The Role of Orbital Nesting in the Superconductivity of Iron-Based Superconductors
Abstract
:1. Introduction
2. The Orbital Selective Spin Fluctuations Model
3. Results
3.1. Magnetic Excitations in the OSSF Model: RPA Analysis
3.2. Superconductivity Mediated by OSSF
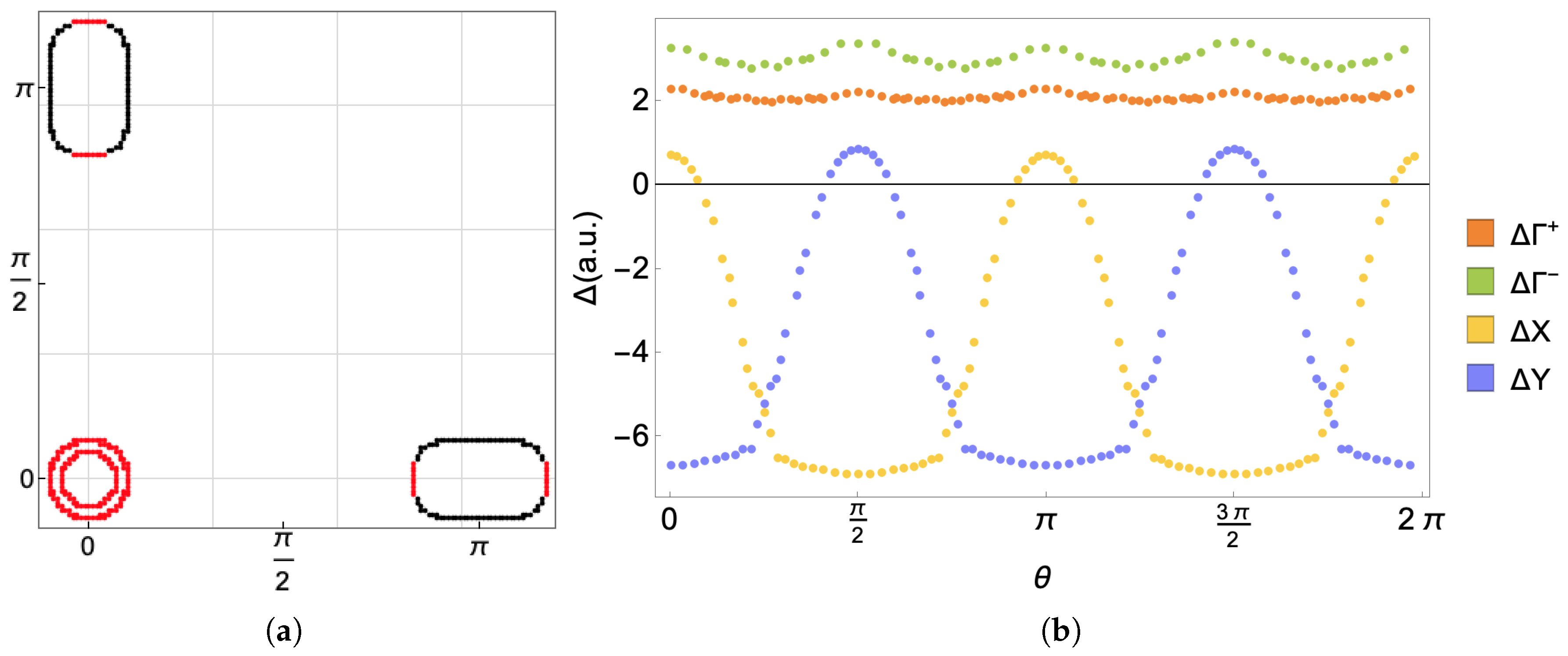
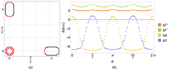
3.3. Superconducting Gaps
4. Discussion
Author Contributions
Funding
Institutional Review Board Statement
Informed Consent Statement
Data Availability Statement
Acknowledgments
Conflicts of Interest
Appendix A. Kinetic Hamiltonian for the Four-Pocket Model
Appendix B. RPA Spin Susceptibility for the OSSF Model
Appendix C. BCS Gap Equations
Appendix D. Band Parameters Used in the Calculations
| X/Y | |||
|---|---|---|---|
| 46 | 72 | 55 | |
| 263 | 93 | 101 | |
| 182 | b 154 | v 144 | |
References
- Mazin, I.I.; Singh, D.J.; Johannes, M.D.; Du, M.H. Unconventional Superconductivity with a Sign Reversal in the Order Parameter of LaFeAsO1−xFx. Phys. Rev. Lett. 2008, 101, 057003. [Google Scholar] [CrossRef] [PubMed] [Green Version]
- Kuroki, K.; Onari, S.; Arita, R.; Usui, H.; Tanaka, Y.; Kontani, H.; Aoki, H. Unconventional Pairing Originating from the Disconnected Fermi Surfaces of Superconducting LaFeAsO1−xFx. Phys. Rev. Lett. 2008, 101, 087004. [Google Scholar] [CrossRef] [PubMed] [Green Version]
- Boeri, L.; Dolgov, O.V.; Golubov, A.A. Is LaFeAsO1−xFx an Electron-Phonon Superconductor? Phys. Rev. Lett. 2008, 101, 026403. [Google Scholar] [CrossRef] [PubMed] [Green Version]
- Chubukov, A. Itinerant electron scenario. In Iron-Based Superconductivity; Johnson, P.D., Xu, G., Yin, W.G., Eds.; Springer International Publishing: Cham, Switzerland, 2015. [Google Scholar] [CrossRef]
- Graser, S.; Maier, T.A.; Hirschfeld, P.J.; Scalapino, D.J. Near-degeneracy of several pairing channels in multiorbital models for the Fe pnictides. New J. Phys. 2009, 11, 025016. [Google Scholar] [CrossRef]
- Ikeda, H.; Arita, R.; Kune, J. Phase diagram and gap anisotropy in iron-pnictide superconductors. Phys. Rev. B 2010, 81, 054502. [Google Scholar] [CrossRef] [Green Version]
- Graser, S.; Kemper, A.F.; Maier, T.A.; Cheng, H.P.; Hirschfeld, P.J.; Scalapino, D.J. Spin fluctuations and superconductivity in a three-dimensional tight-binding model for BaFe2As2. Phys. Rev. B 2010, 81, 214503. [Google Scholar] [CrossRef] [Green Version]
- Scalapino, D.J. A common thread: The pairing interaction for unconventional superconductors. Rev. Mod. Phys. 2012, 84, 1383–1417. [Google Scholar] [CrossRef] [Green Version]
- Hirschfeld, P.J.; Korshunov, M.M.; Mazin, I.I. Gap symmetry and structure of Fe-based superconductors. Rep. Prog. Phys. 2011, 74, 124508. [Google Scholar] [CrossRef] [Green Version]
- Maier, T.A.; Graser, S.; Scalapino, D.J.; Hirschfeld, P.J. Origin of gap anisotropy in spin fluctuation models of the iron pnictides. Phys. Rev. B 2009, 79, 224510. [Google Scholar] [CrossRef] [Green Version]
