Morpho-Anatomical Degeneration of Dopaminergic Neurons in Adult Zebrafish Brain after Exposure to Nickel
Abstract
1. Introduction
2. Materials and Methods
2.1. Animals
2.2. Nickel Exposure and Brain Dissection
2.3. RNA Extraction
2.4. Reverse Transcriptase PCR
2.5. Quantitative Real-Time PCR
2.6. Tissue Preparation
2.7. Immunofluorescence
2.8. TUNEL Assay Combined with Immunofluorescence
2.9. Statistical Analysis
3. Results
3.1. Experimental Outline of the Study
3.2. Nickel Exposure Affects Brain Tyrosine Hydroxylase Genes Levels in a Dose-Dependent Fashion
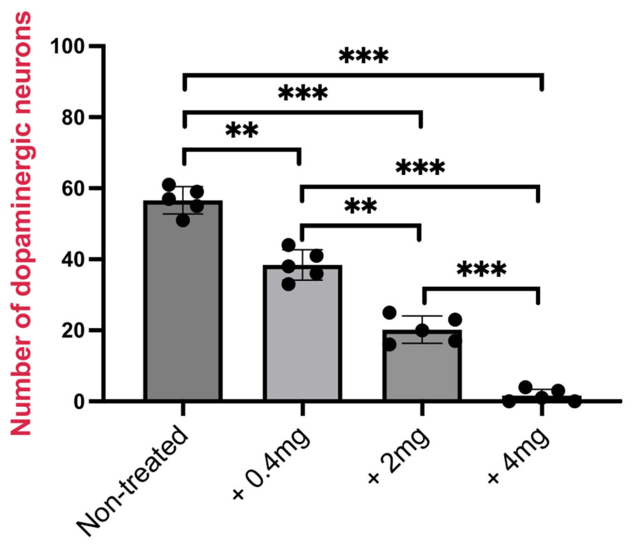
3.3. Treatment of Adult Zebrafish with Nickel Decreases TH-Expressing Cells in Posterior Tuberculum
3.4. Dopaminergic Neuron Degeneration Is Associated with Increased Apoptosis in Posterior Tuberculum
4. Discussion
5. Conclusions
Author Contributions
Funding
Institutional Review Board Statement
Informed Consent Statement
Data Availability Statement
Conflicts of Interest
References
- Ljungberg, T.; Ungerstedt, U. Sensory inattention produced by 6-hydroxydopamine-induced degeneration of ascending dopamine neurons in the brain. Exp. Neurol. 1976, 53, 585–600. [Google Scholar] [CrossRef]
- Chinta, S.J.; Andersen, J.K. Dopaminergic neurons. Int. J. Biochem. Cell Biol. 2005, 37, 942–946. [Google Scholar] [CrossRef] [PubMed]
- Yamamoto, K.; Vernier, P. The evolution of dopamine systems in chordates. Front. Neuroanat. 2011, 5, 21. [Google Scholar] [CrossRef] [PubMed]
- Butcher, L.L.; Talbot, K.; Bilezikjian, L. Acetylcholinesterase neurons in dopamine-containing regions of the brain. J. Neural Transm. 1975, 37, 127–153. [Google Scholar] [CrossRef]
- Schultz, W. Dopamine neurons and their role in reward mechanisms. Curr. Opin. Neurobiol. 1997, 7, 191–197. [Google Scholar] [CrossRef]
- Ekstrom, P.; Honkanen, T.; Steinbusch, H.W. Distribution of dopamine-immunoreactive neuronal perikarya and fibres in the brain of a teleost, Gasterosteus aculeatus L. comparison with tyrosine hydroxylase- and dopamine-beta-hydroxylase-immunoreactive neurons. J. Chem. Neuroanat. 1990, 3, 233–260. [Google Scholar]
- Hollerman, J.R.; Grace, A.A. The effects of dopamine-depleting brain lesions on the electrophysiological activity of rat substantia nigra dopamine neurons. Brain Res. 1990, 533, 203–212. [Google Scholar] [CrossRef]
- Saavedra, J.M.; Brownstein, M.; Palkovits, M.; Kizer, S.; Axelrod, J. Tyrosine hydroxylase and dopamine-beta-hydroxylase: Distribution in the individual rat hypothalamic nuclei. J. Neurochem. 1974, 23, 869–871. [Google Scholar] [CrossRef] [PubMed]
- Buijs, R.M.; Geffard, M.; Pool, C.W.; Hoorneman, E.M. The dopaminergic innervation of the supraoptic and paraventricular nucleus. A light and electron microscopical study. Brain Res. 1984, 323, 65–72. [Google Scholar] [CrossRef]
- Bayer, S.A.; Wills, K.V.; Triarhou, L.C.; Ghetti, B. Time of neuron origin and gradients of neurogenesis in midbrain dopaminergic neurons in the mouse. Exp. Brain Res. 1995, 105, 191–199. [Google Scholar] [CrossRef]
