Atomristor Mott Theory of Sn Adatom Adlayer on a Si Surface
Abstract
1. Introduction
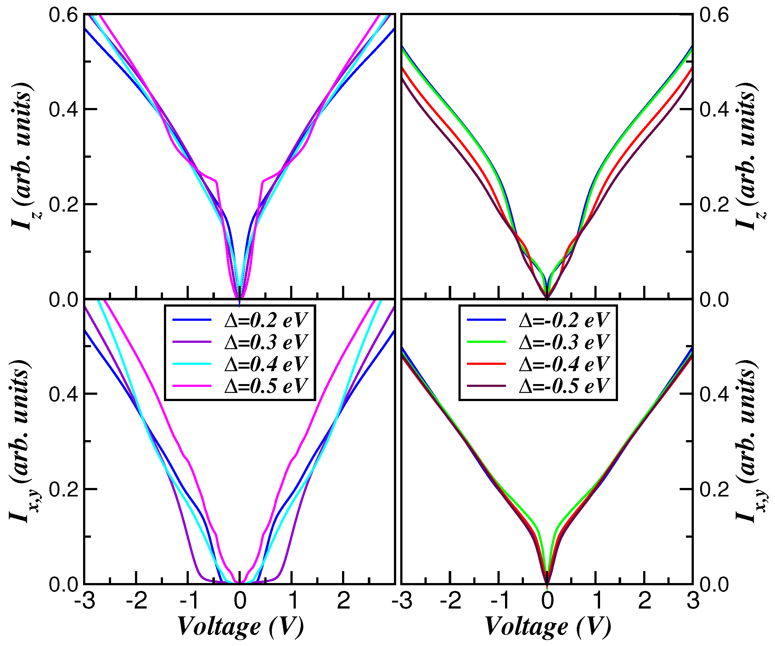
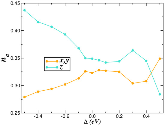
2. Theory and Results
3. Conclusions
Author Contributions
Funding
Data Availability Statement
Acknowledgments
Conflicts of Interest
References
- Zhou, Z.; Yang, F.; Wang, S.; Wang, L.; Wang, X.; Wang, C.; Xie, Y.; Liu, Q. Emerging of two-dimensional materials in novel memristor. Front. Phys. 2022, 17, 23204. [Google Scholar] [CrossRef]
- Li, X.-D.; Chen, N.-K.; Wang, B.-Q.; Niu, M.; Xu, M.; Miao, X.; Li, X.-B. Resistive memory devices at the thinnest limit: Progress and challengs. Adv. Mater. 2024, 20, 2307951. [Google Scholar] [CrossRef] [PubMed]
- Song, M.-K.; Kang, J.-H.; Zhang, X.; Ji, W.; Ascoli, A.; Messaris, I.; Demirkol, A.S.; Dong, B.; Aggarwal, S.; Wan, W.; et al. Recent advances and future prospects for memristive materials, devices, and systems. ACS Nano 2023, 17, 11994. [Google Scholar] [CrossRef] [PubMed]
- Ran, Y.; Pei, Y.; Zhou, Z.; Wang, H.; Sun, Y.; Wang, Z.; Hao, M.; Zhao, J.; Chen, J.; Yan, X. A review of Mott insulator in memristors: The materials, characteristics, applications for future computing systems and neuromorphic computing. Nano Res. 2023, 16, 1165. [Google Scholar] [CrossRef]
- Churchland, P.S.; Sejnowski, T.J. The Computational Brain; The MIT Press: Cambridge, MA, USA, 1992. [Google Scholar]
- Sagar, S.; Mohanan, K.U.; Cho, S.; Majewski, L.A.; Das, B.C. Emulation of synaptic functions with low voltage organic memtransistor for hardware oriented neuromorphic computing. Sci. Rep. 2022, 12, 3808. [Google Scholar] [CrossRef] [PubMed]
- Zidan, M.A.; Strachan, J.P.; Lu, W.D. The future of electronics based on memristive systems. Nat. Electron. 2018, 1, 22. [Google Scholar] [CrossRef]
- Zivasatienraj, B.; Tellekamp, M.B.; Weidenbach, A.S.; Ghosh, A.; McCrone, T.M.; Doolittle, W.A. Temporal versatility from intercalation-based neuromorphic devices exhibiting 150 mV non-volatile operation. J. Appl. Phys. 2020, 127, 084501. [Google Scholar] [CrossRef]
- Akopyan, F.; Sawada, J.; Cassidy, A.; Alvarez-Icaza, R.; Arthur, J.; Merolla, P.; Imam, N.; Nakamura, Y.; Datta, P.; Nam, G.-J.; et al. TrueNorth: Design and tool flow of a 65 mW 1 million neuron programmable neurosynaptic chip. IEEE Trans. Comput. Aided Des. Integr. Circuits Syst. 2015, 34, 1537. [Google Scholar] [CrossRef]
- Ge, R.; Wu, X.; Kim, M.; Shi, J.; Sonde, S.; Tao, L.; Zhang, Y.; Lee, J.C.; Akinwande, D. Atomristor: Nonvolatile resistance switching in atomic sheets of transition metal dichalcogenides. Nano Lett. 2018, 18, 434. [Google Scholar] [CrossRef]
- Wang, S.; Zhou, Z.; Yang, F.; Chen, S.; Zhang, Q.; Xiong, W.; Qu, Y.; Wang, Z.; Wang, C.; Liu, Q. All-atomristor logic gates. Nano Res. 2023, 1, 1688. [Google Scholar]