- Hirschfeld, P.J. Using gap symmetry and structure to reveal the pairing mechanism in Fe-based superconductors. Comptes Rendus Phys. 2016, 17, 197–231. [Google Scholar] [CrossRef]
- Sobota, J.A.; He, Y.; Shen, Z.X. Angle-resolved photoemission studies of quantum materials. Rev. Mod. Phys. 2021, 93, 025006. [Google Scholar] [CrossRef]
- Fanfarillo, L.; Cortijo, A.; Valenzuela, B. Spin-orbital interplay and topology in the nematic phase of iron pnictides. Phys. Rev. B 2015, 91, 214515. [Google Scholar] [CrossRef] [Green Version]
- Christensen, M.H.; Kang, J.; Andersen, B.M.; Fernandes, R.M. Spin-driven nematic instability of the multiorbital Hubbard model: Application to iron-based superconductors. Phys. Rev. B 2016, 93, 085136. [Google Scholar] [CrossRef] [Green Version]
- Fanfarillo, L.; Benfatto, L.; Valenzuela, B. Orbital mismatch boosting nematic instability in iron-based superconductors. Phys. Rev. B 2018, 97, 121109. [Google Scholar] [CrossRef] [Green Version]
- Cvetkovic, V.; Vafek, O. Space group symmetry, spin–orbit coupling, and the low-energy effective Hamiltonian for iron-based superconductors. Phys. Rev. B 2013, 88, 134510. [Google Scholar] [CrossRef] [Green Version]
- Kuroki, K.; Usui, H.; Onari, S.; Arita, R.; Aoki, H. Pnictogen height as a possible switch between high-Tc nodeless and low-Tc nodal pairings in the iron-based superconductors. Phys. Rev. B 2009, 79, 224511. [Google Scholar] [CrossRef] [Green Version]
- Kemper, A.F.; Korshunov, M.M.; Devereaux, T.P.; Fry, J.N.; Cheng, H.P.; Hirschfeld, P.J. Anisotropic quasiparticle lifetimes in Fe-based superconductors. Phys. Rev. B 2011, 83, 184516. [Google Scholar] [CrossRef] [Green Version]
- Bascones, E.; Valenzuela, B.; Calderòn, M.J. Magnetic interactions in iron superconductors: A review. Comptes Rendus Phys. 2016, 17, 36–39. [Google Scholar] [CrossRef]
- Ran, Y.; Wang, F.; Zhai, H.; Vishwanath, A.; Lee, D.H. Nodal spin density wave and band topology of the FeAs-based materials. Phys. Rev. B 2009, 79, 014505. [Google Scholar] [CrossRef] [Green Version]
- Fernandes, R.M.; Chubukov, A.V.; Knolle, J.; Eremin, I.; Schmalian, J. Preemptive nematic order, pseudogap, and orbital order in the iron pnictides. Phys. Rev. B 2012, 85, 024534. [Google Scholar] [CrossRef] [Green Version]
- Fanfarillo, L.; Mansart, J.; Toulemonde, P.; Cercellier, H.; Le Fèvre, P.; Bertran, F.; Valenzuela, B.; Benfatto, L.; Brouet, V. Orbital-dependent Fermi surface shrinking as a fingerprint of nematicity in FeSe. Phys. Rev. B 2016, 94, 155138. [Google Scholar] [CrossRef] [Green Version]
- Benfatto, L.; Valenzuela, B.; Fanfarillo, L. Nematic pairing from orbital-selective spin fluctuations in FeSe. NPJ Quantum Mater. 2008, 3, 56. [Google Scholar] [CrossRef] [Green Version]