- Gomez Ramos, B.; Ohnmacht, J.; De Lange, N.; Valceschini, E.; Ginolhac, A.; Catillon, M.; Ferrante, D.; Rakovic, A.; Halder, R.; Massart, F.; et al. Multiomics analysis identifies novel facilitators of human dopaminergic neuron differentiation. EMBO Rep. 2024, 25, 254–285. [Google Scholar] [CrossRef]
- Holzschuh, J.; Ryu, S.; Aberger, F.; Driever, W. Dopamine transporter expression distinguishes dopaminergic neurons from other catecholaminergic neurons in the developing zebrafish embryo. Mech. Dev. 2001, 101, 237–243. [Google Scholar] [CrossRef]
- Schweitzer, J.; Driever, W. Development of the dopamine systems in zebrafish. Adv. Exp. Med. Biol. 2009, 651, 1–14. [Google Scholar] [CrossRef] [PubMed]
- Rink, E.; Wullimann, M.F. Development of the catecholaminergic system in the early zebrafish brain: An immunohistochemical study. Brain Res. Dev. Brain Res. 2002, 137, 89–100. [Google Scholar] [CrossRef] [PubMed]
- Nyuzuki, H.; Ito, S.; Nagasaki, K.; Nitta, Y.; Matsui, N.; Saitoh, A.; Matsui, H. Degeneration of dopaminergic neurons and impaired intracellular trafficking in Atp13a2 deficient zebrafish. IBRO Rep. 2020, 9, 1–8. [Google Scholar] [CrossRef] [PubMed]
- Matsui, H.; Sugie, A. An optimized method for counting dopaminergic neurons in zebrafish. PLoS ONE 2017, 12, e0184363. [Google Scholar] [CrossRef] [PubMed]
- Scerbina, T.; Chatterjee, D.; Gerlai, R. Dopamine receptor antagonism disrupts social preference in zebrafish: A strain comparison study. Amino Acids 2012, 43, 2059–2072. [Google Scholar] [CrossRef]
- Li, L.; Dowling, J.E. Effects of dopamine depletion on visual sensitivity of zebrafish. J. Neurosci. 2000, 20, 1893–1903. [Google Scholar] [CrossRef]
- Cleal, M.; Fontana, B.D.; Double, M.; Mezabrovschi, R.; Parcell, L.; Redhead, E.; Parker, M.O. Dopaminergic modulation of working memory and cognitive flexibility in a zebrafish model of aging-related cognitive decline. Neurobiol. Aging 2021, 102, 1–16. [Google Scholar] [CrossRef]
- Barrios, J.P.; Wang, W.C.; England, R.; Reifenberg, E.; Douglass, A.D. Hypothalamic Dopamine Neurons Control Sensorimotor Behavior by Modulating Brainstem Premotor Nuclei in Zebrafish. Curr. Biol. 2020, 30, 4606–4618. [Google Scholar] [CrossRef] [PubMed]
- Xi, Y.; Ryan, J.; Noble, S.; Yu, M.; Yilbas, A.E.; Ekker, M. Impaired dopaminergic neuron development and locomotor function in zebrafish with loss of pink1 function. Eur. J. Neurosci. 2010, 31, 623–633. [Google Scholar] [CrossRef]
- Zhao, T.; Zondervan-van der Linde, H.; Severijnen, L.A.; Oostra, B.A.; Willemsen, R.; Bonifati, V. Dopaminergic neuronal loss and dopamine-dependent locomotor defects in Fbxo7-deficient zebrafish. PLoS ONE 2012, 7, e48911. [Google Scholar] [CrossRef] [PubMed]
- Darna, M.; Beckmann, J.S.; Gipson, C.D.; Bardo, M.T.; Dwoskin, L.P. Effect of environmental enrichment on dopamine and serotonin transporters and glutamate neurotransmission in medial prefrontal and orbitofrontal cortex. Brain Res. 2015, 1599, 115–125. [Google Scholar] [CrossRef] [PubMed]