- Beck, A.; Bednorz, J.G.; Gerber, C.; Rossel, C.; Widmer, D. Reproducible switching effect in thin oxide films for memory applications. Appl. Phys. Lett. 2020, 77, 139. [Google Scholar] [CrossRef]
- Strukov, D.B.; Snider, G.S.; Stewart, D.R.; Williams, R.S. The missing memristor found. Nature 2008, 453, 80. [Google Scholar] [CrossRef]
- Xu, W.; Wang, J.; Yan, X. Advances in memristor-based neural networks. Front. Nanotechnol. 2021, 3, 645995. [Google Scholar] [CrossRef]
- Sangwan, V.K.; Hersam, M.C. Neuromorphic nanoelectronic materials. Nat. Nanotechnol. 2020, 15, 571. [Google Scholar] [CrossRef] [PubMed]
- Kim, M.; Ge, R.; Wu, X.; Lan, X.; Tice, J.; Lee, J.C.; Akinwande, D. Zero-static power radio-frequency switches based on MoS2 atomristors. Nat. Commun. 2018, 9, 2524. [Google Scholar] [CrossRef]
- Bessonov, A.A.; Kirikova, M.N.; Petukhov, D.I.; Allen, M.; Ryhänen, T.; Bailey, M.J.A. Layered memristive and memcapacitive switches for printable electronics. Nat. Mater. 2014, 14, 199. [Google Scholar] [CrossRef]
- Son, D.; Chae, S.I.; Kim, M.; Choi, M.K.; Yang, J.; Park, K.; Kale, V.S.; Koo, J.H.; Choi, C.; Lee, M.; et al. Colloidal synthesis of uniform-sized molybdenum disulfide nanosheets for wafer-scale flexible nonvolatile memory. Adv. Matter 2016, 28, 9326. [Google Scholar] [CrossRef]
- Quian, K.; Tay, R.Y.; Nguyen, V.C.; Wang, J.; Cai, G.; Chen, T.; Teo, E.H.T.; Lee, P.S. Hexagonal boron nitride thin film for flexible resistive memory applications. Adv. Func. Mater. 2016, 26, 2176. [Google Scholar] [CrossRef]
- Pan, C.; Ji, Y.; Xiao, N.; Hui, F.; Tang, K.; Guo, Y.; Xie, X.; Puglisi, F.M.; Larcher, L.; Miranda, E.; et al. Coexistence of grain-boundaries-assisted bipolar and threshold resistive switching in multilayer hexagonal boron nitride. Adv. Func. Mater. 2017, 27, 1604811. [Google Scholar] [CrossRef]
- Tan, C.; Zhang, H. Two-dimensional transition metal dichalcogenide nanosheet-based composites. Chem. Soc. Rev. 2015, 44, 2713. [Google Scholar] [CrossRef]
- Ming, F.; Snijders, P.C.; Weitering, H.H. Controlled switching of bistable nanophase domains on a silicon surface. ACS Nano 2023, 17, 11914. [Google Scholar] [CrossRef] [PubMed]
- Chua, L.O. Memristor-The missing circuit element. IEEE Trans. Circuit Theory 1971, 18, 507. [Google Scholar] [CrossRef]
- Tosatti, E.; Anderson, P.W. Charge and spin density waves on semiconductor surfaces. Jpn. J. Appl. Phys. 1974, 13, 381. [Google Scholar] [CrossRef]
- Kim, H.; Yoshida, Y.; Lee, C.-C.; Chang, T.-R.; Jeng, H.-T.; Lin, H.; Haga, Y.; Fisk, Z.; Hasegawa, Y. Atomic-scale visualization of surface-assisted orbital order. Sci. Adv. 2017, 3, eaao0362. [Google Scholar] [CrossRef]
