and Engineering; CRC Press: Boca Raton, FL, USA, 2007. [Google Scholar]
- Dolan, B.P.; Johnston, D. One-dimensional Potts model, Lee-Yang edges, and chaos. Phys. Rev. E 2002, 65, 057103. [Google Scholar] [CrossRef]
- Hao, B.; Zheng, W. Applied Symbolic Dynamics and Chaos, 2nd ed.; World Scientific: Singapore, 2018. [Google Scholar]
- Strogatz, S.H. Nonlinear Dynamics and Chaos: With Applications to Physics, Biology, Chemistry, and Engineering; CRC Press: Boca Raton, FL, USA, 2018. [Google Scholar]
- Geisel, T.; Fairen, V. Statistical properties of chaos in Chebyshev maps. Phys. Lett. A 1984, 105, 263–266. [Google Scholar] [CrossRef]
- Pathria, R.K.; Beale, P.D. Statistical Mechanics, 3rd ed.; Elsevier: Amsterdam, The Netherlands, 2011. [Google Scholar]
- Goldenfeld, N. Frontiers in Physics. In Lecture on Phase Transitions and the Renormalization Group; Pines, D., Ed.; Frontiers in Physics; Addison-Wesley: New York, NY, USA, 1992. [Google Scholar]
- Ferreira, L.S.; Plascak, J.A. Finite-Size Effects of the One-Dimensional Ising Model. Braz. J. Phys. 2023, 53, 77. [Google Scholar] [CrossRef]
- Snyder, M.A. Chebyshov Methods in Numerical Approximations; Prentice-Hall Inc.: Englewood Cliffs, NJ, USA, 1966; Chapter 2. [Google Scholar]




Disclaimer/Publisher’s Note: The statements, opinions and data contained in all publications are solely those of the individual author(s) and contributor(s) and not of MDPI and/or the editor(s). MDPI and/or the editor(s) disclaim responsibility for any injury to people or property resulting from any ideas, methods, instructions or products referred to in the content. |
© 2024 by the authors. Licensee MDPI, Basel, Switzerland. This article is an open access article distributed under the terms and conditions of the Creative Commons Attribution (CC BY) license (https://creativecommons.org/licenses/by/4.0/).
Share and Cite
Tonchev, N.S.; Dantchev, D. Chebyshev Polynomials in the Physics of the One-Dimensional Finite-Size Ising Model: An Alternative View and Some New Results. Condens. Matter 2024, 9, 53. https://doi.org/10.3390/condmat9040053
Tonchev NS, Dantchev D. Chebyshev Polynomials in the Physics of the One-Dimensional Finite-Size Ising Model: An Alternative View and Some New Results. Condensed Matter. 2024; 9(4):53. https://doi.org/10.3390/condmat9040053
Chicago/Turabian StyleTonchev, Nicholay S., and Daniel Dantchev. 2024. "Chebyshev Polynomials in the Physics of the One-Dimensional Finite-Size Ising Model: An Alternative View and Some New Results" Condensed Matter 9, no. 4: 53. https://doi.org/10.3390/condmat9040053
APA StyleTonchev, N. S., & Dantchev, D. (2024). Chebyshev Polynomials in the Physics of the One-Dimensional Finite-Size Ising Model: An Alternative View and Some New Results. Condensed Matter, 9(4), 53. https://doi.org/10.3390/condmat9040053