- Tian, J.; Hu, J.; Liu, D.; Yin, J.; Chen, M.; Zhou, L.; Yin, H. Cadmium chloride-induced transgenerational neurotoxicity in zebrafish development. Environ. Toxicol. Pharmacol. 2021, 81, 103545. [Google Scholar] [CrossRef] [PubMed]
- Huang, S.S.; Noble, S.; Godoy, R.; Ekker, M.; Chan, H.M. Delayed effects of methylmercury on the mitochondria of dopaminergic neurons and developmental toxicity in zebrafish larvae (Danio rerio). Aquat. Toxicol. 2016, 175, 73–80. [Google Scholar] [CrossRef] [PubMed]
- Bui Thi, N.H.; Nguyen Thi, N.A.; Audira, G.; Siregar, P.; Liang, S.T.; Huang, J.C.; Hsiao, C.D. Chronic Exposure to Low Concentration Lead Chloride-Induced Anxiety and Loss of Aggression and Memory in Zebrafish. Int. J. Mol. Sci. 2020, 21, 1844. [Google Scholar] [CrossRef] [PubMed]
- Capriello, T.; Di Meglio, G.; De Maio, A.; Scudiero, R.; Bianchi, A.R.; Trifuoggi, M.; Toscanesi, M.; Giarra, A.; Ferrandino, I. Aluminium exposure leads to neurodegeneration and alters the expression of marker genes involved to parkinsonism in zebrafish brain. Chemosphere 2022, 307 Pt 1, 135752. [Google Scholar] [CrossRef] [PubMed]
- Green, A.J.; Planchart, A. The neurological toxicity of heavy metals: A fish perspective. Comp. Biochem. Physiol. C Toxicol. Pharmacol. 2018, 208, 12–19. [Google Scholar] [CrossRef]
- Li, Y.F.; Cheng, Y.B.; Tian, Z.L.; Liu, N.G. Research Progress of Zebrafish Model in Toxicology and Its Application Prospects in Forensic Science. Fa Yi Xue Za Zhi 2021, 37, 867–872. [Google Scholar] [CrossRef]
- Nowik, N.; Podlasz, P.; Jakimiuk, A.; Kasica, N.; Sienkiewicz, W.; Kaleczyc, J. Zebrafish: An animal model for research in veterinary medicine. Pol. J. Vet. Sci. 2015, 18, 663–674. [Google Scholar] [CrossRef]
- Choi, T.Y.; Choi, T.I.; Lee, Y.R.; Choe, S.K.; Kim, C.H. Zebrafish as an animal model for biomedical research. Exp. Mol. Med. 2021, 53, 310–317. [Google Scholar] [CrossRef] [PubMed]
- Engert, F.; Wilson, S.W. Zebrafish neurobiology: From development to circuit function and behaviour. Dev. Neurobiol. 2012, 72, 215–217. [Google Scholar] [CrossRef] [PubMed]
- Nikolaou, N.; Meyer, M.P. Neurobiology: Imaging prey capture circuits in zebrafish. Curr. Biol. 2015, 25, R273–R275. [Google Scholar] [CrossRef] [PubMed][Green Version]
- Key, B.; Devine, C.A. Zebrafish as an experimental model: Strategies for developmental and molecular neurobiology studies. Methods Cell Sci. 2003, 25, 1–6. [Google Scholar] [CrossRef] [PubMed]
- Cacialli, P.; Ricci, S.; Frabetti, F.; Ferrando, S.; Franceschini, V. Exposure of Zebrafish Embryos to Urea Affects Gene Expression in Neuronal Cells. Environments 2024, 11, 41. [Google Scholar] [CrossRef]
- Hernandez, E.; Obrist-Farner, J.; Brenner, M.; Kenney, W.F.; Curtis, J.H.; Duarte, E. Natural and anthropogenic sources of lead, zinc, and nickel in sediments of Lake Izabal, Guatemala. J. Environ. Sci. 2020, 96, 117–126. [Google Scholar] [CrossRef] [PubMed]
