Structural Phase Diagram of LaO1−xFxBiSSe: Suppression of the Structural Phase Transition by Partial F Substitutions
Abstract
1. Introduction
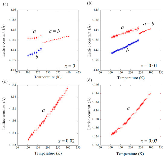
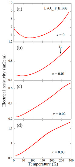
2. Results
3. Discussion
4. Materials and Methods
5. Conclusions
Supplementary Materials
Author Contributions
Funding
Acknowledgments
Conflicts of Interest
References
- Mizuguchi, Y.; Fujihisa, H.; Gotoh, Y.; Suzuki, K.; Usui, H.; Kuroki, K.; Demura, S.; Takano, Y.; Izawa, H.; Miura, O. BiS2-based layered superconductor Bi4O4S3. Phys. Rev. B 2012, 86, 220510. [Google Scholar] [CrossRef]
- Mizuguchi, Y.; Demura, S.; Deguchi, K.; Takano, Y.; Fujihisa, H.; Gotoh, Y.; Izawa, H.; Miura, O. Superconductivity in novel BiS2-based layered superconductor LaO1−xFxBiS2. J. Phys. Soc. Jpn. 2012, 81, 114725. [Google Scholar] [CrossRef]
- Mizuguchi, Y. Material development and physical properties of BiS2-based layered compounds. J. Phys. Soc. Jpn. 2019, 88, 041001. [Google Scholar] [CrossRef]
- Bednorz, J.G.; Müller, K.A. Possible high Tc superconductivity in the Ba−La−Cu−O system. Z. Phys. B Condensed Matter 1986, 64, 189–193. [Google Scholar] [CrossRef]
- Kamihara, Y.; Watanabe, T.; Hirano, M.; Hosono, H. Iron-based layered superconductor La[O1−xFx]FeAs (x = 0.05–0.12) with Tc = 26 K. J. Am. Chem. Soc. 2008, 130, 3296–3297. [Google Scholar] [CrossRef]
- Suzuki, K.; Usui, H.; Kuroki, K.; Nomoto, Y.; Hattori, K.; Ikeda, H. Electronic Structure and Superconducting Gap Structure in BiS2-based Layered Superconductors. J. Phys. Soc. Jpn. 2019, 88, 041008. [Google Scholar] [CrossRef]
- Yamashita, T.; Tokiwa, Y.; Terazawa, D.; Nagao, M.; Watauchi, S.; Tanaka, I.; Terashima, T.; Matsuda, Y. Conventional s-wave superconductivity in BiS2-based NdO0.71F0.29BiS2 revealed by thermal transport measurements. J. Phys. Soc. Jpn. 2016, 85, 073707. [Google Scholar] [CrossRef]
- Kase, N.; Terui, Y.; Nakano, T.; Takeda, N. Superconducting gap symmetry of the BiS2-based superconductor LaO0.5F0.5BiSSe elucidated through specific heat measurements. Phys. Rev. B 2017, 96, 214506. [Google Scholar] [CrossRef]
- Jiao, L.; Weng, Z.F.; Liu, J.Z.; Zhang, J.L.; Pang, G.M.; Guo, C.Y.; Gao, F.; Zhu, X.Y.; Wen, H.H.; Yuan, H.Q. Evidence for nodeless superconductivity in NdO1−xFxBiS2 (x = 0.3 and 0.5) single crystals. J. Phys. Condens. Matter 2015, 27, 225701. [Google Scholar] [CrossRef][Green Version]
- Ota, Y.; Okazaki, K.; Yamamoto, H.Q.; Yamamoto, T.; Watanabe, S.; Chen, C.; Nagao, M.; Watauchi, S.; Tanaka, I.; Takano, Y.; et al. Unconventional superconductivity in the BiS2-based layered superconductor NdO0.71F0.29BiS2. Phys. Rev. Lett. 2017, 118, 167002. [Google Scholar] [CrossRef]
- Hoshi, K.; Goto, Y.; Mizuguchi, Y. Selenium isotope effect in the layered bismuth chalcogenide superconductor LaO0.6F0.4Bi(S,Se)2. Phys. Rev. B 2018, 97, 094509. [Google Scholar] [CrossRef]