- Profeta, G.; Tosatti, E. Triangular Mott-Hubbard Insulator Phases of Sn/Si(111) and Sn/Ge(111) Surfaces. Phys. Rev. Lett. 2007, 98, 086401. [Google Scholar] [CrossRef] [PubMed]
- Brihuega, I.; Custance, O.; Pérez, R.; Gómez-Rodríguez, J.M. Intrinsic character of the (3 × 3) to () phase transition in Pb/Si(111). Phys. Rev. Lett. 2005, 94, 046101. [Google Scholar] [CrossRef] [PubMed]
- Cortés, R.; Tejeda, A.; Lobo-Checa, J.; Didiot, C.; Kierren, B.; Malterre, D.; Merino, J.; Flores, F.; Michel, E.G.; Mascaraque, A. Competing charge ordering and Mott phases in a correlated Sn/Ge(111) two-dimensional triangular lattice. Phys. Rev. B 2013, 88, 125113. [Google Scholar] [CrossRef]
- Glass, S.; Li, G.; Adler, F.; Aulbach, J.; Fleszar, A.; Thomale, R.; Hanke, W.; Claessen, R.; Schäfer, J. Triangular spin-orbit-coupled lattice with strong Coulomb correlations: Sn atoms on a SiC(0001) substrate. Phys. Rev. Lett. 2015, 114, 247602. [Google Scholar] [CrossRef]
- Yi, S.; Lee, H.; Choi, J.-H.; Cho, J.-H. Nature of the insulating ground state of the two-dimensional Sn atom lattice on SiC(0001). Sci. Rep. 2016, 6, 30598. [Google Scholar] [CrossRef]
- Ming, F.; Mulugeta, D.; Tu, W.; Smith, T.S.; Vilmercati, P.; Lee, G.; Huang, Y.-T.; Diehl, R.D.; Snijders, P.C.; Weitering, H.H. Hidden phase in a two-dimensional Sn layer stabilized by modulation hole doping. Nat. Comm. 2016, 8, 14721. [Google Scholar] [CrossRef]
- Wu, X.; Ming, F.; Smith, T.S.; Liu, G.; Ye, F.; Wang, K.; Johnston, S.; Weitering, H.H. Superconductivity in a hole-doped Mott-insulating triangular adatom layer on a silicon surface. Phys. Rev. Lett. 2020, 125, 117001. [Google Scholar] [CrossRef]
- Ming, F.; Wu, X.; Chen, C.; Wang, K.D.; Mai, P.; Maier, T.A.; Strockoz, J.; Venderbos, J.W.F.; González, C.; Ortega, J.; et al. Evidence for chiral superconductivity on a silicon surface. Nat. Phys. 2023, 19, 500. [Google Scholar] [CrossRef]
- Carpinelli, J.M.; Weitering, H.H.; Plummer, E.W.; Stumpf, R. Direct observation of a surface charge density wave. Nature 1996, 381, 398. [Google Scholar] [CrossRef]
- Matetskiy, A.V.; Denisov, N.V.; Hsing, C.R.; Wei, C.M.; Zotov, A.V.; Saranin, A.A. Observation of the nesting and defect-driven 1D incommensurate charge density waves phase in the 2D system. J. Phys. Condens. Mat. 2019, 31, 115402. [Google Scholar] [CrossRef]
- Adler, F.; Rachel, S.; Laubach, M.; Maklar, J.; Fleszar, A.; Schäfer, J.; Claessen, R. Correlation-driven charge order in a frustrated two-dimensional atom lattice. Phys. Rev. Lett. 2019, 123, 086401. [Google Scholar] [CrossRef]
- Li, G.; Laubach, M.; Fleszar, A.; Hanke, W. Geometrical frustration and the competing phases of the Sn/Si(111) (R30°) surface systems. Phys. Rev. B 2011, 83, 041104. [Google Scholar] [CrossRef]