- Salehi, F.; Esmaeilbeigi, M.; Kazemi, A.; Sharafi, S.; Sahebi, Z.; Asl, A.G. Spatial health risk assessments of nickel in the groundwater sources of a mining-impacted area. Sci. Rep. 2024, 14, 11017. [Google Scholar] [CrossRef] [PubMed]
- Genchi, G.; Carocci, A.; Lauria, G.; Sinicropi, M.S.; Catalano, A. Nickel: Human Health and Environmental Toxicology. Int. J. Environ. Res. Public Health 2020, 17. [Google Scholar] [CrossRef]
- Han, X.X.; Li, J.; Oner, I.H.; Zhao, B.; Leimkuhler, S.; Hildebrandt, P.; Weidinger, I.M. Nickel electrodes as a cheap and versatile platform for studying structure and function of immobilized redox proteins. Anal. Chim. Acta 2016, 941, 35–40. [Google Scholar] [CrossRef] [PubMed]
- Es-Sette, B.; Ajdor, Y.; Zidane, F.; Fakhraddine, A.; Foutlane, A. Conceptuel model of transport of trace metals (chromium and nickel) in the Sebou River-Morocco. Environ. Technol. 2005, 26, 831–841. [Google Scholar] [CrossRef]
- Wang, X.; Wei, D.; Ma, Y.; McLaughlin, M.J. Soil ecological criteria for nickel as a function of soil properties. Environ. Sci. Pollut. Res. Int. 2018, 25, 2137–2146. [Google Scholar] [CrossRef]
- Benvenuti, T.; Rodrigues, M.; Arenzon, A.; Bernardes, A.M.; Zoppas-Ferreira, J. Toxicity effects of nickel electroplating effluents treated by photoelectrooxidation in the industries of the Sinos River Basin. Braz. J. Biol. 2015, 75 (Suppl. 2), 17–24. [Google Scholar] [CrossRef]
- Kastratovic, V.; Bigovic, M.; Jacimovic, Z.; Kosovic, M.; Durovic, D.; Krivokapic, S. Levels and distribution of cobalt and nickel in the aquatic macrophytes found in Skadar Lake, Montenegro. Environ. Sci. Pollut. Res. Int. 2018, 25, 26823–26830. [Google Scholar] [CrossRef] [PubMed]
- Yap, C.K.; Al-Mutairi, K.A. Comparative Study of Potentially Toxic Nickel and Their Potential Human Health Risks in Seafood (Fish and Mollusks) from Peninsular Malaysia. Biology 2022, 11, 376. [Google Scholar] [CrossRef] [PubMed]
- Ptashynski, M.D.; Klaverkamp, J.F. Accumulation and distribution of dietary nickel in lake whitefish (Coregonus clupeaformis). Aquat. Toxicol. 2002, 58, 249–264. [Google Scholar] [CrossRef] [PubMed]
- Ptashynski, M.D.; Pedlar, R.M.; Evans, R.E.; Wautier, K.G.; Baron, C.L.; Klaverkamp, J.F. Accumulation, distribution and toxicology of dietary nickel in lake whitefish (Coregonus clupeaformis) and lake trout (Salvelinus namaycush). Comp. Biochem. Physiol. C Toxicol. Pharmacol. 2001, 130, 145–162. [Google Scholar] [CrossRef] [PubMed]
- Ren, T.; Zhao, L.J.; Sun, B.S.; Zhong, R.G. Determination of lead, cadmium, copper, and nickel in the tonghui river of beijing, china, by cloud point extraction-high resolution continuum source graphite furnace atomic absorption spectrometry. J. Environ. Qual. 2013, 42, 1752–1762. [Google Scholar] [CrossRef]
- Nabinger, D.D.; Altenhofen, S.; Bitencourt, P.E.R.; Nery, L.R.; Leite, C.E.; Vianna, M.; Bonan, C.D. Nickel exposure alters behavioral parameters in larval and adult zebrafish. Sci. Total Environ. 2018, 624, 1623–1633. [Google Scholar] [CrossRef] [PubMed]