- Jha, R.; Mizuguchi, Y. Unconventional isotope effect on transition temperature in BiS2-based superconductor Bi4O4S3. Appl. Phys. Express 2020, 13, 093001. [Google Scholar] [CrossRef]
- Yamashita, A.; Usui, H.; Hoshi, K.; Goto, Y.; Kuroki, K.; Mizuguchi, Y. Conventional isotope effect in BiS2-based superconductor (Sr,La)FBiS2: Possible pairing mechanism switching driven by structural symmetry breaking. arXiv 2020, arXiv:2007.11130. [Google Scholar]
- Hoshi, K.; Kimata, M.; Goto, Y.; Matsuda, T.D.; Mizuguchi, Y. Two-Fold-Symmetric Magnetoresistance in Single Crystals of Tetragonal BiCh2-Based Superconductor LaO0.5F0.5BiSSe. J. Phys. Soc. Jpn. 2019, 88, 033704. [Google Scholar] [CrossRef]
- Hoshi, K.; Kimata, M.; Goto, Y.; Miura, A.; Moriyoshi, C.; Kuroiwa, Y.; Nagao, M.; Mizuguchi, Y. Two-fold symmetry of in-plane magnetoresistance anisotropy in the superconducting states of BiCh2-based LaO0.9F0.1BiSSe single crystal. J. Phys. Commun. 2020, 4, 095028. [Google Scholar] [CrossRef]
- Nagasaka, K.; Nishida, A.; Jha, R.; Kajitani, J.; Miura, O.; Higashinaka, R.; Matsuda, T.D.; Aoki, Y.; Miura, A.; Moriyoshi, C.; et al. Intrinsic Phase Diagram of Superconductivity in the BiCh2-based System Without In-plane Disorder. J. Phys. Soc. Jpn. 2017, 86, 074701. [Google Scholar] [CrossRef][Green Version]
- Yonezawa, S.; Tajiri, K.; Nakata, S.; Nagai, Y.; Wang, Z.; Segawa, K.; Ando, Y.; Maeno, Y. Thermodynamic evidence for nematic superconductivity in CuxBi2Se3. Nat. Phys. 2016, 13, 123–126. [Google Scholar] [CrossRef]
- Pan, Y.; Nikitin, A.M.; Araizi, G.K.; Huang, Y.K.; Matsushita, Y.; Naka, T.; de Visser, A. Rotational symmetry breaking in the topological superconductor SrxBi2Se3 probed by upper-critical field experiments. Sci. Rep. 2016, 6, 28632. [Google Scholar] [CrossRef]
- Shen, J.; He, W.Y.; Yuan, N.F.Q.; Huang, Z.; Cho, C.W.; Lee, S.H.; Hor, Y.S.; Law, K.T.; Lortz, R. Nematic topological superconducting phase in Nb-doped Bi2Se3. npj Quantum Mater. 2017, 2, 59. [Google Scholar] [CrossRef]
- Baek, S.H.; Efremov, D.V.; Ok, J.M.; Kim, J.S.; Brink, J.V.D.; Büchner, B. Orbital-driven nematicity in FeSe. Nat. Mater. 2015, 14, 210–214. [Google Scholar] [CrossRef]
- Fernandes, R.M.; Chubukov, A.V.; Schmalian, J. What drives nematic order in iron-based superconductors? Nat. Phys. 2014, 10, 97–104. [Google Scholar] [CrossRef]
- Yonezawa, S. Nematic Superconductivity in Doped Bi2Se3 Topological Superconductors. Condens. Matter 2019, 4, 2. [Google Scholar] [CrossRef]
- Tomita, T.; Ebata, M.; Soeda, H.; Takahashi, H.; Fujihisa, H.; Gotoh, Y.; Mizuguchi, Y.; Izawa, H.; Miura, O.; Demura, S.; et al. Pressure-Induced Enhancement of Superconductivity and Structural Transition in BiS2-Layered LaO1−xFxBiS2. J. Phys. Soc. Jpn. 2014, 83, 063704. [Google Scholar] [CrossRef]
- Mizuguchi, Y.; Paris, E.; Sugimoto, T.; Iadecola, A.; Kajitani, J.; Miura, O.; Mizokawa, T.; Saini, N.L. The effect of RE substitution in layered REO0.5F0.5BiS2: Chemical pressure, local disorder and superconductivity. Phys. Chem. Chem. Phys. 2015, 17, 22090–22096. [Google Scholar] [CrossRef]