- Li, G.; Höpfner, P.; Schäfer, J.; Blumenstein, C.; Meyer, S.; Bostwick, A.; Rotenberg, E.; Claessen, R.; Hanke, W. Magnetic order in a frustrated two-dimensional atom lattice at a semiconductor surface. Nat. Commun. 2013, 4, 1620. [Google Scholar] [CrossRef] [PubMed]
- Schuwalow, S.; Grieger, D.; Lechermann, F. Realistic modeling of the electronic structure and the effect of correlations for Sn/Si(111) and Sn/Ge(111) surfaces. Phys. Rev. B 2010, 82, 035116. [Google Scholar] [CrossRef]
- Hansmann, P.; Ayral, T.; Vaugier, L.; Werner, P.; Biermann, S. Long-range Coulomb interactions in surface systems: A first-principles description within self-consistently combined GW and dynamical mean-field theory. Phys. Rev. Lett. 2013, 110, 166401. [Google Scholar] [CrossRef]
- Ming, F.; Johnston, S.; Mulugeta, D.; Smith, T.S.; Vilmercati, P.; Lee, G.; Maier, T.A.; Snijders, P.C.; Weitering, H.H. Realization of a hole-doped Mott insulator on a triangular silicon lattice. Phys. Rev. Lett. 2017, 119, 266802. [Google Scholar] [CrossRef]
- Wolf, S.; Di Sante, D.; Schwemmer, T.; Thomale, R.; Rachel, S. Triplet superconductivity from nonlocal Coulomb repulsion in an atomic Sn layer Deposited onto a Si(111) substrate. Phys. Rev. Lett. 2022, 128, 167002. [Google Scholar] [CrossRef] [PubMed]
- Craco, L.; Carara, S.S. Orbital selectivity in Sn adatom adlayer on a Si(111) surface. Europhys. Lett. 2024, 145, 26003. [Google Scholar] [CrossRef]
- McChesney, J.L.; Bostwick, A.; Ohta, T.; Seyller, T.; Horn, K.; González, J.; Rotenberg, E. Extended van Hove singularity and superconducting ionstability in doped graphene. Phys. Rev. Lett. 2010, 104, 136803. [Google Scholar] [CrossRef] [PubMed]
- Craco, L. Electronic properties of normal and extended Hubbard model for bilayer cuprates. Eur. Phys. J. B 2022, 95, 125. [Google Scholar] [CrossRef]
- Gneist, N.; Classen, L.; Scherer, M.M. Competing instabilities of the extended Hubbard model on the triangular lattice: Truncated-unity functional renormalization group and application to moiré materials. Phys. Rev. B 2022, 106, 125141. [Google Scholar] [CrossRef]
- Ming, F.; Smith, T.S.; Johnston, S.; Snijders, P.C.; Weitering, H.H. Zero-bias anomaly in nanoscale hole-doped Mott insulators on a triangular silicon surface. Phys. Rev. B 2018, 97, 075403. [Google Scholar] [CrossRef]
- Xiong, Y.-L.; Guan, J.-Q.; Wang, R.-F.; Song, C.-L.; Ma, X.-C.; Xue, Q.-K. Experimental observation of pseudogap in a modulation-doped Mott insulator: Sn/Si(111)-()R30°. Chin. Phys. B 2022, 31, 067401. [Google Scholar] [CrossRef]
- Modesti, S.; Petaccia, L.; Ceballos, G.; Vobornik, I.; Panaccione, G.; Rossi, G.; Ottaviano, L.; Larciprete, R.; Lizzit, S.; Goldoni, A. Insulating Ground State of ()R30°. Phys. Rev. Lett. 2007, 98, 126401. [Google Scholar] [CrossRef] [PubMed]