- Lazzari, M.; Bettini, S.; Milani, L.; Maurizii, M.G.; Franceschini, V. Differential nickel-induced responses of olfactory sensory neuron populations in zebrafish. Aquat. Toxicol. 2019, 206, 14–23. [Google Scholar] [CrossRef] [PubMed]
- Macomber, L.; Hausinger, R.P. Mechanisms of nickel toxicity in microorganisms. Metallomics 2011, 3, 1153–1162. [Google Scholar] [CrossRef]
- Cacialli, P.; Mailhe, M.P.; Wagner, I.; Merkler, D.; Golub, R.; Bertrand, J.Y. Synergistic prostaglandin E synthesis by myeloid and endothelial cells promotes fetal hematopoietic stem cell expansion in vertebrates. EMBO J. 2022, 41, e108536. [Google Scholar] [CrossRef] [PubMed]
- Mahony, C.B.; Cacialli, P.; Pasche, C.; Monteiro, R.; Savvides, S.N.; Bertrand, J.Y. Hapln1b, a central organizer of the ECM, modulates kit signaling to control developmental hematopoiesis in zebrafish. Blood Adv. 2021, 5, 4935–4948. [Google Scholar] [CrossRef] [PubMed]
- Cacialli, P.; Dogan, S.; Linnerz, T.; Pasche, C.; Bertrand, J.Y. Minichromosome maintenance protein 10 (mcm10) regulates hematopoietic stem cell emergence in the zebrafish embryo. Stem Cell Rep. 2023, 18, 1534–1546. [Google Scholar] [CrossRef] [PubMed]
- Cacialli, P. Expression of Nerve Growth Factor and Its Receptor TrkA in the Reproductive System of Adult Zebrafish. Vet. Sci. 2022, 9, 225. [Google Scholar] [CrossRef] [PubMed]
- Yamamoto, K.; Ruuskanen, J.O.; Wullimann, M.F.; Vernier, P. Two tyrosine hydroxylase genes in vertebrates New dopaminergic territories revealed in the zebrafish brain. Mol. Cell Neurosci. 2010, 43, 394–402. [Google Scholar] [CrossRef] [PubMed]
- Caldwell, L.J.; Davies, N.O.; Cavone, L.; Mysiak, K.S.; Semenova, S.A.; Panula, P.; Armstrong, J.D.; Becker, C.G.; Becker, T. Regeneration of Dopaminergic Neurons in Adult Zebrafish Depends on Immune System Activation and Differs for Distinct Populations. J. Neurosci. 2019, 39, 4694–4713. [Google Scholar] [CrossRef] [PubMed]
- Omar, N.A.; Kumar, J.; Teoh, S.L. Parkinson’s disease model in zebrafish using intraperitoneal MPTP injection. Front. Neurosci. 2023, 17, 1236049. [Google Scholar] [CrossRef] [PubMed]
- Cacialli, P.; Mahony, C.B.; Petzold, T.; Bordignon, P.; Rougemont, A.L.; Bertrand, J.Y. A connexin/ifi30 pathway bridges HSCs with their niche to dampen oxidative stress. Nat. Commun. 2021, 12, 4484. [Google Scholar] [CrossRef]
- Filippi, A.; Mahler, J.; Schweitzer, J.; Driever, W. Expression of the paralogous tyrosine hydroxylase encoding genes th1 and th2 reveals the full complement of dopaminergic and noradrenergic neurons in zebrafish larval and juvenile brain. J. Comp. Neurol. 2010, 518, 423–438. [Google Scholar] [CrossRef]
- Fukusumi, H.; Handa, Y.; Shofuda, T.; Kanemura, Y. Evaluation of the susceptibility of neurons and neural stem/progenitor cells derived from human induced pluripotent stem cells to anticancer drugs. J. Pharmacol. Sci. 2019, 140, 331–336. [Google Scholar] [CrossRef]