- Athauda, A.; Louca, D. Nanoscale Atomic Distortions in the BiS2 Superconductors: Ferrodistortive Sulfur Modes. J. Phys. Soc. Jpn. 2019, 88, 041004. [Google Scholar] [CrossRef]
- Paris, E.; Mizuguchi, Y.; Wakita, T.; Terashima, K.; Yokoya, T.; Mizokawa, T.; Saini, N.L. Suppression of structural instability in LaOBiS2−xSex by Se substitution. J. Phys. Condens. Matter 2018, 30, 455703. [Google Scholar] [CrossRef]
- Hirayama, N.; Ochi, M.; Kuroki, K. Theoretical study of fluorine doping in layered LaOBiS2-type compounds. Phys. Rev. B 2019, 100, 125201. [Google Scholar] [CrossRef]
- Mizuguchi, Y.; Omachi, A.; Goto, Y.; Kamihara, Y.; Matoba, M.; Hiroi, T.; Kajitani, J.; Miura, O. Enhancement of thermoelectric properties by Se substitution in layered bismuth-chalcogenide LaOBiS2-xSex. J. Appl. Phys. 2014, 116, 163915. [Google Scholar] [CrossRef]
- Huang, Q.; Qiu, Y.; Bao, W.; Green, M.A.; Lynn, J.W.; Gasparovic, Y.C.; Wu, T.; Wu, G.; Chen, X.H. Neutron-Diffraction Measurements of Magnetic Order and a Structural Transition in the Parent BaFe2As2 Compound of FeAs-Based High-Temperature Superconductors. Phys. Rev. Lett. 2008, 101, 257003. [Google Scholar] [CrossRef]
- Nagao, M.; Tanaka, M.; Watauchi, S.; Tanaka, I.; Takano, Y. Superconducting Anisotropies of F-Substituted LaOBiSe2 Single Crystals. J. Phys. Soc. Jpn. 2014, 83, 114709. [Google Scholar] [CrossRef]
- Wu, S.L.; Sun, Z.A.; Chiang, F.K.; Ma, C.; Tian, H.F.; Zhang, R.X.; Zhang, B.; Li, J.Q.; Yang, H.X. Synthesis and physical property characterization of LaOBiSe2 and LaO0.5F0.5BiSe2 superconductor. Solid State Commun. 2015, 205, 14–18. [Google Scholar] [CrossRef]
- Jha, R.; Goto, Y.; Higashinaka, R.; Matsuda, T.D.; Aoki, Y.; Mizuguchi, Y. Superconductivity in Layered Oxychalcogenide La2O2Bi3AgS6. J. Phys. Soc. Jpn. 2018, 87, 083704. [Google Scholar] [CrossRef]
- Zhai, H.F.; Tang, Z.T.; Jiang, H.; Xu, K.; Zhang, K.; Zhang, P.; Bao, J.K.; Sun, Y.L.; Jiao, W.H.; Nowik, I.; et al. Possible charge-density wave, superconductivity, and f-electron valence instability in EuBiS2F. Phys. Rev. B 2014, 90, 064518. [Google Scholar] [CrossRef]
- Yi, M.; Zhang, Y.; Shen, Z.X.; Lu, D. Role of the orbital degree of freedom in iron-based superconductors. npj Quantum Mater. 2017, 2, 57. [Google Scholar] [CrossRef]
- Sasaki, S.; Kriener, M.; Segawa, K.; Yada, K.; Tanaka, Y.; Sato, M.; Ando, Y. Topological Superconductivity in CuxBi2Se3. Phys. Rev. Lett. 2011, 107, 217001. [Google Scholar] [CrossRef]
- Zhang, P.; Yaji, K.; Hashimoto, T.; Ota, Y.; Kondo, T.; Okazaki, K.; Wang, Z.; Wen, J.; Gu, G.D.; Ding, H.; et al. Observation of topological superconductivity on the surface of an iron-based superconductor. Science 2018, 360, 182–186. [Google Scholar] [CrossRef]
- Yang, Y.; Wang, W.S.; Xiang, Y.Y.; Li, Z.Z.; Wang, Q.H. Pairing with dominant triplet component and possible weak topological superconductivity in BiS2-based superconductors. Phys. Rev. B 2013, 88, 094519. [Google Scholar] [CrossRef]