- Fernández-Martín, R.; Fanfarillo, L.; Benfatto, L.; Valenzuela, B. Anisotropy of the dc conductivity due to orbital-selective spin fluctuations in the nematic phase of iron superconductors. Phys. Rev. B 2019, 99, 155117. [Google Scholar] [CrossRef] [Green Version]
- Altmeyer, M.; Guterding, D.; Hirschfeld, P.J.; Maier, T.A.; Valentí, R.; Scalapino, D.J. Role of vertex corrections in the matrix formulation of the random phase approximation for the multiorbital Hubbard model. Phys. Rev. B 2016, 94, 214515. [Google Scholar] [CrossRef] [Green Version]
- Kemper, A.F.; Maier, T.A.; Graser, S.; Cheng, H.P.; Hirschfeld, P.J.; Scalapino, D.J. Sensitivity of the superconducting state and magnetic susceptibility to key aspects of electronic structure in ferropnictides. New J. Phys. 2010, 12, 073030. [Google Scholar] [CrossRef]
- Grafe, H.J.; Paar, D.; Lang, G.; Curro, N.J.; Behr, G.; Werner, J.; Hamann-Borrero, J.; Hess, C.; Leps, N.; Klingeler, R.; et al. As75 NMR Studies of Superconducting LaFeAsO0.9F0.1. Phys. Rev. Lett. 2008, 101, 047003. [Google Scholar] [CrossRef]
- Fanlong, N.; Kanagasingham, A.; Takashi, I.; Athena, S.S.; Ronying, J.; Michael, A.M.; Brian, C.S.; David, M. Spin Susceptibility, Phase Diagram, and Quantum Criticality in the Eelctron-Doped High Tc Superconductor Ba(Fe1−xCox)2As2. J. Phys. Soc. Jpn. 2009, 78, 4. [Google Scholar] [CrossRef] [Green Version]
- Inosov, D.S.; Park, J.T.; Bourges, P.; Sun, D.L.; Sidis, Y.; Schneidewind, A.; Hradil, K.; Haug, D.; Lin, C.T.; Keimer, B.; et al. Normal-state spin dynamics and temperature-dependent spin-resonance energy in optimally doped BaFe1.85Co0.15As2. Nat. Phys. 2010, 6, 178–181. [Google Scholar] [CrossRef] [Green Version]
- Kretzschmar, F.; Muschler, B.; Böhm, T.; Baum, A.; Hackl, R.; Wen, H.H.; Tsurkan, V.; Deisenhofer, J.; Loidl, A. Raman-Scattering Detection of Nearly Degenerate s-Wave and d-Wave Pairing Channels in Iron-Based Ba0.6K0.4Fe2As2 and Rb0.8Fe1.6Se2 Superconductors. Phys. Rev. Lett. 2013, 110, 187002. [Google Scholar] [CrossRef] [Green Version]
- Böhm, T.; Kemper, A.F.; Moritz, B.; Kretzschmar, F.; Muschler, B.; Eiter, H.M.; Hackl, R.; Devereaux, T.P.; Scalapino, D.J.; Wen, H.H. Balancing Act: Evidence for a Strong Subdominant d-Wave Pairing Channel in Ba0.6K0.4Fe2As2. Phys. Rev. X 2014, 4, 041046. [Google Scholar] [CrossRef]
- Wu, S.F.; Richard, P.; Ding, H.; Wen, H.H.; Tan, G.; Wang, M.; Zhang, C.; Dai, P.; Blumberg, G. Superconductivity and electronic fluctuations in Ba1−xKxFe2As2 studied by Raman scattering. Phys. Rev. B 2017, 95, 085125. [Google Scholar] [CrossRef] [Green Version]
- Böhm, T.; Kretzschmar, F.; Baum, A.; Rehm, M.; Jost, D.; Hosseinian Ahangharnejhad, R.; Thomale, R.; Platt, C.; Maier, T.A.; Hanke, W.; et al. Microscopic origin of Cooper pairing in the iron-based superconductor Ba1−xKxFe2As2. NPJ Quantum Mater. 2018, 3, 48. [Google Scholar] [CrossRef] [Green Version]