- Charrier, A.; Pérez, R.; Thibaudau, F.; Debever, J.-M.; Ortega, J.; Flores, F.; Themlin, J.-M. Contrasted electronic properties of Sn-adatom-based ()R30° reconstructions on Si(111). Phys. Rev. B 2001, 64, 115407. [Google Scholar] [CrossRef]
- Belviso, F.; Cammarata, A.; Missaoui, J.; Polcar, T. Effect of electric fields in low-dimensional materials: Nanofrictional response as a case study. Phys. Rev. B 2020, 102, 155433. [Google Scholar] [CrossRef]
- Preziosi, D.; Alexe, M.; Hesse, D.; Salluzzo, M. Electric-field control of the orbital occupancy and magnetic moment of a transition-metal oxide. Phys. Rev. Lett. 2015, 115, 157401. [Google Scholar] [CrossRef]
- Kotliar, G.; Savrasov, S.Y.; Haule, K.; Oudovenko, V.S.; Parcollet, O.; Marianetti, C.A. Electronic structure calculations with dynamical mean-field theory. Rev. Mod. Phys. 2006, 78, 865. [Google Scholar] [CrossRef]
- Werner, P.; Millis, A.J. High-spin to low-spin and orbital polarization transitions in multiorbital Mott systems. Phys. Rev. Lett. 2007, 99, 126405. [Google Scholar] [CrossRef]
- Ni, Y.; Quan, Y.-M.; Liu, J.; Song, Y.; Zou, L.J. Electronic correlation-driven orbital polarization transitions in the orbital-selective Mott compound Ba2CuO4−δ. Phys. Rev. B 2021, 103, 214510. [Google Scholar] [CrossRef]
- Craco, L.; Leoni, S. Bulk quantum correlations and doping-induced nonmetallicity in the Bi2Se3 topological insulator. Phys. Rev. B 2012, 85, 075114. [Google Scholar] [CrossRef]
- Craco, L.; Leoni, S. Tunable Kondo-Mott physics in bulk Bi2Te2Se topological insulator. Phys. Rev. B 2012, 85, 195124. [Google Scholar] [CrossRef]
- Craco, L.; Leoni, S. Magnetoresistance in the spin-orbit Kondo state of elemental bismuth. Sci. Rep. 2015, 5, 13772. [Google Scholar] [CrossRef]
- Nagai, Y. Robust superconductivity with nodes in the superconducting topological insulator CuxBi2Se3: Zeeman orbital field and nonmagnetic impurities. Phys. Rev. B 2015, 91, 060502. [Google Scholar] [CrossRef]
- Zhao, H.J.; Wang, Y.; Yang, Y.; Ma, Y.; Bellaiche, L. Zeeman-type energy level splittings controlled by an electric field. Phys. Rev. B 2022, 106, 024104. [Google Scholar] [CrossRef]
- Craco, L.; Laad, M.S.; Leoni, S. Microscopic description of insulator-metal transition in high-pressure oxygen. Sci. Rep. 2017, 7, 2632. [Google Scholar] [CrossRef]
- Craco, L. Quantum orbital entanglement: A view from the extended periodic Anderson model. Phys. Rev. B 2008, 77, 125122. [Google Scholar] [CrossRef]
- Craco, L.; Leoni, S. Theory of two-fluid metallicity in superconducting FeSe at high pressure. Phys. Rev. B 2019, 100, 121101. [Google Scholar] [CrossRef]
- Craco, L. Orbital-selective electronic localization in dimerized NbO2: From Peierls to Mott. Phys. Rev. B 2024, 109, 235136. [Google Scholar] [CrossRef]
- Ahn, C.H.; Triscone, J.-M.; Mannhart, J. Electric field effect in correlated oxide systems. Nature 2003, 424, 1015. [Google Scholar] [CrossRef] [PubMed]