- Althomali, R.H.; Abbood, M.A.; Saleh, E.A.; Djuraeva, L.; Abdullaeva, B.S.; Habash, R.T.; Alhassan, M.S.; Alawady, A.H.R.; Alsaalamy, A.H.; Najafi, M.L. Exposure to heavy metals and neurocognitive function in adults: A systematic review. Environ. Sci. Eur. 2024, 36, 18. [Google Scholar] [CrossRef]
- Vellingiri, B.; Suriyanarayanan, A.; Selvaraj, P.; Abraham, K.S.; Pasha, M.Y.; Winster, H.; Gopalakrishnan, A.V.; Singaravelu, G.; Reddy, J.K.; Ayyadurai, N.; et al. Role of heavy metals (copper (Cu), arsenic (As), cadmium (Cd), iron (Fe) and lithium (Li)) induced neurotoxicity. Chemosphere 2022, 301, 134625. [Google Scholar] [CrossRef] [PubMed]
- Liu, M.; Deng, P.; Li, G.Y.; Liu, H.L.; Zuo, J.L.; Cui, W.W.; Zhang, H.X.; Chen, X.; Yao, J.J.; Peng, X.T.; et al. Neurotoxicity of Combined Exposure to the Heavy Metals (Pb and As) in Zebrafish. Toxics 2024, 12, 282. [Google Scholar] [CrossRef] [PubMed]
- Paduraru, E.; Iacob, D.; Rarinca, V.; Plavan, G.; Ureche, D.; Jijie, R.; Nicoara, M. Zebrafish as a Potential Model for Neurodegenerative Diseases: A Focus on Toxic Metals Implications. Int. J. Mol. Sci. 2023, 24, 3428. [Google Scholar] [CrossRef] [PubMed]
- Kacprzak, V.; Patel, N.A.; Riley, E.; Yu, L.; Yeh, J.J.; Zhdanova, I.V. Dopaminergic control of anxiety in young and aged zebrafish. Pharmacol. Biochem. Behav. 2017, 157, 1–8. [Google Scholar] [CrossRef] [PubMed]
- Farina, M.; Aschner, M. Glutathione antioxidant system and methylmercury-induced neurotoxicity: An intriguing interplay. Biochim. Biophys. Acta Gen. Subj. 2019, 1863, 129285. [Google Scholar] [CrossRef] [PubMed]
- Dare, E.; Fetissov, S.; Hokfelt, T.; Hall, H.; Ogren, S.O.; Ceccatelli, S. Effects of prenatal exposure to methylmercury on dopamine-mediated locomotor activity and dopamine D2 receptor binding. Naunyn Schmiedebergs Arch. Pharmacol. 2003, 367, 500–508. [Google Scholar] [CrossRef]
- Glazer, L.; Brennan, C.H. Developmental Exposure to Low Concentrations of Methylmercury Causes Increase in Anxiety-Related Behaviour and Locomotor Impairments in Zebrafish. Int. J. Mol. Sci. 2021, 22, 10961. [Google Scholar] [CrossRef]
- Topal, A.; Atamanalp, M.; Oruc, E.; Halici, M.B.; Sisecioglu, M.; Erol, H.S.; Gergit, A.; Yilmaz, B. Neurotoxic effects of nickel chloride in the rainbow trout brain: Assessment of c-Fos activity, antioxidant responses, acetylcholinesterase activity, and histopathological changes. Fish. Physiol. Biochem. 2015, 41, 625–634. [Google Scholar] [CrossRef]
- Calvo-Ochoa, E.; Byrd-Jacobs, C.A. The Olfactory System of Zebrafish as a Model for the Study of Neurotoxicity and Injury: Implications for Neuroplasticity and Disease. Int. J. Mol. Sci. 2019, 20, 1639. [Google Scholar] [CrossRef]
- Wasel, O.; Freeman, J.L. Chemical and Genetic Zebrafish Models to Define Mechanisms of and Treatments for Dopaminergic Neurodegeneration. Int. J. Mol. Sci. 2020, 21, 5981. [Google Scholar] [CrossRef] [PubMed]