- Wakimoto, S.; Kimura, H.; Fujita, M.; Yamada, K.; Noda, Y.; Shirane, G.; Gu, G.; Kim, H.; Birgeneau, R.J. Incommensurate lattice distortion in the high temperature tetragonal phase of La2−x(Sr,Ba)xCuO4. J. Phys. Soc. Jpn. 2006, 75, 074714. [Google Scholar] [CrossRef]
- Campi, G.; Bianconi, A.; Poccia, N.; Bianconi, G.; Barba, L.; Arrighetti, G.; Innocenti, D.; Karpinski, J.; Zhigadlo, N.D.; Kazakov, S.M.; et al. Inhomogeneity of charge-density-wave order and quenched disorder in a high-Tc superconductor. Nature 2015, 525, 359–362. [Google Scholar] [CrossRef]
- Campi, G.; Ricci, A.; Poccia, N.; Barba, L.; Arrighetti, G.; Burghammer, M.; Caporale, A.S.; Bianconi, A. Scanning micro-x-ray diffraction unveils the distribution of oxygen chain nanoscale puddles in YBa2Cu3O6.33. Phys. Rev. B 2013, 87, 014517. [Google Scholar] [CrossRef]
- Agrestini, S.; Saini, N.L.; Bianconi, G.; Bianconi, A. The strain of CuO2 lattice: The second variable for the phase diagram of cuprate perovskites. J. Phys. A Math. Gen. 2003, 36, 9133–9142. [Google Scholar] [CrossRef]
- Momma, K.; Lzumi, F. VESTA: A three-dimensional visualization system for electronic and structural analysis. J. Appl. Cryst. 2008, 41, 653–658. [Google Scholar] [CrossRef]





Publisher’s Note: MDPI stays neutral with regard to jurisdictional claims in published maps and institutional affiliations. |
© 2020 by the authors. Licensee MDPI, Basel, Switzerland. This article is an open access article distributed under the terms and conditions of the Creative Commons Attribution (CC BY) license (http://creativecommons.org/licenses/by/4.0/).
Share and Cite
Hoshi, K.; Sakuragi, S.; Yajima, T.; Goto, Y.; Miura, A.; Moriyoshi, C.; Kuroiwa, Y.; Mizuguchi, Y. Structural Phase Diagram of LaO1−xFxBiSSe: Suppression of the Structural Phase Transition by Partial F Substitutions. Condens. Matter 2020, 5, 81. https://doi.org/10.3390/condmat5040081
Hoshi K, Sakuragi S, Yajima T, Goto Y, Miura A, Moriyoshi C, Kuroiwa Y, Mizuguchi Y. Structural Phase Diagram of LaO1−xFxBiSSe: Suppression of the Structural Phase Transition by Partial F Substitutions. Condensed Matter. 2020; 5(4):81. https://doi.org/10.3390/condmat5040081
Chicago/Turabian StyleHoshi, Kazuhisa, Shunsuke Sakuragi, Takeshi Yajima, Yosuke Goto, Akira Miura, Chikako Moriyoshi, Yoshihiro Kuroiwa, and Yoshikazu Mizuguchi. 2020. "Structural Phase Diagram of LaO1−xFxBiSSe: Suppression of the Structural Phase Transition by Partial F Substitutions" Condensed Matter 5, no. 4: 81. https://doi.org/10.3390/condmat5040081
APA StyleHoshi, K., Sakuragi, S., Yajima, T., Goto, Y., Miura, A., Moriyoshi, C., Kuroiwa, Y., & Mizuguchi, Y. (2020). Structural Phase Diagram of LaO1−xFxBiSSe: Suppression of the Structural Phase Transition by Partial F Substitutions. Condensed Matter, 5(4), 81. https://doi.org/10.3390/condmat5040081