- Coey, J.M.D.; Viret, M.; von Molnár, S. Mixed-valence manganites. Adv. Phys. 1999, 48, 167. [Google Scholar] [CrossRef]
- De Luca, G.M.; Perroni, C.A.; Di Capua, R.; Cataudella, V.; Chiarella, F.; Minola, M.; Brookes, N.B.; Salluzzo, M.; Ghiringhelli, G. Strain and electric field control of the orbital and spin order in multiferroic BiMnO3. Eur. Phys. J. Plus 2020, 135, 473. [Google Scholar] [CrossRef]
- Tokura, Y.; Nagaosa, N. Orbital physics in transition-metal oxides. Science 2000, 288, 462. [Google Scholar] [CrossRef] [PubMed]
- Laad, M.S.; Craco, L.; Müller-Hartmann, E. Role of orbital degeneracy in double-exchange systems. Phys. Rev. B 2001, 63, 214419. [Google Scholar] [CrossRef]
- Pesquera, D.; Herranz, G.; Barla, A.; Pellegrin, E.; Bondino, F.; Magnano, E.; Sánchez, F.; Fontcuberta, J. Surface symmetry-breaking and strain effects on orbital occupancy in transition metal perovskite epitaxial films. Nat. Commun. 2012, 3, 1189. [Google Scholar] [CrossRef]
- Bernevig, B.A.; Hughes, T.L.; Zhang, S.-C. Orbitronics: The intrinsic orbital current in p-doped silicon. Phys. Rev. Lett. 2005, 95, 066601. [Google Scholar] [CrossRef]
- Wang, W.; Panin, G.N.; Fu, X.; Zhang, L.; Ilanchezhiyan, P.; Pelenovich, V.O.; Fu, D.; Kang, T.W. MoS2 memristor with photoresistive switching. Sci. Rep. 2016, 6, 31224. [Google Scholar] [CrossRef] [PubMed]
- Craco, L.; Carara, S.S.; Leoni, S. Interplay of electric field and disorder in Dirac liquid silicene. Eur. Phys. J. B 2021, 94, 47. [Google Scholar] [CrossRef]
- Georges, A.; Kotliar, G.; Krauth, W.; Rozenberg, M.J. Dynamical mean-field theory of strongly correlated fermion systems and the limit of infinite dimensions. Rev. Mod. Phys. 1996, 68, 13. [Google Scholar] [CrossRef]
- Deng, X.; Mravlje, J.; Žitko, R.; Ferrero, M.; Kotliar, G.; Georges, A. How bad metals turn good: Spectroscopic signatures of resilient quasiparticles. Phys. Rev. Lett. 2013, 110, 086401. [Google Scholar] [CrossRef] [PubMed]
- Vandelli, M.; Galler, A.; Rubio, A.; Lichtenstein, A.I.; Biermann, S.; Stepanov, E.A. Doping-dependent charge- and spin-density wave orderings in a monolayer of Pb adatoms on Si(111). npj Quantum Mater. 2024, 9, 19. [Google Scholar] [CrossRef]
- Jäger, M.; Brand, C.; Weber, A.P.; Fanciulli, M.; Dil, J.H.; Pfnür, H.; Tegenkamp, C. α-Sn phase on Si(111): Spin texture of a two-dimensional Mott state. Phys. Rev. B 2018, 98, 165422. [Google Scholar] [CrossRef]
- Meir, Y.; Wingreen, N.S. Landauer formula for the current through an interacting electron region. Phys. Rev. Lett. 1992, 68, 2512. [Google Scholar] [CrossRef]
- Craco, L.; Kang, K. Perturbation treatment for transport through a quantum dot. Phys. Rev. B 1999, 59, 12244. [Google Scholar] [CrossRef]