- Giacoppo, S.; Galuppo, M.; Calabro, R.S.; D’Aleo, G.; Marra, A.; Sessa, E.; Bua, D.G.; Potorti, A.G.; Dugo, G.; Bramanti, P.; et al. Heavy metals and neurodegenerative diseases: An observational study. Biol. Trace Elem. Res. 2014, 161, 151–160. [Google Scholar] [CrossRef] [PubMed]
- Vaz, R.L.; Outeiro, T.F.; Ferreira, J.J. Zebrafish as an Animal Model for Drug Discovery in Parkinson’s Disease and Other Movement Disorders: A Systematic Review. Front. Neurol. 2018, 9, 347. [Google Scholar] [CrossRef] [PubMed]
- Najib, N.H.M.; Nies, Y.H.; Abd Halim, S.A.S.; Yahaya, M.F.; Das, S.; Lim, W.L.; Teoh, S.L. Modeling Parkinson’s Disease in Zebrafish. CNS Neurol. Disord. Drug Targets 2020, 19, 386–399. [Google Scholar] [CrossRef]
- Bretaud, S.; Lee, S.; Guo, S. Sensitivity of zebrafish to environmental toxins implicated in Parkinson’s disease. Neurotoxicol. Teratol. 2004, 26, 857–864. [Google Scholar] [CrossRef]
- Lulla, A.; Barnhill, L.; Bitan, G.; Ivanova, M.I.; Nguyen, B.; O’Donnell, K.; Stahl, M.C.; Yamashiro, C.; Klarner, F.G.; Schrader, T.; et al. Neurotoxicity of the Parkinson Disease-Associated Pesticide Ziram Is Synuclein-Dependent in Zebrafish Embryos. Environ. Health Perspect. 2016, 124, 1766–1775. [Google Scholar] [CrossRef]






| ef1a | F: 5′-CCTGGGAGTGAAACAGCTG-3′ | R: 5′-GCCTCCAGCATGTTGTCAC-3′ |
| th1 | F: 5′-GACGGAAGATGATCGGAGACA-3′ | R: 5′-CCGCCATGTTCCGATTTCT-3′ |
| th2 | F: 5′-CTCCAGAAGAGAATGCCACATG-3′ | R: 5′-ACGTTCACTCTCCAGCTGAGT-3′ |
Disclaimer/Publisher’s Note: The statements, opinions and data contained in all publications are solely those of the individual author(s) and contributor(s) and not of MDPI and/or the editor(s). MDPI and/or the editor(s) disclaim responsibility for any injury to people or property resulting from any ideas, methods, instructions or products referred to in the content. |
© 2024 by the authors. Licensee MDPI, Basel, Switzerland. This article is an open access article distributed under the terms and conditions of the Creative Commons Attribution (CC BY) license (https://creativecommons.org/licenses/by/4.0/).
Share and Cite
Cacialli, P.; Ricci, S.; Lazzari, M.; Franceschini, V. Morpho-Anatomical Degeneration of Dopaminergic Neurons in Adult Zebrafish Brain after Exposure to Nickel. Fishes 2024, 9, 319. https://doi.org/10.3390/fishes9080319
Cacialli P, Ricci S, Lazzari M, Franceschini V. Morpho-Anatomical Degeneration of Dopaminergic Neurons in Adult Zebrafish Brain after Exposure to Nickel. Fishes. 2024; 9(8):319. https://doi.org/10.3390/fishes9080319
Chicago/Turabian StyleCacialli, Pietro, Serena Ricci, Maurizio Lazzari, and Valeria Franceschini. 2024. "Morpho-Anatomical Degeneration of Dopaminergic Neurons in Adult Zebrafish Brain after Exposure to Nickel" Fishes 9, no. 8: 319. https://doi.org/10.3390/fishes9080319
APA StyleCacialli, P., Ricci, S., Lazzari, M., & Franceschini, V. (2024). Morpho-Anatomical Degeneration of Dopaminergic Neurons in Adult Zebrafish Brain after Exposure to Nickel. Fishes, 9(8), 319. https://doi.org/10.3390/fishes9080319