- Jost, D.; Scholz, J.R.; Zweck, U.; Meier, W.R.; Böhmer, A.E.; Canfield, P.C.; Lazarević, N.; Hackl, R. Indication of subdominant d-wave interaction in superconducting CaKFe4As4. Phys. Rev. B 2018, 98, 020504. [Google Scholar] [CrossRef] [Green Version]
- He, G.; Li, D.; Jost, D.; Baum, A.; Shen, P.P.; Dong, X.L.; Zhao, Z.X.; Hackl, R. Raman Study of Cooper Pairing Instabilities in (Li1−xFex)OHFeSe. Phys. Rev. Lett. 2020, 125, 217002. [Google Scholar] [CrossRef] [PubMed]
- Maiti, S.; Hirschfeld, P.J. Collective modes in superconductors with competing s- and d-wave interactions. Phys. Rev. B 2015, 92, 094506. [Google Scholar] [CrossRef] [Green Version]
- Maiti, S.; Maier, T.A.; Böhm, T.; Hackl, R.; Hirschfeld, P.J. Probing the Pairing Interaction and Multiple Bardasis-Schrieffer Modes Using Raman Spectroscopy. Phys. Rev. Lett. 2016, 117, 257001. [Google Scholar] [CrossRef] [Green Version]
- Müller, M.A.; Shen, P.; Dzero, M.; Eremin, I. Short-time dynamics in s+is-wave superconductor with incipient bands. Phys. Rev. B 2018, 98, 024522. [Google Scholar] [CrossRef] [Green Version]
- Müller, M.A.; Volkov, P.A.; Paul, I.; Eremin, I.M. Collective modes in pumped unconventional superconductors with competing ground states. Phys. Rev. B 2019, 100, 140501. [Google Scholar] [CrossRef] [Green Version]
- Müller, M.A.; Eremin, I.M. Signatures of Bardasis-Schrieffer mode excitation in Third-Harmonic generated currents. arXiv 2021, arXiv:2107.02834. [Google Scholar]





Publisher’s Note: MDPI stays neutral with regard to jurisdictional claims in published maps and institutional affiliations. |
© 2021 by the authors. Licensee MDPI, Basel, Switzerland. This article is an open access article distributed under the terms and conditions of the Creative Commons Attribution (CC BY) license (https://creativecommons.org/licenses/by/4.0/).
Share and Cite
Fernández-Martín, R.; Calderón, M.J.; Fanfarillo, L.; Valenzuela, B. The Role of Orbital Nesting in the Superconductivity of Iron-Based Superconductors. Condens. Matter 2021, 6, 34. https://doi.org/10.3390/condmat6030034
Fernández-Martín R, Calderón MJ, Fanfarillo L, Valenzuela B. The Role of Orbital Nesting in the Superconductivity of Iron-Based Superconductors. Condensed Matter. 2021; 6(3):34. https://doi.org/10.3390/condmat6030034
Chicago/Turabian StyleFernández-Martín, Raquel, María J. Calderón, Laura Fanfarillo, and Belén Valenzuela. 2021. "The Role of Orbital Nesting in the Superconductivity of Iron-Based Superconductors" Condensed Matter 6, no. 3: 34. https://doi.org/10.3390/condmat6030034
APA StyleFernández-Martín, R., Calderón, M. J., Fanfarillo, L., & Valenzuela, B. (2021). The Role of Orbital Nesting in the Superconductivity of Iron-Based Superconductors. Condensed Matter, 6(3), 34. https://doi.org/10.3390/condmat6030034