- Cuniberti, G.; Craco, L.; Porath, D.; Dekker, C. Backbone-induced semiconducting behavior in short DNA wires. Phys. Rev. B 2002, 65, 241314. [Google Scholar] [CrossRef]
- Bao, X.-X.; Wang, X.-F. Effects of long-range dispersive interaction on the electron transport in short single strands of guanine bases. Int. J. Quantum Chem. 2023, 1, e27251. [Google Scholar] [CrossRef]
- Greenlee, J.D.; Shank, J.C.; Tellekamp, M.B.; Gunning, B.P.; Fabien, C.A.M.; Doolittle, W.A. Liquid phase electro-epitaxy of memristive LiNbO2 crystals. Cryst. Growth Des. 2014, 14, 2218. [Google Scholar] [CrossRef]
- Tang, B.; Veluri, H.; Li, Y.; Yu, Z.G.; Waqar, M.; Leong, J.F.; Sivan, M.; Zamburg, E.; Zhang, Y.-W.; Wang, J.; et al. Wafer-scale solution-processed 2D material analog resistive memory array for memory-based computing. Nat. Comms. 2022, 13, 3037. [Google Scholar] [CrossRef] [PubMed]
- Liu, X.; Nandi, S.K.; Venkatachalam, D.K.; Belay, K.; Song, S.; Elliman, R.G. Reduced threshold current in NbO2 selector by engineering device structure. IEEE Electron Device Letts. 2014, 35, 1055. [Google Scholar] [CrossRef]
- Zhou, Y.; Ramanathan, S. Mott memory and neuromorphic devices. Proc. IEEE 2015, 103, 1289. [Google Scholar] [CrossRef]
- Tokura, Y.; Kawasaki, M.; Nagaosa, N. Emergent functions of quantum materials. Nat. Phys. 2017, 13, 1056. [Google Scholar] [CrossRef]







Disclaimer/Publisher’s Note: The statements, opinions and data contained in all publications are solely those of the individual author(s) and contributor(s) and not of MDPI and/or the editor(s). MDPI and/or the editor(s) disclaim responsibility for any injury to people or property resulting from any ideas, methods, instructions or products referred to in the content. |
© 2024 by the authors. Licensee MDPI, Basel, Switzerland. This article is an open access article distributed under the terms and conditions of the Creative Commons Attribution (CC BY) license (https://creativecommons.org/licenses/by/4.0/).
Share and Cite
Craco, L.; Chagas, E.F.; Carara, S.S.; Freelon, B. Atomristor Mott Theory of Sn Adatom Adlayer on a Si Surface. Condens. Matter 2024, 9, 32. https://doi.org/10.3390/condmat9030032
Craco L, Chagas EF, Carara SS, Freelon B. Atomristor Mott Theory of Sn Adatom Adlayer on a Si Surface. Condensed Matter. 2024; 9(3):32. https://doi.org/10.3390/condmat9030032
Chicago/Turabian StyleCraco, Luis, Edson F. Chagas, Sabrina S. Carara, and Byron Freelon. 2024. "Atomristor Mott Theory of Sn Adatom Adlayer on a Si Surface" Condensed Matter 9, no. 3: 32. https://doi.org/10.3390/condmat9030032
APA StyleCraco, L., Chagas, E. F., Carara, S. S., & Freelon, B. (2024). Atomristor Mott Theory of Sn Adatom Adlayer on a Si Surface. Condensed Matter, 9(3), 32. https://doi.org/10.3390/condmat9030032

